Class 7 Exam  >  Class 7 Tests  >  High Order Thinking Skills -2 - Class 7 MCQ

High Order Thinking Skills -2 - Class 7 MCQ


Test Description

20 Questions MCQ Test - High Order Thinking Skills -2

High Order Thinking Skills -2 for Class 7 2025 is part of Class 7 preparation. The High Order Thinking Skills -2 questions and answers have been prepared according to the Class 7 exam syllabus.The High Order Thinking Skills -2 MCQs are made for Class 7 2025 Exam. Find important definitions, questions, notes, meanings, examples, exercises, MCQs and online tests for High Order Thinking Skills -2 below.
Solutions of High Order Thinking Skills -2 questions in English are available as part of our course for Class 7 & High Order Thinking Skills -2 solutions in Hindi for Class 7 course. Download more important topics, notes, lectures and mock test series for Class 7 Exam by signing up for free. Attempt High Order Thinking Skills -2 | 20 questions in 40 minutes | Mock test for Class 7 preparation | Free important questions MCQ to study for Class 7 Exam | Download free PDF with solutions
High Order Thinking Skills -2 - Question 1

The circumference of a circle is 176 cm. What is its diameter?

Detailed Solution for High Order Thinking Skills -2 - Question 1

Let r  be the radius of the circle.
2π r = 176.

Diameter = 28 × 2 = 56cm.

High Order Thinking Skills -2 - Question 2

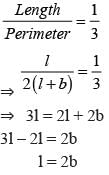
If the ratio between the length and perimeter of a rectangle is 1 : 3. What is the ratio of length and breadth of rectangle?

Detailed Solution for High Order Thinking Skills -2 - Question 2


High Order Thinking Skills -2 - Question 3

Mr. Tiwari buys some stationaries for Rs. 237.35 and some books for Rs. 509.75. He gave a note of Rs. 1000 to the shopkeeper. How much money he gets from the shopkeeper?

Detailed Solution for High Order Thinking Skills -2 - Question 3

Required money
= 1000 – (237.35 + 509.75) 
= 1000 – 747.10 = 252.90

High Order Thinking Skills -2 - Question 4

What is the product of additive inverse of (–17) and multiplicative inverse of 85?

Detailed Solution for High Order Thinking Skills -2 - Question 4

Additive inverse of –17 = 17 Multiplicative inverse of 85 = 1/85

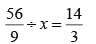
High Order Thinking Skills -2 - Question 5

By what number should  be divided to obtain 

Detailed Solution for High Order Thinking Skills -2 - Question 5



High Order Thinking Skills -2 - Question 6

By selling apples at the rate of  per apple, a shopkeeper gets  420. How many apples does he sell?

Detailed Solution for High Order Thinking Skills -2 - Question 6

No. of apples = 

High Order Thinking Skills -2 - Question 7

What is decimal equivalent of 7mm in kilometer?

Detailed Solution for High Order Thinking Skills -2 - Question 7

 

High Order Thinking Skills -2 - Question 8

Write the simplified value of 72.09 – 26.83 + 18.96 – 37.24. 

Detailed Solution for High Order Thinking Skills -2 - Question 8

72.09 – 26.83 + 18.96 – 37.24
= (72.09 + 18.96) – (26.83 + 37.24)
= 91.05 – 64.07 = 26.98

High Order Thinking Skills -2 - Question 9

What is the product of 0.8 × 0.008 × 8.8 ?

Detailed Solution for High Order Thinking Skills -2 - Question 9

0.8 × 0.008 × 8.8

High Order Thinking Skills -2 - Question 10

A bag contains 50 paise, 25 paise and 10 paise coins in the ratio 5 : 9 : 4 amounting to Rs. 206. What is the difference of the number of 50 paise and number of 25 paise coins?

Detailed Solution for High Order Thinking Skills -2 - Question 10


No. of 50p coins = 5x = 5 × 40 = 200
No. of 25p coins = 9x = 9 × 40 = 360
Difference = 360 – 200 = 160

High Order Thinking Skills -2 - Question 11

​What is the perimeter of rectangle whose length is 40m and diagonal 41m?

Detailed Solution for High Order Thinking Skills -2 - Question 11

High Order Thinking Skills -2 - Question 12

The cost of 6 dozen eggs is Rs 132. How much will 132 eggs cost?

Detailed Solution for High Order Thinking Skills -2 - Question 12



= 22 × 11
= Rs. 242

High Order Thinking Skills -2 - Question 13

A number is increased by 10% and then decreased by 10%. What is the net increase or decrease percent?

Detailed Solution for High Order Thinking Skills -2 - Question 13

Let the number be 100.
After 10% increase, number = 100 + 10 = 110 Decrease 10% 110 – 10% of 110 = 110 – 11 = 99 
Net decrease = 100 – 99 = 1%

High Order Thinking Skills -2 - Question 14

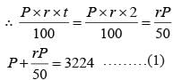
A sum of money lent at simple interest amounts to Rs. 3224 in 2 years and Rs. 4160 in 5 years. What is the rate of interest per amounts?

Detailed Solution for High Order Thinking Skills -2 - Question 14

Let the sum be P.

High Order Thinking Skills -2 - Question 15

In the given figure, AB || CD, ∠ABO = 50°, ∠CDO = 40°. What is the measure of ∠BOD?​

Detailed Solution for High Order Thinking Skills -2 - Question 15


AB || PQ ∠ABO = ∠BOQ = 50° 
PQ || CD ∠ODC = ∠DOQ = 40° 
∠BOD = 50° + 40° = 90° 

High Order Thinking Skills -2 - Question 16

In the given figure x : y = 2 : 3, ∠ACD = 130°.
​What is the value of y?

Detailed Solution for High Order Thinking Skills -2 - Question 16

High Order Thinking Skills -2 - Question 17

What is the area of a right triangle whose base is 1.2m and hypotenuse 3.7m?

Detailed Solution for High Order Thinking Skills -2 - Question 17

Area of right triangle = 

High Order Thinking Skills -2 - Question 18

The circumference of a circle exceeds its diameter by 18cm. What is the radius of the circle?

Detailed Solution for High Order Thinking Skills -2 - Question 18

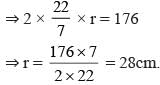
High Order Thinking Skills -2 - Question 19

A rope makes 140 rounds of the circumference of a cylinder, the radius of whose base is 14cm. How many times can it go round a cylinder with radius 20cm?

Detailed Solution for High Order Thinking Skills -2 - Question 19

Length of rope = 2πr × 140

Number of rounds = 

High Order Thinking Skills -2 - Question 20

Evaluate

-39 ÷ 13

Detailed Solution for High Order Thinking Skills -2 - Question 20

−39 ÷ 13

⇒ −3
Hence,  −39 ÷ 13 = −3

Information about High Order Thinking Skills -2 Page
In this test you can find the Exam questions for High Order Thinking Skills -2 solved & explained in the simplest way possible. Besides giving Questions and answers for High Order Thinking Skills -2, EduRev gives you an ample number of Online tests for practice
Download as PDF