SSC CGL Exam  >  SSC CGL Tests  >  SSC CGL Previous Year Papers  >  SSC CGL Previous Year Questions: Blood Relation - 1 - SSC CGL MCQ

SSC CGL Previous Year Questions: Blood Relation - 1 - SSC CGL MCQ


Test Description

10 Questions MCQ Test SSC CGL Previous Year Papers - SSC CGL Previous Year Questions: Blood Relation - 1

SSC CGL Previous Year Questions: Blood Relation - 1 for SSC CGL 2026 is part of SSC CGL Previous Year Papers preparation. The SSC CGL Previous Year Questions: Blood Relation - 1 questions and answers have been prepared according to the SSC CGL exam syllabus.The SSC CGL Previous Year Questions: Blood Relation - 1 MCQs are made for SSC CGL 2026 Exam. Find important definitions, questions, notes, meanings, examples, exercises, MCQs and online tests for SSC CGL Previous Year Questions: Blood Relation - 1 below.
Solutions of SSC CGL Previous Year Questions: Blood Relation - 1 questions in English are available as part of our SSC CGL Previous Year Papers for SSC CGL & SSC CGL Previous Year Questions: Blood Relation - 1 solutions in Hindi for SSC CGL Previous Year Papers course. Download more important topics, notes, lectures and mock test series for SSC CGL Exam by signing up for free. Attempt SSC CGL Previous Year Questions: Blood Relation - 1 | 10 questions in 10 minutes | Mock test for SSC CGL preparation | Free important questions MCQ to study SSC CGL Previous Year Papers for SSC CGL Exam | Download free PDF with solutions
SSC CGL Previous Year Questions: Blood Relation - 1 - Question 1

Saksham introduced Nidhi to his friend, “She is the daughter of the only son of my father’s wife.” How is Saksham related to Nidhi? (SSC CGL 2018)

Detailed Solution for SSC CGL Previous Year Questions: Blood Relation - 1 - Question 1

Daughter of the only son of my father ’s wife means Saksham is the father of Nidhi.

SSC CGL Previous Year Questions: Blood Relation - 1 - Question 2

‘A + B’ means ‘A is the sister of B’
‘A – B’ means ‘A is the daughter of B’
‘A × B’ means ‘A is the brother of B’ ‘
A ÷ B’ means ‘A is the husband of B’
If V + U x Q  – T ÷ R + P x S,
then how is P related to V?                    (SSC CGL 2018)

Detailed Solution for SSC CGL Previous Year Questions: Blood Relation - 1 - Question 2

V + U x Q  – T ÷ R + P x S
V is the sister of U, U is the brother of Q, Q is the daughter of T,
T is the husband of R, R is the sister of P,
P is the brother of S
Here, P is the brother of R, who is mother of V.
Hence, P is the maternal uncle of V.

SSC CGL Previous Year Questions: Blood Relation - 1 - Question 3

Deepthi said to her friend, “That girl playing with the dog is the younger of the two sisters of the son of my mother’s husband.”
How is the girl playing with the dog related to Deepthi?  (SSC CHSL 2018)

Detailed Solution for SSC CGL Previous Year Questions: Blood Relation - 1 - Question 3

Mother ’s husband means father and sister of the son of my father means my sister.
Hence, that girl is Deepthi’s younger sister.

SSC CGL Previous Year Questions: Blood Relation - 1 - Question 4

If 'P 3 Q' means 'P is daughter of Q', 'P 5 Q' means 'P is father of Q', 'P 7 Q' means 'P is mother of Q' and 'P 9 Q' means ' P is sister of Q',
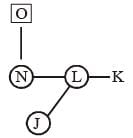
then how is J related to K in J 3 L 9 N 3 0 5 K?    (SSC CGL 2017)

Detailed Solution for SSC CGL Previous Year Questions: Blood Relation - 1 - Question 4

J 3 L ⇒ J is daughter of L
L 9 N ⇒ L is sister of N
N 3 O ⇒ N is daughter of O
O 5 K ⇒ O is father of K.
Hence J is niece of K.

SSC CGL Previous Year Questions: Blood Relation - 1 - Question 5

P and Q are broth ers, P is the fath er of S, R is the only son of Q and is married to U. How is U related to S?  (SSC CGL 2017)

Detailed Solution for SSC CGL Previous Year Questions: Blood Relation - 1 - Question 5


Therefore, U is sister – in – law of S.

SSC CGL Previous Year Questions: Blood Relation - 1 - Question 6

Punit said to lady, "The sister of your father's wife is my aunt". How is the lady related to Punit?  (SSC CGL 2017)

Detailed Solution for SSC CGL Previous Year Questions: Blood Relation - 1 - Question 6

The lady is the cousin sister of Punit.

SSC CGL Previous Year Questions: Blood Relation - 1 - Question 7

Poin tin g to a lady, Diwakar said, "Her mother 's on ly grandson is my son". How is that lady related to Diwakar? (SSC CGL 2017)

Detailed Solution for SSC CGL Previous Year Questions: Blood Relation - 1 - Question 7

Let's break down the statement step by step to find out the relationship:

  1. Diwakar says, "Her mother's only grandson is my son."
  2. The lady's mother's only grandson is Diwakar's son.

This implies that the lady's mother has only one grandson, who is Diwakar's son. For Diwakar's son to be the only grandson of the lady's mother, Diwakar must be the father of that grandson. Therefore, the lady must be Diwakar's wife because:

  • If the lady were Diwakar's sister, then her mother's grandson would be Diwakar's nephew.
  • If the lady were Diwakar's mother, then Diwakar would be her son, not her son-in-law.
  • If the lady were Diwakar's aunt, the statement wouldn't logically lead to her mother's only grandson being Diwakar's son.

So, the correct answer is:

      4.Wife

SSC CGL Previous Year Questions: Blood Relation - 1 - Question 8

Introducing a boy Ankit said, "He is the son of daughter of my grandfather's son". How is that boy related to Ankit? (SSC CHSL 2017)

Detailed Solution for SSC CGL Previous Year Questions: Blood Relation - 1 - Question 8

Let's break down the relationships step by step:
1. My grandfather's son: This refers to Ankit's father or Ankit's uncle (father's brother).
2. Daughter of my grandfather's son: This refers to Ankit's sister (daughter of Ankit's father) or Ankit's cousin (daughter of Ankit's uncle).
3. He is the son of daughter of my grandfather's son: This means the boy is the son of Ankit's sister or Ankit's cousin.
So, the boy is related to Ankit as:

  • If the boy is the son of Ankit's sister, then he is Ankit's nephew.
  • If the boy is the son of Ankit's cousin, then he is Ankit's cousin's child (which is also considered a nephew in some cultures).

Therefore, the boy is Ankit's **nephew**.

SSC CGL Previous Year Questions: Blood Relation - 1 - Question 9

Pointing to a lady, Rohit said "She is th e sister of the daughter of my father's wife's son". How is the lady related to Rohit?   (SSC Steno. 2017)

Detailed Solution for SSC CGL Previous Year Questions: Blood Relation - 1 - Question 9

The lady related of Rohit as his daughter or niece.

SSC CGL Previous Year Questions: Blood Relation - 1 - Question 10

If A is the mother of B and K, D is the husband of A. E is the son of D’s brother. What is the relation of A with E   (SSC CGL 2016)

Detailed Solution for SSC CGL Previous Year Questions: Blood Relation - 1 - Question 10


A is Aunt of E.

313 docs|325 tests
Information about SSC CGL Previous Year Questions: Blood Relation - 1 Page
In this test you can find the Exam questions for SSC CGL Previous Year Questions: Blood Relation - 1 solved & explained in the simplest way possible. Besides giving Questions and answers for SSC CGL Previous Year Questions: Blood Relation - 1, EduRev gives you an ample number of Online tests for practice
Download as PDF