What is the minimum stopping distance for a vehicle of mass m moving with speed v along a level road. If the coefficient of friction between the tyres and the road is μ.
Car is accelerating with acceleration is 20m/s2. A box of mass m = 10kg that is placed inside the car, it is put in contact with the vertical wall of car as shown. The friction coefficient between the box and the wall is μ = 0.6

A horizontal force of 10N is necessary to just hold a block stationary against a wall. The coefficient of friction between the block and the walls is 0.2. The weight of the block is (g =10m/s2)

A bead of mass m is located on a parabolic wire with its axis vertical and vertex directed towards downwards as in figure and whose equation is x2 = ay. If the coefficient of friction is μ the highest distance above the x-axis at which the particle will be in equilibrium is :

A block A of mass 2 kg rest on another block B of mass 8 kg which rests on a horizontal floor. The coefficient of friction between A and B is 0.2 while that between B and floor is 0.5. When a horizontal force of 25 N is applied on the block B. The force of friction between A and B is :
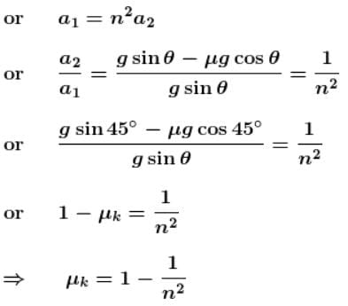
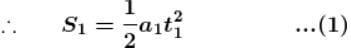
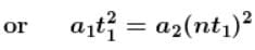
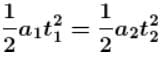
A smooth block is released at rest on a 45° incline and then slides a distance d. The time taken to slide is n times as much to slide on rough incline then on a smooth incline. The coefficient of friction is :
A weight w is to be moved from the bottom to the top of an inclined plane of inclination θ to the horizontal. If a smaller force is to be applied to drag it along the plane is comparison to lift it vertically up, the coefficient of friction should be such that :
A chain of length L is placed on a horizontal surface as shown in figure. At any instant x is the length of chain on rough surface and the remaining portion lies on smooth surface. Initially x = 0, a horizontal force P is applied to the chain (as shown in figure). In the duration x changes from x = 0 to x = L, for chain to move with constant speed.

A box ‘A’ is lying on the horizontal floor of the compartment of a train running along horizontal rails from left to right. At time ‘t’, it decelerates. Then the resultant contact force R by the floor on the box is given best by :
If the coefficient of friction between A and B is μ the maximum horizontal acceleration of the wedge A for which B will remain at rest with respect to the wedge is :
