Class 10 Exam  >  Class 10 Tests  >  Math Olympiad Test: Polynomials - 1 - Class 10 MCQ

Math Olympiad Test: Polynomials - 1 - Class 10 MCQ


Test Description

10 Questions MCQ Test - Math Olympiad Test: Polynomials - 1

Math Olympiad Test: Polynomials - 1 for Class 10 2025 is part of Class 10 preparation. The Math Olympiad Test: Polynomials - 1 questions and answers have been prepared according to the Class 10 exam syllabus.The Math Olympiad Test: Polynomials - 1 MCQs are made for Class 10 2025 Exam. Find important definitions, questions, notes, meanings, examples, exercises, MCQs and online tests for Math Olympiad Test: Polynomials - 1 below.
Solutions of Math Olympiad Test: Polynomials - 1 questions in English are available as part of our course for Class 10 & Math Olympiad Test: Polynomials - 1 solutions in Hindi for Class 10 course. Download more important topics, notes, lectures and mock test series for Class 10 Exam by signing up for free. Attempt Math Olympiad Test: Polynomials - 1 | 10 questions in 10 minutes | Mock test for Class 10 preparation | Free important questions MCQ to study for Class 10 Exam | Download free PDF with solutions
Math Olympiad Test: Polynomials - 1 - Question 1

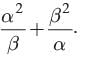
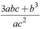
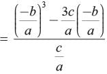
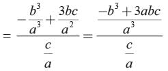
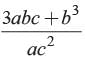
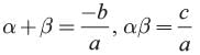
If a  and b are the zeros of ax2 + bx + c, find  the value of 

Detailed Solution for Math Olympiad Test: Polynomials - 1 - Question 1

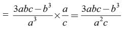
Given a and b are the zeros of ax2 + bx+ c
∴ 




Math Olympiad Test: Polynomials - 1 - Question 2

If the sum of squares of zeros of the quadratic polynomial P(x) = x2 - 8x + k is 40. What is the value of k?

Detailed Solution for Math Olympiad Test: Polynomials - 1 - Question 2

P(x) = x2 - 8x + k
If α, and β are its zeros
then α + β = 8, αβ = k
and α2 + β2 = 40
⇒ (α + β)2 - 2αβ = 82 - 2k
⇒ 40 = 64 - 2k
⇒ 2k = 24
⇒ k = 12

Math Olympiad Test: Polynomials - 1 - Question 3

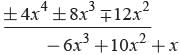
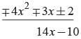
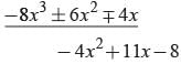
What must be subtracted from 8x4 + 14x3 - 2x2 + 7x - 8 so that the resulting polynomial is exactly divisible by 4x2 + 3x - 2?

Detailed Solution for Math Olympiad Test: Polynomials - 1 - Question 3

Here, (4x2 + 3x - 2) 8x4 + 14x3 - 2x2 + 7x - 8 (2x2 + 2x - 1)



∴ 14x - 10 must be subtracted.

Math Olympiad Test: Polynomials - 1 - Question 4

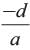
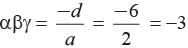
What is the cubic polynomial in which the sum, sum of the products of its zeros taken at a time and product of its zeros as 2, -7, -14 respectively?

Detailed Solution for Math Olympiad Test: Polynomials - 1 - Question 4

Given a + b+ γ = 2 = ⇒ b = -2a
αβ + βγ + γα = -7 = ⇒ c = -7a
αβγ = -14 = ⇒ d = 14a

b : c : d = -2 : -7 : 14
Cubic polynomial is
k(x3 - 2x2 - 7x + 14)

Math Olympiad Test: Polynomials - 1 - Question 5

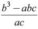
If the product of two zeros of the polynomial 2 x3 + 6x− 4x + 9 is 3 then what is its third zero?

Detailed Solution for Math Olympiad Test: Polynomials - 1 - Question 5

If α and β are two zeros then αβ = 3 Let third root be γ.


Math Olympiad Test: Polynomials - 1 - Question 6

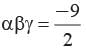
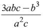
If α, β, γ are the zeros of the polynomial 2 x3 + x− 13x + 6. What is the value of αβγ?

Detailed Solution for Math Olympiad Test: Polynomials - 1 - Question 6

The given polynomial is
2 x3 + x− 13x + 6
α,β,γ be its zeros
∴ 

Math Olympiad Test: Polynomials - 1 - Question 7

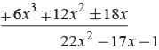
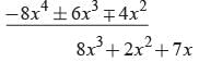
What must be added to f(x) = 4x4 + 2x− 2x2 + x − 1 so that the resulting polynomial is divisible by g (x) = x2 + 2x − 3?

Detailed Solution for Math Olympiad Test: Polynomials - 1 - Question 7

Here
(x2 + 2 x — 3)4 x4 + 2 x3 — 2 x2 + x — l(4 x2 — 6 x + 22


Clearly -61x + 65 must be added.

Math Olympiad Test: Polynomials - 1 - Question 8

What is the cubic polynomial whose zeros are α, β, γ such that α + β + γ = 4. αβγ = - 6 and αβ + βγ + γα = 1?

Detailed Solution for Math Olympiad Test: Polynomials - 1 - Question 8

Required polynomial
= P(x ) = x3 - (α + β + γ)x2 + (αβ + βγ + γα)x
- αβγ
Thus, the cubic polynomial is
p(x) = x3 − (4)x2 + (1)x − (−6)
= x3 − 4x2+ x + 6

Math Olympiad Test: Polynomials - 1 - Question 9

Which quadratic polynomial has sum of whose zeros is -5 and product of its zero is -12?

Detailed Solution for Math Olympiad Test: Polynomials - 1 - Question 9

Given data 
Sum of zeroes = −5
Product of zeroes = -12
Equation of quadratic polynomial
x2 − (sum of zeroes) x + product of zeroes = 0
x2 − (−5)x + (-12) = 0
x2 + 5x - 12 = 0

Math Olympiad Test: Polynomials - 1 - Question 10

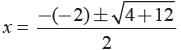
What are the zeros of x2 - 2x - 3?

Detailed Solution for Math Olympiad Test: Polynomials - 1 - Question 10

We have x2 - 2x - 3
∴ 

Information about Math Olympiad Test: Polynomials - 1 Page
In this test you can find the Exam questions for Math Olympiad Test: Polynomials - 1 solved & explained in the simplest way possible. Besides giving Questions and answers for Math Olympiad Test: Polynomials - 1, EduRev gives you an ample number of Online tests for practice
Download as PDF