JEE Exam  >  JEE Tests  >  Test: BITSAT Past Year Paper- 2017 - JEE MCQ

Test: BITSAT Past Year Paper- 2017 - JEE MCQ


Test Description

30 Questions MCQ Test - Test: BITSAT Past Year Paper- 2017

Test: BITSAT Past Year Paper- 2017 for JEE 2025 is part of JEE preparation. The Test: BITSAT Past Year Paper- 2017 questions and answers have been prepared according to the JEE exam syllabus.The Test: BITSAT Past Year Paper- 2017 MCQs are made for JEE 2025 Exam. Find important definitions, questions, notes, meanings, examples, exercises, MCQs and online tests for Test: BITSAT Past Year Paper- 2017 below.
Solutions of Test: BITSAT Past Year Paper- 2017 questions in English are available as part of our course for JEE & Test: BITSAT Past Year Paper- 2017 solutions in Hindi for JEE course. Download more important topics, notes, lectures and mock test series for JEE Exam by signing up for free. Attempt Test: BITSAT Past Year Paper- 2017 | 150 questions in 180 minutes | Mock test for JEE preparation | Free important questions MCQ to study for JEE Exam | Download free PDF with solutions
Test: BITSAT Past Year Paper- 2017 - Question 1

What is the minimum energy required to launch a satellite of mass m from the surface of a planet of mass M and radius R in a circular orbit at an altitude of  2R?

Detailed Solution for Test: BITSAT Past Year Paper- 2017 - Question 1

As we know,
Gravitational potential energy 

and orbital velocity





Therefore minimum required energy,

Test: BITSAT Past Year Paper- 2017 - Question 2

A mercury drop of radius 1 cm is sprayed into 106 drops of equal size. The energy expressed in joule is (surface tension of Mercury is 460 × 10–3 N/m)

Detailed Solution for Test: BITSAT Past Year Paper- 2017 - Question 2

W = TΔA = 4pR2T(n1/3 – 1)
= 4 × 3.14 × (10-2)2 × 460 × 10–3 [(106)1/3 –1]
= 0.057

Test: BITSAT Past Year Paper- 2017 - Question 3

Two plano-concave lenses (1 and 2) of glass of refractive index 1.5 have radii of curvature 25 cm and 20 cm. They are placed in contact with their curved surface towards each other and the space between them is filled with liquid of refractive index 4/3. Then the combination is

Detailed Solution for Test: BITSAT Past Year Paper- 2017 - Question 3



Now

Test: BITSAT Past Year Paper- 2017 - Question 4

A charged particle moves through a magnetic field perpendicular to its direction. Then

Detailed Solution for Test: BITSAT Past Year Paper- 2017 - Question 4

When a charged particle enters a magnetic field at a direction perpendicular to the direction of motion, the path of the motion is circular. In circular motion the direction of velocity changes at every point (the magnitude remains constant).

Therefore, the tangential momentum will change at every point. But kinetic energy will remain constant as it is given by 1/2mv2  and v2 is the square of the magnitude of velocity which does not change.

Test: BITSAT Past Year Paper- 2017 - Question 5

After two hours, one-sixteenth of the star ting amount of a certain radioactive isotope remained undecayed. The half life of the isotope is

Detailed Solution for Test: BITSAT Past Year Paper- 2017 - Question 5



Half life

Test: BITSAT Past Year Paper- 2017 - Question 6

A coil of inductance 300 mH and resistance 2Ω is connected to a source of voltage 2 V. The current reaches half of its steady state value in

Detailed Solution for Test: BITSAT Past Year Paper- 2017 - Question 6

The charging of inductance given by,


Taking log on both the sides,

Test: BITSAT Past Year Paper- 2017 - Question 7

Two concentric conducting thin spherical shells A, and B having radii rA and rB ((rB > rA) are charged to QA and –QB (|QB| > |QA|). The electric field along a line passing through the centre is

Detailed Solution for Test: BITSAT Past Year Paper- 2017 - Question 7

For, r < rA, E = 0



These values are correctly represent in option (a).

Test: BITSAT Past Year Paper- 2017 - Question 8

A capillary tube of radius R is immersed in water and water rises in it to a height H. Mass of water in the capillary tube is M. If the radius of the tube is doubled, mass of water that will rise in the capillary tube will now be :

Detailed Solution for Test: BITSAT Past Year Paper- 2017 - Question 8


and

Test: BITSAT Past Year Paper- 2017 - Question 9

A sonometer wire resonates with a given tuning fork forming standing waves with five antinodes between the two bridges when a mass of 9 kg is suspended from the wire. When this mass is replaced by a mass M,  the wire resonates with the same tuning fork forming three antinodes for the same positions of the bridges. The value of M is

Detailed Solution for Test: BITSAT Past Year Paper- 2017 - Question 9

From above equations, we get M = 25 kg.

Test: BITSAT Past Year Paper- 2017 - Question 10

When a metal surface is illuminated by light of wavelengths 400 nm and 250 nm, the maximum velocities of the photoelectrons ejected are v and 2v respectively. The work function of the metal is (h - Planck's constant, c = velocity of light in air)

Detailed Solution for Test: BITSAT Past Year Paper- 2017 - Question 10

We have,
E = W0 + K

On simplifying above equations, we get
W = 2 hc x 106 J

Test: BITSAT Past Year Paper- 2017 - Question 11

Two conductin g shells of radius a an d b are connected by conducting wire as shown in  figure.
The capacity of system is :

Detailed Solution for Test: BITSAT Past Year Paper- 2017 - Question 11

V = 0, and so 

Test: BITSAT Past Year Paper- 2017 - Question 12

When 92U235 under goes fission , 0.1% of its original mass is changed into energy. How much energy is released if 1 kg of 92U235 undergoes fission

Detailed Solution for Test: BITSAT Past Year Paper- 2017 - Question 12

Mass of uranium changed into energy

The energy released = mC2
= 10–3 x (3 x 108)2
= 9 x 1013 J.

Test: BITSAT Past Year Paper- 2017 - Question 13

One mole of an ideal gas is taken from state A to state B by three different processes,

(i) ACB  (ii) ADB (iii) AEB as shown in the P-V diagram. The heat absorbed by the gas is

Detailed Solution for Test: BITSAT Past Year Paper- 2017 - Question 13

The change in internal energy DU is same in all process.


Here WACB is positive and WAEB is negative.
Hence QACB > QADB > QAEB.

Test: BITSAT Past Year Paper- 2017 - Question 14

In the formula X = 3 YZ2, X and Z have dimensions of capacitance and magnetic induction respectively. The dimensions of Y in MKSA system are :

Detailed Solution for Test: BITSAT Past Year Paper- 2017 - Question 14

Test: BITSAT Past Year Paper- 2017 - Question 15

Two very long, straight, parallel wires carry steady currents I and -I respectively. The distance between the wires is d. At a certain instant of time, a point charge q is at a point equidistant from the two wires, in the plane of the wires. Its instantaneous velocity v is perpendicular to this plane. The magnitude of the force due to the magnetic field acting on the charge at this instant is

Detailed Solution for Test: BITSAT Past Year Paper- 2017 - Question 15

Net magnetic field due to the wires will be downward as shown below in the figure.
Since angle between  is 180°,

Test: BITSAT Past Year Paper- 2017 - Question 16

Two projectiles A and B thrown with speeds in the ratio  1: √2 acquired the same heights. If A is thrown at an angle of 45° with the horizontal, the angle of projection of B will be

Detailed Solution for Test: BITSAT Past Year Paper- 2017 - Question 16

For projectile A

For projectile B
Maximum height,

As we know, HA = HB




Test: BITSAT Past Year Paper- 2017 - Question 17

​A meter bridge is set up as shown, to determine an unknown resistance ‘X’ using a standard 10 ohm resistor. The galvanometer shows null point when tapping-key is at 52 cm mark. The endcorrections are 1 cm and 2 cm respectively for the ends A and B. The determined value of ‘X’ is

Detailed Solution for Test: BITSAT Past Year Paper- 2017 - Question 17

At Null point

Here ℓ1 = 52 + End correction
= 52 + 1 = 53 cm
2 = 48 + End correction = 48 + 2 = 50 cm

Test: BITSAT Past Year Paper- 2017 - Question 18

A dis k of r ad ius a/4 having a uniformly distributed charge 6 C is placed in the x - y plane with its centre at (–a / 2, 0, 0). A rod of length a carrying a uniformly distributed charge 8C is placed on the x-axis from x = a /4 to x = 5a / 4.
Two point charges – 7 C and 3 C are placed at (a/4, – a/4, 0) and (– 3a/4, 3a/4, 0), respectively. Consider a cubical surface formed by six surfaces x = ± a/2, y = ± a/2, z = ± a/2. The electric flux through this cubical surface is

Detailed Solution for Test: BITSAT Past Year Paper- 2017 - Question 18

Total flux through the cubical surface,

Test: BITSAT Past Year Paper- 2017 - Question 19

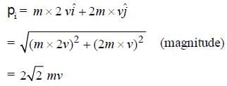
A particle of mass m moving in the x direction with speed 2v is hit by another particle of mass 2m moving in the y direction with speed v. If the collision is perfectly inelastic, the percentage loss in the energy during the collision is close to

Detailed Solution for Test: BITSAT Past Year Paper- 2017 - Question 19


Initial momentum of the system

Final momentum of the system = 3mV
By the law of conservation of momentum
2√2mv = 3mV

Loss in energy

Test: BITSAT Past Year Paper- 2017 - Question 20

A coil is suspended in a uniform magnetic field, with the plane of the coil parallel to the magnetic lines of force. When a current is passed through the coil it starts oscillating; It is very difficult to stop. But if an aluminium plate is placed near to the coil, it stops. This is due to :

Detailed Solution for Test: BITSAT Past Year Paper- 2017 - Question 20

Because of the Lenz's law of conservation
of energy.

Test: BITSAT Past Year Paper- 2017 - Question 21

A steel wire of length ‘L’ at 40°C is suspended from the ceiling and then a mass ‘m’ is hung from its free end. The wire is cooled down from 40°C to 30°C to regain its original length ‘L’. The coefficient of linear thermal expansion of the steel is 10–5/°C, Young’s modulus of steel is 1011 N/ m2 and radius of the wire is 1 mm. Assume that L >> diameter of the wire. Then the value of ‘m’ in kg is nearly

Detailed Solution for Test: BITSAT Past Year Paper- 2017 - Question 21

We know that

From (1) and (2)

Test: BITSAT Past Year Paper- 2017 - Question 22

On a hypotenuse of a right prism (30° – 60° – 90°) of refractive index 1.50, a drop of liquid is placed as shown in figure. Light is allowed to fall normally on the short face of the prism. In order that the ray of light may get totally reflected, the maximum value of refractive index is :

Detailed Solution for Test: BITSAT Past Year Paper- 2017 - Question 22

Cmax = 60°

Test: BITSAT Past Year Paper- 2017 - Question 23

A tuning fork of frequency 392 Hz, resonates with 50 cm length of a string under tension (T). If length of the string is decreased by 2%, keeping the tension constant, the number of beats heard when the string and the tuning fork made to vibrate simultaneously is :

Detailed Solution for Test: BITSAT Past Year Paper- 2017 - Question 23

The frequency of tuning fork, f = 392 Hz.
Also

After decreasing the length by 2%, we have

From above equations,
f' = 400 Hz.
∴ Beats frequency=8 Hz.

Test: BITSAT Past Year Paper- 2017 - Question 24

Hydrogen (H), deuterium (D), sin gly ionized helium (He+) and doubly ionized lithium (Li++) all have one electron around the nucleus. Consider n = 2 to n = 1 transition. The wavelengths of emitted radiations are λ1, λ2, λ3 and λ4 respectively.Then approximately  :

Detailed Solution for Test: BITSAT Past Year Paper- 2017 - Question 24

Z1 = 1, Z2 = 1, Z3 = 2 and Z4 = 3.

or λZ2 =constant
So 
λ1(1)2 = λ2 (1)2 = λ3(2)2 = λa(32 )
or λ1 = λ2 = 4λ3 = 9λ4.

Test: BITSAT Past Year Paper- 2017 - Question 25

The following figure depict a circular motion. The radius of the circle, the period of revolution, the initial position and the sense of revolution are indicated on the figure.

The simple harmonic motion of the x-projection of the radius vector of the rotating particle P can be shown as :

Detailed Solution for Test: BITSAT Past Year Paper- 2017 - Question 25

Test: BITSAT Past Year Paper- 2017 - Question 26

There are two sources kept at distances 2λ. A large screen is perpendicular to line joining the sources. Number of maximas on the screen in this case is (λ = wavelength of light)

Detailed Solution for Test: BITSAT Past Year Paper- 2017 - Question 26

Δxmax = 0 and Δxmax = 2λ
Theortical maximas are = 2n + 1 = 2 × 2 + 1 = 5
But on the screen there will be three maximas.

Test: BITSAT Past Year Paper- 2017 - Question 27

In the circuit shown in figure the current through

Detailed Solution for Test: BITSAT Past Year Paper- 2017 - Question 27

The net resistance of the circuit is 9Ω as shown in the following figures.

The flow of current in the circuit is as follows.

The current divides into two equal parts if passes through two equal resistances in parallel.
Thus current through 4Ω resistor is 0.25 A.

Test: BITSAT Past Year Paper- 2017 - Question 28

A telescope has an objective lens of 10 cm diameter and is situated at a distance of one kilometer from two objects. The minimum distance between these two objects, which can be resolved by the telescope, when the mean wavelength of light is 5000 Å, is of the order of

Detailed Solution for Test: BITSAT Past Year Paper- 2017 - Question 28


x is of the order of 5 mm.

Test: BITSAT Past Year Paper- 2017 - Question 29

During vapourisation
I. change of state from liquid to vapour state occurs.
II. temperature remains constant.
III. both liquid and vapour states coexist in equilibrium.
IV. specific heat of substance increases.

Correct statements are

Detailed Solution for Test: BITSAT Past Year Paper- 2017 - Question 29

The change of state from liquid to vapour (for gas) is called vapourisation. It is observed that when liquid is heated, the temperature remains constant untill the entire amount of the liquid is converted into vapour.
The temperature at which the liquid and the vapour states of the substance coexists is called its boiling point.

Test: BITSAT Past Year Paper- 2017 - Question 30

A wire is connected to a battery between the point M and N as shown in the figure (1). The same wire is bent in the form of a square and then connected to the battery between the points M and N as shown in the figure (2). Which of the following quantities increases ?

Detailed Solution for Test: BITSAT Past Year Paper- 2017 - Question 30

When the wire is bent in the form of a square and connected between M and N as shown in fig. (2), the effective resistance between M and N decreases to one fourth of the value in fig. (1). The current increases four times the initial value according to the relation  V = IR. Since H = I2Rt, the decrease in the value of resistance is more than compensated by the increases in the value of current. Hence heat produced increases.
Percentage loss in energy during the collision ; 56%

View more questions
Information about Test: BITSAT Past Year Paper- 2017 Page
In this test you can find the Exam questions for Test: BITSAT Past Year Paper- 2017 solved & explained in the simplest way possible. Besides giving Questions and answers for Test: BITSAT Past Year Paper- 2017, EduRev gives you an ample number of Online tests for practice
Download as PDF