Class 10 Exam  >  Class 10 Tests  >  Math Olympiad Test: Trigonometry- 3 - Class 10 MCQ

Math Olympiad Test: Trigonometry- 3 - Class 10 MCQ


Test Description

10 Questions MCQ Test - Math Olympiad Test: Trigonometry- 3

Math Olympiad Test: Trigonometry- 3 for Class 10 2025 is part of Class 10 preparation. The Math Olympiad Test: Trigonometry- 3 questions and answers have been prepared according to the Class 10 exam syllabus.The Math Olympiad Test: Trigonometry- 3 MCQs are made for Class 10 2025 Exam. Find important definitions, questions, notes, meanings, examples, exercises, MCQs and online tests for Math Olympiad Test: Trigonometry- 3 below.
Solutions of Math Olympiad Test: Trigonometry- 3 questions in English are available as part of our course for Class 10 & Math Olympiad Test: Trigonometry- 3 solutions in Hindi for Class 10 course. Download more important topics, notes, lectures and mock test series for Class 10 Exam by signing up for free. Attempt Math Olympiad Test: Trigonometry- 3 | 10 questions in 10 minutes | Mock test for Class 10 preparation | Free important questions MCQ to study for Class 10 Exam | Download free PDF with solutions
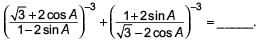
Math Olympiad Test: Trigonometry- 3 - Question 1

Detailed Solution for Math Olympiad Test: Trigonometry- 3 - Question 1

We have, 

Math Olympiad Test: Trigonometry- 3 - Question 2

If (sinα + cosecα)2 + (cosα + secα)2 = k + tan2α + cot2α, then k = _______.

Detailed Solution for Math Olympiad Test: Trigonometry- 3 - Question 2

(sin α + cosec α)2 + (cos α + sec α)2  = k + tan2α + cot2 α
⇒ sin2α + cosec2α + 2 sin α . cosec α + cos2α + sec2α + 2 cos α.sec α = k + tan2α + cot2α
⇒ sin2α + cos2α + 2 + cosec2α + sec2α + 2 = k + tan2α + cot2α
⇒ 5 + cosec2α + sec2α = k + tan2α + cot2α
⇒ 5 + 1 + cot2α + 1 + tan2α = k + tan2α + cot2α
⇒ 7 + cot2α + tan2α = k + tan2α + cot2α
⇒ k = 7

Math Olympiad Test: Trigonometry- 3 - Question 3

If A + B = 90°, then   is equal to _______.

Detailed Solution for Math Olympiad Test: Trigonometry- 3 - Question 3

We have, A + B = 90° ⇒ A = 90° – B ...(i)
Now, 
 [using (i)]

Math Olympiad Test: Trigonometry- 3 - Question 4

If sinθ + cosθ = a and secθ + cosecθ = b, then the value of b(a2 – 1) is _______.

Detailed Solution for Math Olympiad Test: Trigonometry- 3 - Question 4

We have, sinθ + cosθ = a and secθ + cosecθ = b
Now, b(a2 – 1) =   (sin2θ + cos2θ + 2sinθcosθ – 1)

Math Olympiad Test: Trigonometry- 3 - Question 5

If a cos θ + b sin θ = m and a sin θ – b cos θ = n, then a2 + b2 is equal to _______.

Detailed Solution for Math Olympiad Test: Trigonometry- 3 - Question 5

acosθ + bsinθ = m
Squaring both sides, we get
a2cos2θ + b2sin2θ + 2ab cosθsinθ = m2 ... (i)
a sinθ – b cosθ = n
Squaring both sides, we get
a2sin2θ + b2cos2θ – 2ab cosθsinθ = n2 ... (ii)
Adding (i) and (ii), we get
a2 + b2 = m2 + n2

Math Olympiad Test: Trigonometry- 3 - Question 6

If sin θ = cos θ, then 2 tan2 θ + sinθ – 1 =_____.

Detailed Solution for Math Olympiad Test: Trigonometry- 3 - Question 6

sinθ = cosθ ⇒ sinθ/cosθ = 1 ⇒ tanθ = 1 and tanθ = tan 45° ⇒ θ = 45°
∴ 2 tan2θ + sin2θ – 1 = 2 tan2 45° + sin2 45° – 1

Math Olympiad Test: Trigonometry- 3 - Question 7

If sin(A + B + C) = 1, then tan (A – B) = 1/√3 and sec(A + C) = 2, find A, B and C respectively when they are acute.

Detailed Solution for Math Olympiad Test: Trigonometry- 3 - Question 7

We have, sin(A + B + C) = 1
⇒ sin(A + B + C) = sin 90°
⇒ A + B + C = 90° ... (i)
Also, tan(A – B) = 1/√3 = tan 30°
⇒ A – B = 30° ... (ii)
and sec (A + C) = 2 = sec 60°
⇒ A + C = 60° ... (iii)
From (ii) and (iii), we get
B + C = 30° ... (iv)
From (i) and (iv), we get, A = 60°
∴ B = 30° [Using A = 60° in (ii)]
and C = 0° [Using A = 60° in (iii)]

Math Olympiad Test: Trigonometry- 3 - Question 8

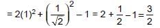
Detailed Solution for Math Olympiad Test: Trigonometry- 3 - Question 8



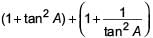
Math Olympiad Test: Trigonometry- 3 - Question 9

 is equal to

Detailed Solution for Math Olympiad Test: Trigonometry- 3 - Question 9

We have, (1 + tan2 A) +
= sec2 A + (1 + cot2 A) [∵ 1 + tan2 A = sec2
A]
= sec2 A + cosec2 A [∵ 1 + cot2 A = cosec2
A]

Math Olympiad Test: Trigonometry- 3 - Question 10

If x = r sinθ cos φ, y = r sinθ sinφ and z = r cosθ, then _________.

Detailed Solution for Math Olympiad Test: Trigonometry- 3 - Question 10

x = r sinθcosφ ... (i)
y = r sinθsinφ ... (ii)
z = r cosθ ... (iii)
Squaring and adding (i) and (ii), we get
x2 + y2 = r2sin2q ... (iv)
Squaring (iii) and adding it with (iv), we get
x2 + z2 + y2 = r2

Information about Math Olympiad Test: Trigonometry- 3 Page
In this test you can find the Exam questions for Math Olympiad Test: Trigonometry- 3 solved & explained in the simplest way possible. Besides giving Questions and answers for Math Olympiad Test: Trigonometry- 3, EduRev gives you an ample number of Online tests for practice
Download as PDF