IIT JAM Exam  >  IIT JAM Tests  >  Quantum Mechanics In Three Dimensions MCQ - IIT JAM MCQ

Quantum Mechanics In Three Dimensions MCQ - IIT JAM MCQ


Test Description

10 Questions MCQ Test - Quantum Mechanics In Three Dimensions MCQ

Quantum Mechanics In Three Dimensions MCQ for IIT JAM 2025 is part of IIT JAM preparation. The Quantum Mechanics In Three Dimensions MCQ questions and answers have been prepared according to the IIT JAM exam syllabus.The Quantum Mechanics In Three Dimensions MCQ MCQs are made for IIT JAM 2025 Exam. Find important definitions, questions, notes, meanings, examples, exercises, MCQs and online tests for Quantum Mechanics In Three Dimensions MCQ below.
Solutions of Quantum Mechanics In Three Dimensions MCQ questions in English are available as part of our course for IIT JAM & Quantum Mechanics In Three Dimensions MCQ solutions in Hindi for IIT JAM course. Download more important topics, notes, lectures and mock test series for IIT JAM Exam by signing up for free. Attempt Quantum Mechanics In Three Dimensions MCQ | 10 questions in 30 minutes | Mock test for IIT JAM preparation | Free important questions MCQ to study for IIT JAM Exam | Download free PDF with solutions
Quantum Mechanics In Three Dimensions MCQ - Question 1

A three dimensional harmonic oscillator is in thermal equilibrium with a temperature reservoir at temperature T. The average total energy of the oscillator is :

Detailed Solution for Quantum Mechanics In Three Dimensions MCQ - Question 1

Average K.E. in one dimension is 
Average K.E. in 3 dimension is 
The correct answer is: 

Quantum Mechanics In Three Dimensions MCQ - Question 2

Consider the particle in a three dimensional box problem for 2 boxes. One having equal edges of length a  and the other of edges  along  xy and z  coordinates respectively.

Detailed Solution for Quantum Mechanics In Three Dimensions MCQ - Question 2

The correct answer is: Ground state energy of the second box is greater

Quantum Mechanics In Three Dimensions MCQ - Question 3

Detailed Solution for Quantum Mechanics In Three Dimensions MCQ - Question 3


Quantum Mechanics In Three Dimensions MCQ - Question 4

What will be quantum number ‘n’ for earth? Take the earth sun distance to be 1.496 × 1011m

Detailed Solution for Quantum Mechanics In Three Dimensions MCQ - Question 4

Energy levels for hydrogen atom are

Again substituting for the gravitational analog

here r is the earth sun distance
r = 1.496 × 1011m

n = 2.53 × 1074
The correct answer is: n ~ 1074

Quantum Mechanics In Three Dimensions MCQ - Question 5

Which of the following is true about a quantum harmonic oscillator?
(1) A spectrum of evenly spaced energy states
(2) A potential energy function that is linear in the position coordinate
(3) A ground state characterized by zero kinetic energy.
(4) A non zero probability of finding the oscillator outside the classical turning points.

Detailed Solution for Quantum Mechanics In Three Dimensions MCQ - Question 5

A quantum harmonic oscillator:

∴  Equally spaced

Potential Energy function     
∴   quadratic in r.

For ground state,  


A quantum Harmonic oscillator has non zero probability of being found beyond the classical turning points! This is one of the basic difference between a classical & quantum Harmonic oscillator

The correct answer is: 1 and 4 only

Quantum Mechanics In Three Dimensions MCQ - Question 6

Which of the following functions could represent the radial wave function for an electron in an atom? (r is the distance of the electron from the nucleus; Ab are constants)

I. Aebr
II. A sinbr
III. A/r

Detailed Solution for Quantum Mechanics In Three Dimensions MCQ - Question 6

The wave function of an electron should satisfy the following properties

The only function (from the ones given) that satisfies these conditions is Ae–br

The correct answer is: I only

Quantum Mechanics In Three Dimensions MCQ - Question 7

Suppose the earth made a transition to the next lower level (n – 1). How much energy (in Joules) would be released? What would be the wavelength of the emitted photon be?

Detailed Solution for Quantum Mechanics In Three Dimensions MCQ - Question 7


Quantum Mechanics In Three Dimensions MCQ - Question 8

Box I has each edge of length ‘a’ units. Box II has edges as a, 2a, a/2 along the xy and z axis respectively. For what values of nxnynz will the first excited state energy of box II be same as the first excited state energy of Box I

Detailed Solution for Quantum Mechanics In Three Dimensions MCQ - Question 8


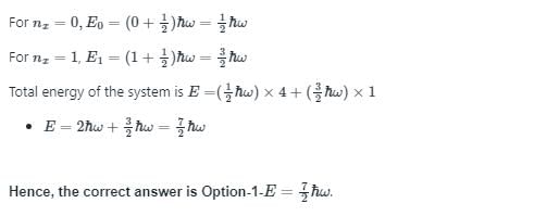
For nx - 1, ny = 2, nz = 1
(E1) box II  = (E1) box I
The correct answer is: (nxnynz) is (1, 2, 1)

Quantum Mechanics In Three Dimensions MCQ - Question 9

The Energy of the particle is proportional to __________ 

Detailed Solution for Quantum Mechanics In Three Dimensions MCQ - Question 9

In a particle inside a box, the energy of the particle is directly proportional to the square of the quantum state in which the particle currently is.

Quantum Mechanics In Three Dimensions MCQ - Question 10

Consider the Earth-Sun system as a gravitational analog to the hydrogen atom.

What is the potential energy function. (Let m be the mass of earth and M be the mass of the sun)

Detailed Solution for Quantum Mechanics In Three Dimensions MCQ - Question 10

transforms hydrogen results to the gravitational analogs
(–)ve  sign for attractive force.

The correct answer is: 

Information about Quantum Mechanics In Three Dimensions MCQ Page
In this test you can find the Exam questions for Quantum Mechanics In Three Dimensions MCQ solved & explained in the simplest way possible. Besides giving Questions and answers for Quantum Mechanics In Three Dimensions MCQ, EduRev gives you an ample number of Online tests for practice
Download as PDF