UPSC Exam  >  UPSC Tests  >  CSAT Preparation  >  Test: Square Root And Cube Root- 2 - UPSC MCQ

Test: Square Root And Cube Root- 2 - UPSC MCQ


Test Description

10 Questions MCQ Test CSAT Preparation - Test: Square Root And Cube Root- 2

Test: Square Root And Cube Root- 2 for UPSC 2026 is part of CSAT Preparation preparation. The Test: Square Root And Cube Root- 2 questions and answers have been prepared according to the UPSC exam syllabus.The Test: Square Root And Cube Root- 2 MCQs are made for UPSC 2026 Exam. Find important definitions, questions, notes, meanings, examples, exercises, MCQs and online tests for Test: Square Root And Cube Root- 2 below.
Solutions of Test: Square Root And Cube Root- 2 questions in English are available as part of our CSAT Preparation for UPSC & Test: Square Root And Cube Root- 2 solutions in Hindi for CSAT Preparation course. Download more important topics, notes, lectures and mock test series for UPSC Exam by signing up for free. Attempt Test: Square Root And Cube Root- 2 | 10 questions in 20 minutes | Mock test for UPSC preparation | Free important questions MCQ to study CSAT Preparation for UPSC Exam | Download free PDF with solutions
Test: Square Root And Cube Root- 2 - Question 1

Practice Quiz or MCQ (Multiple Choice Questions) with solutions are available for Practice, which would help you prepare for "Square Root and Cube Root" under Quantitative Aptitude. You can practice these practice quizzes as per your speed and improvise the topic. The same topic is covered under various competitive examinations like - CAT, GMAT, Bank PO, SSC and other competitive examinations.

 

Q. The cube root of .000216 is:

Detailed Solution for Test: Square Root And Cube Root- 2 - Question 1

We need to find the cube root of 0.000216.

Step 1: Convert the decimal to a fraction:
0.000216 = 216 / 1000000

Step 2: Take the cube root of both numerator and denominator:
∛(216 / 1000000) = ∛216 / ∛1000000

  • Cube root of 216 = 6 (since 6 × 6 × 6 = 216)

  • Cube root of 1000000 = 100 (since 100 × 100 × 100 = 1000000)

So,
∛0.000216 = 6 / 100 = 0.06

Test: Square Root And Cube Root- 2 - Question 2

What should come in place of both x in the equation 

Detailed Solution for Test: Square Root And Cube Root- 2 - Question 2

so x2=8x6x3
x2=144
x=12

Test: Square Root And Cube Root- 2 - Question 3

The least perfect square, which is divisible by each of 21, 36 and 66 is:

Detailed Solution for Test: Square Root And Cube Root- 2 - Question 3

L.C.M. of 21, 36, 66 = 2772.

Now, 2772 = 2 x 2 x 3 x 3 x 7 x 11

To make it a perfect square, it must be multiplied by 7 x 11.

So, required number = 22 x 32 x 72 x 112 = 213444

Test: Square Root And Cube Root- 2 - Question 4

What is the Square Root of 

Detailed Solution for Test: Square Root And Cube Root- 2 - Question 4

Test: Square Root And Cube Root- 2 - Question 5

What should come in place of the question mark in
square root and cube root

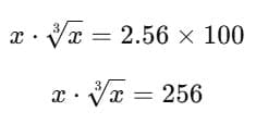
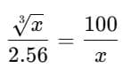
Detailed Solution for Test: Square Root And Cube Root- 2 - Question 5

Given: 

Cross-multiplying, 

Write x as a perfect cube: 

Comparing both sides,

⇒ x = 64.

Test: Square Root And Cube Root- 2 - Question 6

If a = 0.1039, then the value of  is:

Detailed Solution for Test: Square Root And Cube Root- 2 - Question 6

 

  1. Compute 4a²:
    a = 0.1039
    a² = 0.1039 × 0.1039 = 0.01079521
    4a² = 4 × 0.01079521 = 0.04318084

  2. Compute –4a:
    –4a = –4 × 0.1039 = –0.41560000

  3. Sum up 4a² – 4a + 1: = 0.62758084

  4. Take the square root:
    √0.62758084 ≈ 0.79221

  5. Compute 3a:
    3a = 3 × 0.1039 = 0.31170000

  6. Finally add them:
    0.79221 + 0.31170 = 1.1039

Test: Square Root And Cube Root- 2 - Question 7

 then the value of (x2 + y2) is:

Detailed Solution for Test: Square Root And Cube Root- 2 - Question 7

Test: Square Root And Cube Root- 2 - Question 8

A group of students decided to collect as many paise from each member of group as is the number of members. If the total collection amounts to Rs. 59.29, the number of the member is the group is:

Detailed Solution for Test: Square Root And Cube Root- 2 - Question 8

Test: Square Root And Cube Root- 2 - Question 9

The square root of  is

Detailed Solution for Test: Square Root And Cube Root- 2 - Question 9

Test: Square Root And Cube Root- 2 - Question 10

If √5 = 2.236, then the value of  is equal to:

Detailed Solution for Test: Square Root And Cube Root- 2 - Question 10

205 videos|287 docs|137 tests
Information about Test: Square Root And Cube Root- 2 Page
In this test you can find the Exam questions for Test: Square Root And Cube Root- 2 solved & explained in the simplest way possible. Besides giving Questions and answers for Test: Square Root And Cube Root- 2, EduRev gives you an ample number of Online tests for practice
205 videos|287 docs|137 tests
Download as PDF