CAT Exam  >  CAT Tests  >  Test Level 1: Coordinate Geometry - CAT MCQ

Test Level 1: Coordinate Geometry - CAT MCQ


Test Description

15 Questions MCQ Test - Test Level 1: Coordinate Geometry

Test Level 1: Coordinate Geometry for CAT 2025 is part of CAT preparation. The Test Level 1: Coordinate Geometry questions and answers have been prepared according to the CAT exam syllabus.The Test Level 1: Coordinate Geometry MCQs are made for CAT 2025 Exam. Find important definitions, questions, notes, meanings, examples, exercises, MCQs and online tests for Test Level 1: Coordinate Geometry below.
Solutions of Test Level 1: Coordinate Geometry questions in English are available as part of our course for CAT & Test Level 1: Coordinate Geometry solutions in Hindi for CAT course. Download more important topics, notes, lectures and mock test series for CAT Exam by signing up for free. Attempt Test Level 1: Coordinate Geometry | 15 questions in 30 minutes | Mock test for CAT preparation | Free important questions MCQ to study for CAT Exam | Download free PDF with solutions
Test Level 1: Coordinate Geometry - Question 1

The image of the point (α, β) in the line x + y = 0 is  

Detailed Solution for Test Level 1: Coordinate Geometry - Question 1

P (α, β) lies in the 1st quadrant. Image of point (α, β) in the line x + y = 0 lies in IIIrd quadrant, i.e. (- β, - α)

Test Level 1: Coordinate Geometry - Question 2

In the diagram, the line with equation y = 2x - 8 crosses x-axis at A and y-axis at B. The area of ΔAOB is

Detailed Solution for Test Level 1: Coordinate Geometry - Question 2

Point B is the y-intercept of y = 2x - 8, and so has coordinates (0, - 8).
Point A is the x-intercept of y = 2x - 8, so we set y = 0 and obtain 0 = 2x - 8
⇒ 2x = 8
⇒ x = 4
A has coordinates (4, 0).

Test Level 1: Coordinate Geometry - Question 3

If x-form (x, y) = (x2 + x, y2 - y) and y-form (x, y) = (x2 - 11 , y2) are two functions defined on a plane, then find the distance between the points x-form (-2, 5) and y-form (5, -2)

Detailed Solution for Test Level 1: Coordinate Geometry - Question 3

x-form (x, y) = (x2 + x, y2 - y); For (-2, 5), coordinates of A are (2 , 20).
y-form (x, y) = (x2 - 11, y2); For (-5, 2), co-ordinates of B are (14, 4).
Distance between A and B is


AB = 20 units

Test Level 1: Coordinate Geometry - Question 4

Find the equation of the straight line passing through the point (-2, -3) and perpendicular to the line passing through (-2, 3) and (-5, -6).

Detailed Solution for Test Level 1: Coordinate Geometry - Question 4

The slope of the line through (-2, 3) and (-5, -6) is m

⇒ The slope m1 of the required line 

By point-slope form, Y + 3

⇒ X + 3Y + 11 = 0

Test Level 1: Coordinate Geometry - Question 5

The lines a1x + b1y + c1 = 0 and a2x + b2y + c2 = 0 are perpendicular to each other if

Detailed Solution for Test Level 1: Coordinate Geometry - Question 5

b1y = -a1x - c1
b2y = -a2x - c2 
Slope of line 1 (m1) =  -a1/b1 
Slope of line 2 (m2) = -a2/b2 
For lines to be perpendicular, m1m2 = -1
(-a1/b1)(-a2/b2) = -1
a1a2 = -b1b2
a1a2 + b1b2 = 0

Test Level 1: Coordinate Geometry - Question 6

Find the coordinates of the point which divides P1(1, -4) and P2(4, 2) externally in the ratio 1 : 4.

Detailed Solution for Test Level 1: Coordinate Geometry - Question 6

Let P(X, Y) be the point which divides P1(1, -4) and P2(4, 2) externally in the ratio 1 : 4.  
By section formula, X = {1 + (-1/4)(4)}/(1 - ¼) = 0
Y = {-4 + (-1/4) (2)}/(1 - ¼) = -6

Test Level 1: Coordinate Geometry - Question 7

The vertices of a triangle are at (0, 0), (8, 0) and (0, 14). The orthocentre of the triangle is at

Detailed Solution for Test Level 1: Coordinate Geometry - Question 7

If the vertices of the triangle are at A(8, 0), B(0, 14) and O(0, 0), then [OA] ⊥ [OB]; hence, altitudes through A and B meet at O.
So, the orthocentre of the triangle is at (0, 0).

Test Level 1: Coordinate Geometry - Question 8

If A (a, 0) and B (3a, 0) are the vertices of an equilateral triangle ABC, then what are the coordinates of C?

Detailed Solution for Test Level 1: Coordinate Geometry - Question 8

Length AB = 2a
Now, the vertex C will be such that AC = BC = 2a.
If (x, y) are the coordinates of C, then

Or, a2 + x2 - 2ax + y2 = 9a2 + x2 - 6ax + y2 ⇒ 4ax = 8a2
Or, x = 2a

Or, a2 + y2 = 4a2
⇒ y2 = 3a2

Thus, the coordinates of C are (2a, ±a√3).

Test Level 1: Coordinate Geometry - Question 9

The equation of the straight line which passes through the point (3, 4) and makes an intercept on the y-axis twice as long as that on the x-axis is

Detailed Solution for Test Level 1: Coordinate Geometry - Question 9

Let x-intercept = a and y-intercept = 2a
Using intercept form, we get
Equation of line,
(x/a) + (y/2a) = 1
2x + y = 2a
As it passes through a point (3, 4), therefore,
2(3) + 4 = 2a
a = 5
So, the required equation of line is 2x + y = 10.

Test Level 1: Coordinate Geometry - Question 10

The value of k for which the circles x2 + y2 - 3x + ky - 5 = 0 and 4x2 + 4y2 - 12x - y - 9 = 0 become concentric is  

Detailed Solution for Test Level 1: Coordinate Geometry - Question 10

Since the circles are concentric, so their centres will be the same.
The centre of circle x2 + y2 - 3x + ky - 5 = 0 is (3/2, -k/2).
The centre of circle 4x2 + 4y2 - 12x - y - 9 = 0 is (3/2, 1/8).
This implies,

Test Level 1: Coordinate Geometry - Question 11

What is the equation of a straight line which passes through the point of intersection of the straight lines x – 3y + 1 = 0 and 2x + 5y – 9 = 0 and has infinite slope?

Detailed Solution for Test Level 1: Coordinate Geometry - Question 11

x – 3y + 1 = 0
⇒ 2x – 6y + 2 = 0 ... (i)
2x + 5y – 9 = 0 ... (ii)
(i) - (ii) gives:
-6y - 5y + 2 + 9 = 0
y = 1
Substitute the value of y in equation (i), we get
x = 2
So, the intersection point of x – 3y + 1 = 0 and 2x + 5y – 9 = 0 is (2, 1) and m = 1/0 (because the slope is infinite).
So, the required line is (y – 1) = (1/0)(x – 2), which gives x - 2 = 0 or x = 2.

Test Level 1: Coordinate Geometry - Question 12

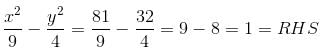
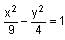
The curve  passes through the point

Detailed Solution for Test Level 1: Coordinate Geometry - Question 12

On checking the options one by one, we get that only option (4) satisfies the given curve.
Putting x = 9 and y = 4√2, we get

Thus, option 4 is correct.

Test Level 1: Coordinate Geometry - Question 13

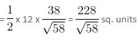
A triangle has 12 units base on the line 3x + 7y = 12. If the third vertex is at point (3, - 5), find the area of the triangle.

Detailed Solution for Test Level 1: Coordinate Geometry - Question 13

The perpendicular distance of the vertex (3, -5) from the line is the altitude of the triangle.

Required area of triangle 

Test Level 1: Coordinate Geometry - Question 14

The area of the circle x2 + y2 - 6x - 8y - 24 = 0 is  

Detailed Solution for Test Level 1: Coordinate Geometry - Question 14

Equation of a circle = x2 + y2 + 2gx + 2fy + c = 0
where r = radius of the circle 
Comparing with the given equation, g = -3, f = -4, c = -24

Area of a circle = πr2 = 49π sq. units

Test Level 1: Coordinate Geometry - Question 15

If u = a1x + b1y + c1 = 0, v = a2x + b2y + c2 and a1/a2 = b1/b2 = c1/c2 , then locus of the equation u + λv = 0, λ ∈ R is

Detailed Solution for Test Level 1: Coordinate Geometry - Question 15

Since a1/a2 = b1/b2 = c1/c2 , = μ (say), therefore the straight lines u = 0 and v = 0 are coincident.
Also, u + λv = 0.
⇔ a1x + b1y + c1 + λ(a2x + b2y + c2) = 0
⇔ μ(a2x + b2y + c2) + λ(a2x + b2y + c2) = 0
⇔ (μ + λ)(a2x + b2y + c2) = 0
⇔ (μ + λ) v = 0
So, v = 0
Similarly, u = 0

Information about Test Level 1: Coordinate Geometry Page
In this test you can find the Exam questions for Test Level 1: Coordinate Geometry solved & explained in the simplest way possible. Besides giving Questions and answers for Test Level 1: Coordinate Geometry, EduRev gives you an ample number of Online tests for practice
Download as PDF