JEE Exam  >  JEE Tests  >  WBJEE Physics Test - 1 - JEE MCQ

WBJEE Physics Test - 1 - JEE MCQ


Test Description

30 Questions MCQ Test - WBJEE Physics Test - 1

WBJEE Physics Test - 1 for JEE 2025 is part of JEE preparation. The WBJEE Physics Test - 1 questions and answers have been prepared according to the JEE exam syllabus.The WBJEE Physics Test - 1 MCQs are made for JEE 2025 Exam. Find important definitions, questions, notes, meanings, examples, exercises, MCQs and online tests for WBJEE Physics Test - 1 below.
Solutions of WBJEE Physics Test - 1 questions in English are available as part of our course for JEE & WBJEE Physics Test - 1 solutions in Hindi for JEE course. Download more important topics, notes, lectures and mock test series for JEE Exam by signing up for free. Attempt WBJEE Physics Test - 1 | 40 questions in 60 minutes | Mock test for JEE preparation | Free important questions MCQ to study for JEE Exam | Download free PDF with solutions
WBJEE Physics Test - 1 - Question 1

Energy, when one milligram mass is converted in to energy (in joules ) is

Detailed Solution for WBJEE Physics Test - 1 - Question 1

Given:

Mass of the matter = 1 mg = 1 × 10-6 kg

Speed of light (C) = 3 × 108 m/s

Using the formula: E = mc²

Substitute the given values:

E = 1 × 10-6 × (3 × 108

E = 1 × 10-6 × 9 × 1016

E = 9 × 1010 J

The energy equivalent of the given mass is 9 × 1010 joules.

WBJEE Physics Test - 1 - Question 2

An ammeter with internal resistance 90Ω reads 1.85 A when connected in a circuit containing a battery and two resistors 700Ω and 410Ω in series. Actual current will be

Detailed Solution for WBJEE Physics Test - 1 - Question 2

Ammeter has it's internal resistance, due to which resistance of system inscreases I∝1/Req so current reading decreases that original.
In general, ammeter always reads less than the actual value because of its  Resistance.
Actual current will be Greater than 1.85 A

WBJEE Physics Test - 1 - Question 3

An ammeter gives full deflection when a current of 2 amp. flows through it. The resistance of ammeter is 12 ohms. If the same ammeter is to be used for measuring a maximum current of 5 amp., then the ammeter must be connected with a resistance of

Detailed Solution for WBJEE Physics Test - 1 - Question 3

WBJEE Physics Test - 1 - Question 4

Two similar wires under the same load yield elongation of 0.1 mm and 0.05 mm respectively. If the area of cross-section of the first wire is 4 mm2, then the area of cross section of the second wire is

Detailed Solution for WBJEE Physics Test - 1 - Question 4

To find the area of cross-section of the second wire, we can use the relationship between elongation, load, cross-sectional area, and material properties. The elongation of a wire is influenced by its material properties and cross-sectional area. Given the elongations and the area of the first wire, we can set up a proportion based on the formula for elongation.

Let:

  • ΔL1 = 0.1 mm (elongation of the first wire)
  • ΔL2 = 0.05 mm (elongation of the second wire)
  • A1 = 4 mm2 (area of the first wire)
  • A2 = ? (area of the second wire)

Since both wires are under the same load, we can express the ratio of their elongations as follows:

  • ΔL1 / ΔL2 = A2 / A1

Substituting the known values:

  • 0.1 / 0.05 = A2 / 4

This simplifies to:

  • 2 = A2 / 4

From this, we can calculate:

  • A2 = 2 * 4
  • A2 = 8 mm2

Thus, the area of cross-section of the second wire is 8 mm2.

WBJEE Physics Test - 1 - Question 5

The mutual inductance of an induction coil is 5 H. In the primary coil, the current reduces from 5 A to zero in 10-3s. What is the induced emf in the secondary coil ?

Detailed Solution for WBJEE Physics Test - 1 - Question 5

WBJEE Physics Test - 1 - Question 6

There is a uniform electric field of strength 103 V m−1 along Y-axis. A body of mass 1 gm and charge 10− 6C is projected into the field from orgin along the positive X-axis with a velocity of 10 m s − 1 . Its speed in m s−1 after 10s is (Neglect graviation )

Detailed Solution for WBJEE Physics Test - 1 - Question 6

WBJEE Physics Test - 1 - Question 7

Which of the following quantities does not depend upon the orbital radius of the satellite 

Detailed Solution for WBJEE Physics Test - 1 - Question 7

To understand the dependency of various quantities on the orbital radius of a satellite, it is essential to analyse each option carefully.

  • T/R: This ratio depends on both the period (T) and the radius (R) of the orbit. Changes in radius will affect this quantity.
  • T²/R: This quantity also varies with changes in the orbital radius, as it includes both the square of the period and the radius.
  • T²/R²: Similar to the above, this ratio changes with the orbital radius. Both the square of the period and the square of the radius are involved.
  • T²/R³: This quantity is special because it reflects a relationship that does not change with the radius. It is constant regardless of the orbital radius.

In conclusion, among these options, only T²/R³ does not depend on the orbital radius of the satellite.

WBJEE Physics Test - 1 - Question 8

The centripetal acceleration of a body moving in a circle of radius 100 cm with a time period of 2s will be

Detailed Solution for WBJEE Physics Test - 1 - Question 8

100cm=1m

a=v²/r

v= 2πr/t

v=6.28/2

v= 3.14

a= 9.8596/1

a=9.8596 m/s²

WBJEE Physics Test - 1 - Question 9

A capacitor of capacity C1 is charged upto V volt and then connected to an unchanged capacitor of capacity C2. The potential difference across each capacitor will be

Detailed Solution for WBJEE Physics Test - 1 - Question 9

Charge on first capacitor = q1 = C11
Charge on second capacitor = q2 = 0
When they are connected, in parallel the total charge
q = q1 + q2
∴ q = C11
and capacitance, C = C1 + C2
Let V' be the common potential difference across each capacitaor, then q = CV'

WBJEE Physics Test - 1 - Question 10

The coil of a moving coil galvanometer is wound over a metal frame in order to

Detailed Solution for WBJEE Physics Test - 1 - Question 10

To provide electromagnetic dampening.

The coil is wound on a metal frame to instantly bring it to rest. In turn, this makes it possible for the coil to very immediately reach its equilibrium position. In the metal frame, eddy currents form. The coil cannot go any further due to these eddy currents. The galvanometer is referred to as a dead beat galvanometer because the oscillation of the coil abruptly ceases.

WBJEE Physics Test - 1 - Question 11

If a bar magnet of moment μ is suspended in a uniform magnetic field B and it is given an angular deflection ' θ ' w.r.t its equilibrium position, the restoring torque on magnet is

Detailed Solution for WBJEE Physics Test - 1 - Question 11

Restoring Torque on a Suspended Bar Magnet

The restoring torque acting on a bar magnet when it is displaced from its equilibrium position in a uniform magnetic field can be explained as follows:

  • The torque is proportional to the magnetic moment (μ) of the magnet.
  • It also depends on the strength of the magnetic field (B).
  • The angle of deflection (θ) influences the torque through the sine function.

Thus, the formula for the restoring torque (τ) is given by:

τ = μB sin(θ)

This indicates that:

  • The torque increases with a larger magnetic moment.
  • A stronger magnetic field also results in greater torque.
  • The torque is maximised when the angle θ is 90 degrees, as sin(90°) = 1.

In summary, the restoring torque on the magnet, when displaced, is directly related to its magnetic moment, the magnetic field strength, and the sine of the angle of deflection.

WBJEE Physics Test - 1 - Question 12

The coil in the tangent galvanometer must be kept

Detailed Solution for WBJEE Physics Test - 1 - Question 12

The coil in the tangent galvanometer must be kept

  • In the magnetic meridian: This is the direction aligned with the Earth's magnetic field.

  • Perpendicular to the magnetic meridian: This orientation would not allow accurate readings.

  • In any direction: This would lead to incorrect measurements.

  • Need not be rotated in any direction: This implies it can remain stationary, which is not correct.

To ensure accurate measurements, the coil must be positioned in the magnetic meridian.

WBJEE Physics Test - 1 - Question 13

Two mercury drops with radii in the ratio of 3 : 4 fall from a great height through the viscous liquid. The ratio of their terminal velocities is

Detailed Solution for WBJEE Physics Test - 1 - Question 13

To determine the ratio of terminal velocities for two mercury drops with radii in the ratio of 3:4, we can use the relationship between the radius of a sphere and its terminal velocity in a viscous medium.

The terminal velocity (v) of a sphere falling through a viscous fluid is given by Stokes' law, which can be expressed as:

  • vr2

Where:

  • v is the terminal velocity
  • r is the radius of the sphere

Given the radii of the drops are in the ratio of 3:4, we can express this as:

  • Let the radius of the first drop be 3x
  • Let the radius of the second drop be 4x

Now, applying Stokes' law:

  • For the first drop: v1 ∝ (3x)2 = 9x2
  • For the second drop: v2 ∝ (4x)2 = 16x2

To find the ratio of their terminal velocities:

  • v1 : v2 = 9x2 : 16x2
  • This simplifies to 9 : 16

Hence, the ratio of their terminal velocities is 9:16.

WBJEE Physics Test - 1 - Question 14

The x and y coordinates of a particle at any time t are by x=7t+4t2 and y=5t, where x and y are in metre and t in seconds. The acceleration of particle at t=5 s is

Detailed Solution for WBJEE Physics Test - 1 - Question 14

Explanation:

Given:
- x = 7t + 4t^2
- y = 5t

Acceleration of the particle can be found by taking the second derivative of the position function with respect to time.

First, find the velocity components:
- Vx = dx/dt = d(7t + 4t^2)/dt = 7 + 8t
- Vy = dy/dt = d(5t)/dt = 5

Now, find the acceleration components:
- Ax = dVx/dt = d(7 + 8t)/dt = 8
- Ay = dVy/dt = d(5)/dt = 0

The total acceleration is given by:
- A = sqrt[(Ax)^2 + (Ay)^2] = sqrt[(8)^2 + (0)^2] = 8 m/s^2

Therefore, the acceleration of the particle at t=5s is 8 m/s^2, which corresponds to option B.

WBJEE Physics Test - 1 - Question 15

A bullet is fired from a gun with a velocity of 1000 m−s-1 in order to hit a target 100 m away. At what height above the target should the gun be aimed? (Resistance of air is negligible and g = 10 m−s⁻2)

Detailed Solution for WBJEE Physics Test - 1 - Question 15

To determine the height at which the gun should be aimed, we need to consider the physics of projectile motion. Here’s a simplified breakdown of the calculation:

  • The bullet is fired with an initial velocity of 1000 m/s.
  • The horizontal distance to the target is 100 m.
  • We assume no air resistance and use the acceleration due to gravity, g = 10 m/s².

First, we calculate the time it takes for the bullet to reach the target:

  • Time (t) = Distance / Velocity = 100 m / 1000 m/s = 0.1 s.

Next, we calculate the vertical displacement (height) of the bullet during this time:

  • Vertical displacement (h) can be calculated using the formula: h = 0.5 × g × t².
  • Substituting the values: h = 0.5 × 10 m/s² × (0.1 s)².
  • This simplifies to: h = 0.5 × 10 × 0.01 = 0.05 m.
  • Converting this to centimetres: 0.05 m = 5 cm.

Therefore, the gun should be aimed at a height of 5 cm above the target.

WBJEE Physics Test - 1 - Question 16

The centripetal acceleration is given by

Detailed Solution for WBJEE Physics Test - 1 - Question 16

Centripetal acceleration describes how an object moves in a circular path. It depends on the object's speed and the radius of the circle.

The formula for centripetal acceleration is:

  • Acceleration increases with the square of the speed.
  • A larger radius results in less acceleration.
  • It is calculated using the formula: v2 / r,
  • where v is the speed and r is the radius.

This means that if an object's speed doubles, the centripetal acceleration will increase by a factor of four. Conversely, if the radius of the path increases, the acceleration decreases.

WBJEE Physics Test - 1 - Question 17

Two radioactive substances A and B have decay constants 5 λ and λ respectively. At t = 0 they have the same number of nuclei. The ratio of number of nuclei of A to those of B will be (1/e)after a time interval

Detailed Solution for WBJEE Physics Test - 1 - Question 17


According to radioactive decay, 

Divide (i) by (ii), we get

WBJEE Physics Test - 1 - Question 18

The length of a simple pendulum is increased by 1%. Its time period will

Detailed Solution for WBJEE Physics Test - 1 - Question 18

When the length of a simple pendulum is increased by 1%, it affects its time period. The time period of a pendulum is given by the formula:

  • The time period T is proportional to the square root of the length L: T ∝ √L.
  • A small increase in length leads to a proportional increase in the time period.

Specifically:

  • If the length increases by 1%, the new length becomes 1.01L.
  • The new time period can be calculated as follows:
    • New time period: T' = K√(1.01L) where K is a constant.
  • Using the approximation for small changes, we find that:
    • The increase in time period is about 0.5% when the length is increased by 1%.

Therefore, the time period increases by approximately 0.5%.

WBJEE Physics Test - 1 - Question 19

One-fourth length of a spring of force constant K is cut away. The force constant of the remaining spring will be

Detailed Solution for WBJEE Physics Test - 1 - Question 19

When a portion of a spring is removed, its force constant changes. In this case, one-fourth of the spring is cut away, affecting the overall stiffness of the remaining part.

To understand this, consider the following points:

  • The original force constant, represented as K, indicates how stiff the spring is.
  • When one-fourth of the spring is cut, three-fourths of the spring remains.
  • The force constant of a spring is inversely proportional to its length. Therefore, a shorter spring will be stiffer.
  • The new force constant can be calculated using the formula for the remaining spring's length. As the length decreases, the force constant increases.
  • The relation shows that the new force constant of the remaining spring is given by 4K/3.

This change indicates that the stiffness of the remaining spring increases when a portion is removed, resulting in a new force constant of 4K/3.

WBJEE Physics Test - 1 - Question 20

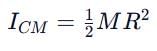
A solid cylinder of mass M and radius R rolls on a flat surface. Its moment of inertia about the line of contact is

Detailed Solution for WBJEE Physics Test - 1 - Question 20


Moment of inertia of solid cylinder about O,

Moment of inertia about point of contact P,

WBJEE Physics Test - 1 - Question 21

Which of the following spectrum has high to low frequency range?

Detailed Solution for WBJEE Physics Test - 1 - Question 21

The continuous emission spectrum is characterised by a smooth range of frequencies without any gaps. This spectrum displays all the wavelengths of light emitted by a source, such as a hot solid or gas, allowing it to cover a wide frequency range.

In contrast, the other types of spectra can be described as follows:

  • Line spectrum: Comprises distinct lines representing specific frequencies emitted by atoms or molecules. Each line corresponds to a particular energy transition.
  • Band spectrum: Features a series of closely spaced lines, which appear as bands due to the transitions between vibrational levels in molecules.
  • Absorption spectrum: Results from specific wavelengths being absorbed by a cooler gas, creating dark lines in the spectrum that indicate the missing frequencies.

Among these spectra, the continuous emission spectrum exhibits the highest frequency range, gradually decreasing to the lower frequency spectra like the line and band spectra.

WBJEE Physics Test - 1 - Question 22

A soild sphere, disc and solid cylinder all of the same mass and made of the same material are allowed to roll down (from rest) on an inclined plane, then

Detailed Solution for WBJEE Physics Test - 1 - Question 22

In physics, when objects roll down an inclined plane, their shape and mass distribution affect their acceleration and speed.

In this scenario, we have three objects: a solid sphere, a disc, and a solid cylinder. All three objects have the same mass and are made from the same material, which ensures that their rolling behaviour is determined mainly by their shapes.

  • Solid Sphere: The solid sphere has a lower moment of inertia compared to the other two shapes. This means it rotates more efficiently as it rolls down the incline.
  • Disc: The disc has a higher moment of inertia than the sphere but lower than that of the solid cylinder. It will roll down the incline at a moderate pace.
  • Solid Cylinder: The solid cylinder has the highest moment of inertia, causing it to roll down the incline more slowly than both the sphere and the disc.

Thus, the order in which these objects reach the bottom of the inclined plane is primarily influenced by their shape and mass distribution. Since the solid sphere has the most efficient rolling motion, it will reach the bottom first.

WBJEE Physics Test - 1 - Question 23

In forward biasing of junction diode, the width of depletion layer

Detailed Solution for WBJEE Physics Test - 1 - Question 23

In forward biasing of a junction diode, the width of the depletion layer changes significantly. When a diode is forward-biased, the following occurs:

  • The depletion layer narrows, allowing more charge carriers to flow through.
  • This results in an increase in current across the diode.
  • The decrease in width enhances the diode's conductivity.

In summary, forward biasing effectively reduces the size of the depletion layer, facilitating the flow of current. This principle is crucial for the operation of diodes in various electronic applications.

WBJEE Physics Test - 1 - Question 24

In p-type semiconductor, majority current carriers are

Detailed Solution for WBJEE Physics Test - 1 - Question 24

In a ptype semiconductor, the majority charge carriers are the holes whereas in the n- type semiconductor, the majority charge carriers are the free electrons.

WBJEE Physics Test - 1 - Question 25

Heat given to a body which rises its temperature by 1ºC is

Detailed Solution for WBJEE Physics Test - 1 - Question 25

Thermal capacity is the amount of heat required to raise the temperature of a body by 1°C. It is an important concept in thermodynamics and relates to how materials respond to heat. Below are key points about thermal capacity:

  • Definition: Thermal capacity refers to the total heat energy needed to change the temperature of an object.
  • Units: It is usually measured in joules per degree Celsius (J/°C).
  • Factors: The thermal capacity of a material depends on its mass and specific heat, which is the heat required to raise the temperature of a unit mass by 1°C.
  • Applications: Understanding thermal capacity is essential in various fields, including engineering, meteorology, and environmental science.

In summary, thermal capacity is a fundamental property that indicates how much heat a material can store and its ability to change temperature.

WBJEE Physics Test - 1 - Question 26

The length and breadth of a metal sheet are 3.124 m and 3.002 m respectively. The area of this sheet up to four correct significant figures is

Detailed Solution for WBJEE Physics Test - 1 - Question 26

To find the area of a metal sheet, we multiply its length and breadth.

  • Length: 3.124 m
  • Breadth: 3.002 m

Calculating the area:

  • Area = Length × Breadth
  • Area = 3.124 m × 3.002 m
  • Area = 9.373248 m2

To express this value with four significant figures, we round it:

  • The first four significant figures of 9.373248 are 9.378.
  • Thus, the area is 9.378 m2.
WBJEE Physics Test - 1 - Question 27

The vector     lies in the plane of vectors which of the following is correct ?

WBJEE Physics Test - 1 - Question 28

Doppler's effects in sound and light are

Detailed Solution for WBJEE Physics Test - 1 - Question 28

The Doppler effect describes how the frequency of sound or light waves changes depending on the relative motion between the source and the observer.

Key differences in how the Doppler effect applies to sound and light include:

  • Symmetry: The Doppler effect for sound is symmetrical, meaning that the frequency changes are similar regardless of whether the source is moving towards or away from the observer.
  • Asymmetry in light: In contrast, the Doppler effect for light is asymmetrical. This is due to the finite speed of light and the way it impacts our perception based on relative motion.
  • Speed of propagation: Sound requires a medium (like air) to travel, whereas light can move through a vacuum, leading to different effects based on movement.
  • Relative speed: For sound, the changes in frequency are more pronounced at lower speeds compared to light, where even high speeds result in relatively small shifts.

In summary, while both sound and light exhibit the Doppler effect, they do so in fundamentally different ways, highlighting their unique characteristics.

WBJEE Physics Test - 1 - Question 29

Two springs, having spring constants of 25 N-m⁻1 and 16 N-m⁻1are stretched by forces F₁ and F₂.If work done in stretching the springs is equal, then the ratio of the forces F₁ and F₂ is

Detailed Solution for WBJEE Physics Test - 1 - Question 29

WBJEE Physics Test - 1 - Question 30

An unknown resistance X is connected in the left gap and a known resistance R in the right gap of a meter bridge. The balance point is obtained at 55 cm from the left end of the wire. When R is increased by 5 Ω , the balance point shifts by 5 cm. The value of X is

Detailed Solution for WBJEE Physics Test - 1 - Question 30

To find the unknown resistance X, we can use the properties of a meter bridge. Initially, the balance point is at 55 cm, indicating a specific relationship between X and the known resistance R.

  • The balance point formula for a meter bridge is given by: X / R = (L1) / (L2), where L1 is the distance from the left end (55 cm) and L2 is the remaining distance (100 cm - 55 cm = 45 cm).
  • From the initial setup, we have: X / R = 55 / 45.
  • When the resistance R is increased by 5 Ω, the new balance point shifts to 60 cm. The new relationship is: X / (R + 5) = 60 / 40.

Now we have two equations:

  • 1. X = (R × 55) / 45
  • 2. X = (R + 5) × (60 / 40)

By equating both expressions for X, we can solve for R:

  • From the first equation, we find: X = 1.222 R
  • From the second equation, we get: X = 1.5(R + 5)

Setting these equal gives:

  • 1.222 R = 1.5(R + 5)

Solving this equation:

  • 1.222 R = 1.5R + 7.5
  • 0.278 R = 7.5
  • R = 26.98 Ω (approximately 27 Ω)

Now substituting R back into the expression for X:

  • X = 1.222 × 27 = 33 Ω (approximately).

However, in the given options, the closest value for X is 27.5 Ω.

View more questions
Information about WBJEE Physics Test - 1 Page
In this test you can find the Exam questions for WBJEE Physics Test - 1 solved & explained in the simplest way possible. Besides giving Questions and answers for WBJEE Physics Test - 1, EduRev gives you an ample number of Online tests for practice
Download as PDF