Class 10 Exam  >  Class 10 Tests  >  Math Olympiad Test: Polynomials- 2 - Class 10 MCQ

Math Olympiad Test: Polynomials- 2 - Class 10 MCQ


Test Description

15 Questions MCQ Test - Math Olympiad Test: Polynomials- 2

Math Olympiad Test: Polynomials- 2 for Class 10 2025 is part of Class 10 preparation. The Math Olympiad Test: Polynomials- 2 questions and answers have been prepared according to the Class 10 exam syllabus.The Math Olympiad Test: Polynomials- 2 MCQs are made for Class 10 2025 Exam. Find important definitions, questions, notes, meanings, examples, exercises, MCQs and online tests for Math Olympiad Test: Polynomials- 2 below.
Solutions of Math Olympiad Test: Polynomials- 2 questions in English are available as part of our course for Class 10 & Math Olympiad Test: Polynomials- 2 solutions in Hindi for Class 10 course. Download more important topics, notes, lectures and mock test series for Class 10 Exam by signing up for free. Attempt Math Olympiad Test: Polynomials- 2 | 15 questions in 15 minutes | Mock test for Class 10 preparation | Free important questions MCQ to study for Class 10 Exam | Download free PDF with solutions
Math Olympiad Test: Polynomials- 2 - Question 1

If a, b are zeros of 2x2 + 5x − 10 then what is the value of αβ?

Detailed Solution for Math Olympiad Test: Polynomials- 2 - Question 1

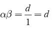
α, β are zeros of 2x2 + 5x − 10
then ab = -10/2 = -5

Math Olympiad Test: Polynomials- 2 - Question 2

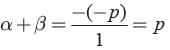
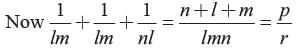
If l, m, n are the zeros of polynomial x3 − px+ dx − r then what is the value of 

Detailed Solution for Math Olympiad Test: Polynomials- 2 - Question 2

Here l + m + n = p, lmn = r

Math Olympiad Test: Polynomials- 2 - Question 3

If α, β are the zeros of a polynomial such α + β = -6 and ab = -4, then what is the polynomial?

Detailed Solution for Math Olympiad Test: Polynomials- 2 - Question 3

Required polynomial
= x2 − (α + β)x + αβ
⇒ x2 − (−6)x + (−4) = x2 + 6x − 4

Math Olympiad Test: Polynomials- 2 - Question 4

If divisor is x - 1 - x 2 and dividend is 3x 2 − x− 3x + 5, then what is the remainder?

Detailed Solution for Math Olympiad Test: Polynomials- 2 - Question 4

(-x2 + x - 1) - x3 + 3x2 - 3x + 5(x - 2)

Math Olympiad Test: Polynomials- 2 - Question 5

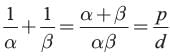
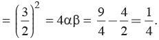
If α, β are zeros of the polynomial x2 − px + d, then what is the value of 

Detailed Solution for Math Olympiad Test: Polynomials- 2 - Question 5

Given α and β are zeros of x2 − px + d
then 
and 
∴ 

Math Olympiad Test: Polynomials- 2 - Question 6

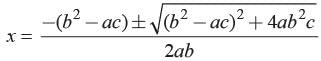
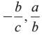
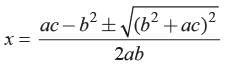
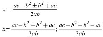
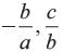
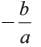
What are the zeros of abx2 + (b2 - ac)x - bc?

Detailed Solution for Math Olympiad Test: Polynomials- 2 - Question 6

We have abx 2 + (b2−ac)x − bc




The zeros of the given polynomial are  and 

Math Olympiad Test: Polynomials- 2 - Question 7

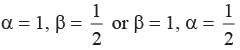
If a , b are the zeros of the polynomial x2 - 5x + P such that α - β = 1. What is the value of P?

Detailed Solution for Math Olympiad Test: Polynomials- 2 - Question 7

Here α, β are the zeros of x2 - 5x + P
then α + β = 5 …(1)
and αβ = P
α - β = 1 …(2)
Solving (1) and (2) we get
2α = 6 ⇒ α = 3
and β = 5 - 3 = 2
∴ αβ = P = (3) (2) = 6

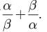
Math Olympiad Test: Polynomials- 2 - Question 8

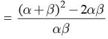
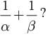
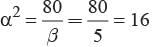
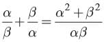
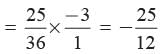
If α, β are the zeros of quadratic polynomial 6x2 + x - 2, find the value of 

Detailed Solution for Math Olympiad Test: Polynomials- 2 - Question 8

Given 6x2 + x − 2
If a, b are its zeros
then 
Now 



Math Olympiad Test: Polynomials- 2 - Question 9

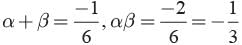
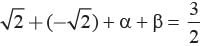
Find the other two zeros of the polynomial 2x4 - 3x3 - 3x2 + 6x - 2 if its two roots are √2 and - √2.

Detailed Solution for Math Olympiad Test: Polynomials- 2 - Question 9

2 x4 − 3x− 3x2 + 6x − 2
Let the other roots be α and β.
Sum of the roots = 
…(1)
Product of roots = -2/2 = -1 
√2 + (- √2)αβ  = -1 ⇒ αβ = 1/2…(2)
(α - β)2 = (α + β)2 - 4αβ

…(3)
From equation (1) and (3)

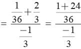
Math Olympiad Test: Polynomials- 2 - Question 10

Find the zeros of the polynomial x3 − 5x− 16 x + 80 if two zeros are equal in magnitude but opposite in sign.

Detailed Solution for Math Olympiad Test: Polynomials- 2 - Question 10

Let the zeros are α, -α, β.
∴ 
⇒ β = 5
and (α) (-α) (β) = 
⇒ -α2β = -80 ⇒ α2β = 80
⇒ 
⇒ α = ±4
The zeros are 4, -4, 5.

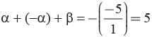
Math Olympiad Test: Polynomials- 2 - Question 11

Find a cubic polynomial whose zeros are α, β, g such that α + β + γ= 6, αβ + βγ + γα = -1 and αβγ = -30.

Detailed Solution for Math Olympiad Test: Polynomials- 2 - Question 11

Given α + β + γ = 6
αβ + βγ + γα = -1
αβγ = -30
The cubic polynomial is
P(x) = x3 - (α + β + γ)x2 + (αβ + βγ + γα)x - αβγ
= x3 - 6x2 - x - (-30)
(substituting the given values)
= x3 - 6x2 - x + 30

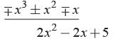
Math Olympiad Test: Polynomials- 2 - Question 12

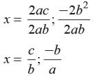
Find the polynomial which when divided by −x2 + x −1 gives a quotient x - 2 and remainder 3.

Detailed Solution for Math Olympiad Test: Polynomials- 2 - Question 12

Polynomial = (−x+ x − 1) ( x − 2) + 3
= −x3 + 2x2 + x− 2x − x + 2 + 3
= −x+ 3x2 − 3x + 5

Math Olympiad Test: Polynomials- 2 - Question 13

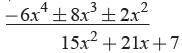
If the polynomial 6x4 + 8x3 + 17x2 + 21x + 7 is divided by another polynomial 3x2 + 4x + 1, the remainder comes out to be ax + b. What is the value of a and b?

Detailed Solution for Math Olympiad Test: Polynomials- 2 - Question 13

(3x2 + 4 x + 1) 6 x4 + 8 x3 + 17x2 + 21x + 7 (2x2 + 5)


remainder = x + 2
ax + b = x + 2 (Given)
⇒ a = 1; b = 2

Math Olympiad Test: Polynomials- 2 - Question 14

Find a cubic polynomial whose roots are -2, -3, and -1.

Detailed Solution for Math Olympiad Test: Polynomials- 2 - Question 14

We have α + β + y = -2 - 3 - 1 = -6
αβ + βy + yα = (-2) (-3) + (-3) (-1) +(-1) (-2) = 6 + 3 + 2 = 11
and αβγ = (-2) (-3) (-1) = -6
∴ Required polynomial
= x3 - (-6)x2 + 11x - (-6)
= x3 + 6x2 + 11x + 6

Math Olympiad Test: Polynomials- 2 - Question 15

If divisor is 2 − x + x2 and quotient is (3x - 1) then what is the dividend if dividend is completely divisible?

Detailed Solution for Math Olympiad Test: Polynomials- 2 - Question 15

Here, (2 − x + x2)(3x − 1)
= 6x − 2 − 3x2 + x + 3x3 − x2
= 3x− 4x+ 7x − 2

Information about Math Olympiad Test: Polynomials- 2 Page
In this test you can find the Exam questions for Math Olympiad Test: Polynomials- 2 solved & explained in the simplest way possible. Besides giving Questions and answers for Math Olympiad Test: Polynomials- 2, EduRev gives you an ample number of Online tests for practice
Download as PDF