NEET Exam  >  NEET Tests  >  Sample NEET Full Mock Test - NEET MCQ

Sample NEET Full Mock Test - NEET MCQ


Test Description

30 Questions MCQ Test - Sample NEET Full Mock Test

Sample NEET Full Mock Test for NEET 2025 is part of NEET preparation. The Sample NEET Full Mock Test questions and answers have been prepared according to the NEET exam syllabus.The Sample NEET Full Mock Test MCQs are made for NEET 2025 Exam. Find important definitions, questions, notes, meanings, examples, exercises, MCQs and online tests for Sample NEET Full Mock Test below.
Solutions of Sample NEET Full Mock Test questions in English are available as part of our course for NEET & Sample NEET Full Mock Test solutions in Hindi for NEET course. Download more important topics, notes, lectures and mock test series for NEET Exam by signing up for free. Attempt Sample NEET Full Mock Test | 180 questions in 180 minutes | Mock test for NEET preparation | Free important questions MCQ to study for NEET Exam | Download free PDF with solutions
Sample NEET Full Mock Test - Question 1

A cubical block of side 10 cm floats at the interface of an oil and water as shown in the figure. The density of oil is 0.6 g cm-3 and the lower face of ice cube is 2 cm below the interface. The pressure above that of the atmosphere at the lower face of the block is 

Detailed Solution for Sample NEET Full Mock Test - Question 1

Sample NEET Full Mock Test - Question 2

Initial pressure and volume of a gas are P and V respectively. First it is expanded isothermally to volume 4V and then compressed adiabatically to volume V. The final pressure of gas will be (γ =1.5)

Detailed Solution for Sample NEET Full Mock Test - Question 2

In an isothermal process P1V1 = P2V2

or PV = P2 x 4V

In an adiabatic process

Sample NEET Full Mock Test - Question 3

A gas is enclosed in a container which is then placed on a fast moving train. The temperature of the gas 

Detailed Solution for Sample NEET Full Mock Test - Question 3

According to ideal gas equation , temperature is not related to the velocity of the system

Sample NEET Full Mock Test - Question 4

In a thermodynamic process, the pressure of a fixed mass of a gas is changed in such a manner that the gas releases 20 J of heat and 8J of work is done on the gas. If the initial internal energy of the gas was 30 J, then the final internal energy will be

Detailed Solution for Sample NEET Full Mock Test - Question 4

Heat energy = work done + internal energy
ΔQ = ΔW + Δu……..(1)
given : heat = 20J = ΔQ
Work done = 8J = Δw
From (1), Δu = 20 – 8 = 12J
i.e. change in energy = 12
∴ 30 – final energy = 12
∴  final energy = 18J   

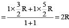
Sample NEET Full Mock Test - Question 5

Five identical rods are joined as shown in figure. Point A and C are maintained at temperature 120°C and 20°C respectively. The temperature of junction B will be

Detailed Solution for Sample NEET Full Mock Test - Question 5

If thermal resistance of each rod is considered R then, the given combination can be redrawn as follows


Sample NEET Full Mock Test - Question 6

Four massless springs whose force constants are 2k, 2k, k and 2k respectively are attached to a mass M kept on a frictionless plane (as shown in figure). If the mass M is displaced in the horizontal direction, then the frequency of oscillation of the system is

Detailed Solution for Sample NEET Full Mock Test - Question 6

Sample NEET Full Mock Test - Question 7

A wave travelling along positive x- axis is given by y = A sin(ωt − kx) . If it is reflected from rigid boundary at x = 0, such that 80% amplitude is reflected, then equation of reflected wave is

Detailed Solution for Sample NEET Full Mock Test - Question 7

On getting reflected from a rigid boundary the wave suffers a phase difference of π the boundary.
Hence if yincident = A sin(ωt − kx)
then yreflected = (0.8A) sin {ωt − k (−x) + π}
= −0.8A sin(ωt + kx) an additional phase change of π .

Sample NEET Full Mock Test - Question 8

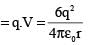
A point charge is surrounded symmetrically by six identical charges at distance r as shown in the figure. How much work is done by the forces of electrostatic repulsion when the point charge q at the centre is removed and placed at infinity

Detailed Solution for Sample NEET Full Mock Test - Question 8

Total potential at the centre 
Required work done 

Sample NEET Full Mock Test - Question 9

A conducting sphere of radius R, and carrying a charge q is joined to a conducting sphere of radius 2R, and carrying a charge – 2q. The charge flowing between them will be

Detailed Solution for Sample NEET Full Mock Test - Question 9

Initial charge on sphere of radius R = q
Charge on this sphere after joining 
Now charge flowing between them 

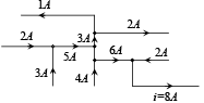
Sample NEET Full Mock Test - Question 10

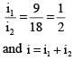
The figure here shows a portion of a circuit. What are the magnitude and direction of the current i in the lower right-hand wire

Detailed Solution for Sample NEET Full Mock Test - Question 10

By using Kirchoff's junction law as shown below.

Sample NEET Full Mock Test - Question 11

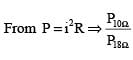
In the following circuit, 18Ω resistor develops a power of 2 J/sec due to current flowing through it. The power developed across 10Ω resistance is

Detailed Solution for Sample NEET Full Mock Test - Question 11

The given circuit can be redrawn as follows



Sample NEET Full Mock Test - Question 12

Find magnetic field at O

Detailed Solution for Sample NEET Full Mock Test - Question 12



Sample NEET Full Mock Test - Question 13

A magnet is parallel to a uniform magnetic field. If it is rotated by 60°, the work done is 0.8 J. How much work is done in moving it 30° further

Detailed Solution for Sample NEET Full Mock Test - Question 13

W = MB(cos θ1 − cos θ2)
When the magnet is rotated from 0° to 60°, then work done is 0.8 J

In order to rotate the magnet through an angle of 30°, i.e., from 60° to 90°, the work done is
 

Sample NEET Full Mock Test - Question 14

A straight wire of length L is bent into a semicircle. It is moved in a uniform magnetic field with speed v with diameter perpendicular to the field. The induced emf between the ends of the wire is

Detailed Solution for Sample NEET Full Mock Test - Question 14

Sample NEET Full Mock Test - Question 15

If A and B are identical bulbs which bulbs glows brighter (angular frequency of A.C. source = 100π)

Detailed Solution for Sample NEET Full Mock Test - Question 15

Inductive reactance=XL=WL=50 * 100*!)^-3=5*10^-2

capacitive reactance=XC=1/WC=1/50*10*10^-12=2*10^9

since XC>XL so resistance provided by capacitor is greater than that of inductor .so bulb which is in series with inductor will glow brighter.so A will glow brighter

Sample NEET Full Mock Test - Question 16

A radioactive nucleus undergoes α - emission to form a stable element. What will be the recoil velocity of the daughter nucleus if V is the velocity of α - emission and A is the atomic mass of radioactive nucleus

Detailed Solution for Sample NEET Full Mock Test - Question 16


According to conservation of momentum

Sample NEET Full Mock Test - Question 17

In an electrical cable there is a single wire of radius 9 mm of Copper. Its resistance is 5 Ω . The cable is replaced by 6 different insulated Copper wires, the radius of each wire is 3 mm. Now the total resistance of the cable will be (l = 1)

Detailed Solution for Sample NEET Full Mock Test - Question 17

Initially : Resistance of given cable
 .....(i)
Finally : Resistance of each insulated copper wire is
Hence equivalent resistance of cable
On solving equation (i) and (ii) we get Req = 7.5 Ω

Sample NEET Full Mock Test - Question 18

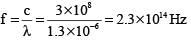
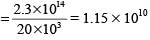
An optical fibre communication system works on a wavelength of 1.3 μm. The number of subscribers it can feed if a channel requires 20 kHz are

Detailed Solution for Sample NEET Full Mock Test - Question 18

Optical source frequency 
∴ Number of channels or subscribers 

Sample NEET Full Mock Test - Question 19

A ray of light strikes a plane mirror M at an angle of 45° as shown in the figure. After reflection, the ray passes through a prism of refractive index 1.5 whose apex angle is 4°. The total angle through which the ray is deviated is

Detailed Solution for Sample NEET Full Mock Test - Question 19


Sample NEET Full Mock Test - Question 20

In Young’s double slit experiment, we get 60 fringes in the field of view of monochromatic light of wavelength 4000Å. If we use monochromatic light of wavelength 6000Å, then the number of fringes obtained in the same field of view is

Detailed Solution for Sample NEET Full Mock Test - Question 20

n1λ1 = n2λ2 ⇒ 60 × 4000 = n2 × 6000 ⇒ n2 = 40

Sample NEET Full Mock Test - Question 21

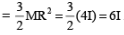
Two discs of moment of inertia I1 and I2 and angular speeds ω1 and ω2 are rotating along collinear axes passing through their centre of mass and perpendicular to their plane. If the two are made to rotate together along the same axis the rotational KE of system will be

Detailed Solution for Sample NEET Full Mock Test - Question 21

By the law of conservation of angular momentum 
Angular velocity of system 

Rotational kinetic energy 

Sample NEET Full Mock Test - Question 22

The bob of a simple pendulum is displaced from its equilibrium position O to a position Q which is at height h above O and the bob is then released. Assuming the mass of the bob to be m and time period of oscillations to be 2.0 sec, the tension in the string when the bob passes through O is

Detailed Solution for Sample NEET Full Mock Test - Question 22

Tension in the string when bob passes through lowest point 

Sample NEET Full Mock Test - Question 23

The acceleration due to gravity about the earth's surface would be half of its value on the surface of the earth at an altitude of (R = 4000 mile)

Detailed Solution for Sample NEET Full Mock Test - Question 23

By solving we get h = 1656.85 mile ≈ 1600 mile

Sample NEET Full Mock Test - Question 24

A thermodynamic system is taken through the cycle PQRSP. The net work done by the system is

Detailed Solution for Sample NEET Full Mock Test - Question 24

QR and SP are two isochoric processes, so, work done for these two is zero.
Workdone in PQ path,
W1=100×103×(300−100)×10−6
20J
Work done in RS path,
W= 200×103×(100−300)×10−6
−40J
∴ Net workdone= W1+W2
−20J
−VE sign implies that work is done by the system.
∴ Workdone by the system is 20J

Sample NEET Full Mock Test - Question 25

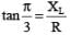
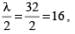
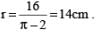
A sound wave of wavelength 32 cm enters the tube at S as shown in the figure. Then the smallest radius r so that a minimum of sound is heard at detector D is

Detailed Solution for Sample NEET Full Mock Test - Question 25

Path difference (πr - 2r) = 

Sample NEET Full Mock Test - Question 26

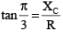
In an LCR circuit R = 100 ohm. When capacitance C is removed, the current lags behind the voltage by π / 3. When inductance L is removed, the current leads the voltage by π / 3. The impedance of the circuit is

Detailed Solution for Sample NEET Full Mock Test - Question 26

When C is removed circuit becomes RL circuit hence  .....(i)
When L is removed circuit becomes RC circuit hence  ....(ii)
From equation (i) and (ii) we obtain XL = XC. This is the condition of resonance and in resonance Z = R = 100Ω.

Sample NEET Full Mock Test - Question 27

If the magnetic dipole moment of an atom of diamagnetic material, paramagnetic material and ferromagnetic material is denoted by μdpf respectively then

Detailed Solution for Sample NEET Full Mock Test - Question 27

Materials with no unpaired, or isolated electrons are considered diamagnetic. Diamagnetic substances do not have magnetic dipole moments and have negative susceptibilities. However, materials having unpaired electrons whose spins do not cancel each other are called paramagnetic. These substances have positive magnetic moments and susceptibilities. μd = 0, μp ≠ 0.

Sample NEET Full Mock Test - Question 28

Moment of inertia of a uniform circular disc about a diameter is I. Its moment of inertia about an axis perpendicular to its plane and passing through a point on its rim will be

Detailed Solution for Sample NEET Full Mock Test - Question 28

Moment of inertia of disc about a diameter 
Now moment of inertia of disc about an axis perpendicular to its plane and passing through a point on its rim

Sample NEET Full Mock Test - Question 29

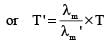
A body at 1500 K emits maximum energy at a wavelength 20,000 Å . If the Sun emits maximum energy at wavelength 5500 Å , then the temperature of Sun is

Detailed Solution for Sample NEET Full Mock Test - Question 29

According to Wien's displacement law λm T = constant or λm T = λm 'T' 

Sample NEET Full Mock Test - Question 30

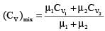
One mole of a monoatomic ideal gas is mixed with one mole of a diatomic ideal gas. The molar specific heat of the mixture at constant volume is

Detailed Solution for Sample NEET Full Mock Test - Question 30


View more questions
Information about Sample NEET Full Mock Test Page
In this test you can find the Exam questions for Sample NEET Full Mock Test solved & explained in the simplest way possible. Besides giving Questions and answers for Sample NEET Full Mock Test, EduRev gives you an ample number of Online tests for practice
Download as PDF