You can prepare effectively for Class 10 Olympiad Preparation for Class 10 with this dedicated MCQ Practice Test (available with solutions) on the important topic of "Math Olympiad Test: Coordinate Geometry- 2". These 15 questions have been designed by the experts with the latest curriculum of Class 10 2026, to help you master the concept.
Test Highlights:
Sign up on EduRev for free to attempt this test and track your preparation progress.
Find the third vertex of a ΔABC if two of its vertices are B (-3, 1), C (0, -2), and its centroid is at the origin.
Detailed Solution: Question 1
The circumcentre of a triangle is (3, 3). If its two vertices are (4, 6) and (0, 4) find the third vertex of the triangle.
Detailed Solution: Question 2
In which ratio does the point P (1, 2) divides the join of A (-2, 1) and B (7, 4)?
Detailed Solution: Question 3
If (2, -2), (-2, 1) and (5, 2) are vertices of a right angled triangle, then the area of triangle is
Detailed Solution: Question 4
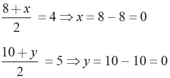
The centre of a circle is (4, 5) A(8, 10) is a point on the circumference. Find the other end of diameter of the circle through A.
Detailed Solution: Question 5
The ends of a diameter of a circle have the coordinates (4, 3) and (-4, -3), PQ is another diameter where P has co-ordinate

find the coordinates of Q.
Detailed Solution: Question 6
The vertices of a triangle are A(1, 1), B(-2, -5) and C(2, 2) find the length of the medium through C.
Detailed Solution: Question 7
What is the circumradius of the triangle whose vertices are (2, -2), (8, 6), and (8, -2)?
Detailed Solution: Question 8
The sum of the square of the distance of a moving point from two fixed points (a, 0) and (-a, 0) is equal to the constant quantity 2c2. Find the equation of its locus.
Detailed Solution: Question 9
What is the distance of the point (4, 7) from the y-axis?
Detailed Solution: Question 10
If the distance between the points (3, 0) and (0, y) is 5 units. y is positive then what is value of y?
Detailed Solution: Question 11
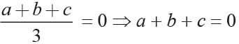
If the centroid of the triangle is formed by points P(a, b), Q(b, c) and R(c, a) is at the origin. What is the value of a + b +c?
Detailed Solution: Question 12
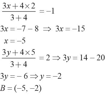
If the point P(-1, 2) divides externally the line segment joining A(2, 5) and B in the ratio 3 : 4. What is the co-ordinate of point B?
Detailed Solution: Question 13
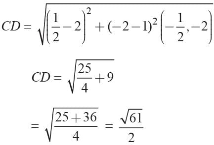
The points A(3, 1), B(0, 4), C(-3, 1), D(0, -2) are vertices of a
Detailed Solution: Question 14
If the point (x, 4) lies on a circle whose center is at the origin and radius is 5, What is the value of x?
Detailed Solution: Question 15
70 videos|236 docs|187 tests |