Computer Science Engineering (CSE) Exam  >  Computer Science Engineering (CSE) Tests  >  Computer Science And IT (CS/IT) Mock Test For Gate - Computer Science Engineering (CSE) MCQ

Computer Science And IT (CS/IT) Mock Test For Gate - Computer Science Engineering (CSE) MCQ


Test Description

30 Questions MCQ Test - Computer Science And IT (CS/IT) Mock Test For Gate

Computer Science And IT (CS/IT) Mock Test For Gate for Computer Science Engineering (CSE) 2025 is part of Computer Science Engineering (CSE) preparation. The Computer Science And IT (CS/IT) Mock Test For Gate questions and answers have been prepared according to the Computer Science Engineering (CSE) exam syllabus.The Computer Science And IT (CS/IT) Mock Test For Gate MCQs are made for Computer Science Engineering (CSE) 2025 Exam. Find important definitions, questions, notes, meanings, examples, exercises, MCQs and online tests for Computer Science And IT (CS/IT) Mock Test For Gate below.
Solutions of Computer Science And IT (CS/IT) Mock Test For Gate questions in English are available as part of our course for Computer Science Engineering (CSE) & Computer Science And IT (CS/IT) Mock Test For Gate solutions in Hindi for Computer Science Engineering (CSE) course. Download more important topics, notes, lectures and mock test series for Computer Science Engineering (CSE) Exam by signing up for free. Attempt Computer Science And IT (CS/IT) Mock Test For Gate | 65 questions in 180 minutes | Mock test for Computer Science Engineering (CSE) preparation | Free important questions MCQ to study for Computer Science Engineering (CSE) Exam | Download free PDF with solutions
Computer Science And IT (CS/IT) Mock Test For Gate - Question 1

In the following question, some part of the sentence may have errors. Find out which part of the sentence has an error and select the appropriate option. If the sentence is free from error, select 'No error'.The fox thought to him

The fox thought to him (A)/ that he should wait for the (B)/ lady to leave the place.(C)/ No error

Detailed Solution for Computer Science And IT (CS/IT) Mock Test For Gate - Question 1

The error lies in part (A) of the sentence as the pronoun ‘him’ is incorrect and must be replaced with a reflexive pronoun ‘himself’ which is used as the object of a verb or preposition to refer to a male person or animal previously mentioned as the subject of the clause.

Computer Science And IT (CS/IT) Mock Test For Gate - Question 2

A book shelf has 27 books – 9 books each written by 3 eminent authors. If Raj selects any 2 books without looking at their author’s name, what is the probability that he picks up books written by the different authors.

Detailed Solution for Computer Science And IT (CS/IT) Mock Test For Gate - Question 2

Total possible outcomes  = 27C2

Favourable outcomes = Selecting any two authors × selecting one book for each author=

Computer Science And IT (CS/IT) Mock Test For Gate - Question 3

The ratio material cost and labor cost in a small construction project is 3:1. If the labor cost went up by 20% and material cost witnessed an avenge increase of 15%, what will be the new ratio of labor cost and material cost?

Detailed Solution for Computer Science And IT (CS/IT) Mock Test For Gate - Question 3

Let us take material cost and labor cost as Rs 300 and Rs 100 respectively. Since labor cost went up by 20%, the revised labor cost is Rs 120. The revised material cost due to 15% increase is Rs (300+15% of 300) = 345. The ratio of labor cost and material cost is 120: 345 or 8: 23 i.e. (b)

Computer Science And IT (CS/IT) Mock Test For Gate - Question 4

A monkey is trying to reach the top of a tree. He climbs 3 feet in a minute but slides down by 1.5 feet after each climb. If he reaches the top of the tree in 58 minutes, then the maximum possible height of the tree is ____ feets.

Detailed Solution for Computer Science And IT (CS/IT) Mock Test For Gate - Question 4

You have to carefully observe the point that in the last minute, we DO NOT have to consider the sliding down of the monkey since the question states that the monkey reaches the top of the tree.Out of 58 minutes, the climb by monkey in 58th minute is 3 feet whereas for each of his earlier climbs, the monkey covers a net distance of 3-1.5=1.5  feet.We can work out the maximum possible height of the tree as 1.5×57+3=85.5+3=88.5 feet

Computer Science And IT (CS/IT) Mock Test For Gate - Question 5

Direction: Read the sentence to find out whether there is any error in it. The error, will be in one part of the sentence. Ignore the errors of punctuation, if any.The misuse of drugs and alcohol were seen as very damaging/ to the society, chiefly because it often promoted/ violent crimes and anti-social behavior; while also/ causing ill-health, poverty and family breakdown.

Detailed Solution for Computer Science And IT (CS/IT) Mock Test For Gate - Question 5

The error lies in the first part of the sentence where the verb ‘were’ is incorrect and needs to be replaced with ‘was’ as the subject "misuse" is singular. To make the subject and the verb agree it should read as:’The misuse of drugs and alcohol was seen as..’

Computer Science And IT (CS/IT) Mock Test For Gate - Question 6

An event A is considered to be rolling a fair dice .If 10 dice are rolled each of which are independent, find the probability that the sum obtained on the faces is between 30 and 40 both inclusive.

Given: N(1.0184) = 0.84 , which is value of normal distribution for X = 1.018

Detailed Solution for Computer Science And IT (CS/IT) Mock Test For Gate - Question 6

Let Xi denote the ith dice.

Since events are independent,

E(xi) = 7/2

V(xi) = 350/12

According to Central Limit Theorem,

P(30≤ X ≤40) = P(30 – 35 ≤ X – 35 ≤ 40-35)

Its converting to standard form, X – E[X] / std, where std is standard deviation.

Thus,

P = 2N(1.0184) – 1

= 0.69

Computer Science And IT (CS/IT) Mock Test For Gate - Question 7

Which of the given option is most appropriate in the context of the word in bold letters in the given sentence.The reason there is no exodus towards banks in general for new project funding is their relatively less experience in project appraisal.

Detailed Solution for Computer Science And IT (CS/IT) Mock Test For Gate - Question 7

Migration is the only word which comes to the meaning of the word ‘exodus.’

Computer Science And IT (CS/IT) Mock Test For Gate - Question 8

Improve the bracketed part of the sentence. My car (broke off) on my way to the office.

Detailed Solution for Computer Science And IT (CS/IT) Mock Test For Gate - Question 8

Let's understand the meanings of each phrasal verb given in the options:

Broke off = became separated/detached

Broke out = started/began suddenly

Broke in = force entry to a building

Broke down = suddenly ceased or stopped to function (of a machine or motor vehicle)

As per the context of the sentence, the correct phrasal verb is "broke down".

Computer Science And IT (CS/IT) Mock Test For Gate - Question 9

Chinnaswamy is driving to pick up his son from school on a Saturday which is a half day. On his way to school, he crossed a church which is 1/5th of the way to school at 9:50 hours and exactly 10 minutes later, he went past a temple which is 1/3rd of the way to school. The time after 10:00 hours at which he reaches his son’s school is ____ minutes.

Detailed Solution for Computer Science And IT (CS/IT) Mock Test For Gate - Question 9

Since we are given time to cross a point which is 1/5th of the way and 1/3rd of the way, we can rewrite them as 3/15th and 5/15th of the way which implies that 2/15th of the way was covered in 10 minutes.
This means that the entire route was covered in 10 × 15/2 = 75 minutes (each 1/15th part is covered in 75/15 = 5 minutes) leading to time of arrival at school as 9:50 – 15 + 75 = 10:50 hours.

Computer Science And IT (CS/IT) Mock Test For Gate - Question 10

In the following question, out of the four alternatives, select the word similar in meaning to the given word.Literal

Detailed Solution for Computer Science And IT (CS/IT) Mock Test For Gate - Question 10

Literal = line for line, letter to letter
Verbatim = in exactly the same words; word for word
Formal = conventional, traditional
Idealistic = visionary, dreamy, unrealistic
Outdated = out of date, obsolete
Hence, "Verbatim" best expresses the meaning of the word "Literal".

Computer Science And IT (CS/IT) Mock Test For Gate - Question 11

In control flow analysis, control flow graph contain basis blocks for the code.

A basic block is a segment of the code that a program must enter at the beginning and it can exit only at the end. A basic block ends in which of the following ways?

Detailed Solution for Computer Science And IT (CS/IT) Mock Test For Gate - Question 11

A basic block can end in any of the following:Jump statementConditional/ unconditional branchReturn statement

Computer Science And IT (CS/IT) Mock Test For Gate - Question 12

Which of the following operators is used to search a specified pattern in a column?

Detailed Solution for Computer Science And IT (CS/IT) Mock Test For Gate - Question 12

The like operator is used in the string to search for characters. Eg: All names starting with ‘A’ (select name from ABC were name like ‘A%’;) while where is used to check for the condition.

Computer Science And IT (CS/IT) Mock Test For Gate - Question 13

The logic pumping lemma is a good example of 

Detailed Solution for Computer Science And IT (CS/IT) Mock Test For Gate - Question 13

The logic pumping lemma is a good example of the pigeon whole principle.

Computer Science And IT (CS/IT) Mock Test For Gate - Question 14

An instruction is stored at location 300 with its address field at location 301. The address field has the value 400. A processor register R1 contains the number 200. What will be the addressing mode of the effective address of the instruction is 702?

Detailed Solution for Computer Science And IT (CS/IT) Mock Test For Gate - Question 14

Relative: 302 + 400 = 702

Computer Science And IT (CS/IT) Mock Test For Gate - Question 15

A file system is said to exhibit data dependence because;

Detailed Solution for Computer Science And IT (CS/IT) Mock Test For Gate - Question 15

A file system is said to exhibit data dependence because a change in any file’s structure, such as addition or deletion of a field, requires modifications of all programs using that file. That means, access to a file is dependent on its structure.
A file system is said to exhibit data dependence because a change in any file’s data characteristics, such as changing the filed from integer to decimal, requires change in all data access programs. That means, access to a file data is dependent on its data characteristics.

Computer Science And IT (CS/IT) Mock Test For Gate - Question 16

Choose the correct option to fill the empty blanks in below statement :If variables are declared previously, then __________ is responsible for generation of symbol table but if variables are not declared then symbol table will be generated by __________.

Detailed Solution for Computer Science And IT (CS/IT) Mock Test For Gate - Question 16

If variables are declared previously, then semantic analyzer is responsible for generation of symbol table.

If variables are not declared, then lexical analyzer will generate the symbol table.

Hence option b is correct.

Computer Science And IT (CS/IT) Mock Test For Gate - Question 17

For the following set of processes scheduled using FCFS policy, determine the average waiting time. Assume that the processes arrived in the order P1, P2, P3, P4.

Detailed Solution for Computer Science And IT (CS/IT) Mock Test For Gate - Question 17

Computer Science And IT (CS/IT) Mock Test For Gate - Question 18

Initially a priority queue had 5 elements and it is being implemented as a Max-Heap. Let’s say the level order traversal of the heap is: 30, 18, 17, 12, 11. Now two more elements are inserted into the heap i.e. 10 and 19 in the same order. What is the level order traversal of the heap after the insertion?

Detailed Solution for Computer Science And IT (CS/IT) Mock Test For Gate - Question 18

To solve this problem, follow these steps:

  • Start with the initial Max-Heap: 30, 18, 17, 12, 11.
  • Insert 10 into the heap:
    • 10 is placed at the next available position in the heap.
    • No need to swap as the heap property is maintained.
  • Insert 19 into the heap:
    • 19 is placed at the next available position.
    • 19 is greater than 17, so swap them to maintain the max-heap property.
    • The heap now becomes: 30, 18, 19, 12, 11, 10, 17.

The final level order traversal of the heap is:

30, 18, 19, 12, 11, 10, 17.

 

Computer Science And IT (CS/IT) Mock Test For Gate - Question 19

Create a view which gives students number and name for those who enrolled in class ”Database Design” and whose age is under 25.

Detailed Solution for Computer Science And IT (CS/IT) Mock Test For Gate - Question 19

Following is the syntax for creating views.

CREATEVIEW view_name AS

SELECT column_name(s)

FROM table_name

WHERE condition

Computer Science And IT (CS/IT) Mock Test For Gate - Question 20

Consider the following C program:

int main(){

printf("what %%");

return 0;

What does the code print?

Detailed Solution for Computer Science And IT (CS/IT) Mock Test For Gate - Question 20

Backslash actually acts an escape character and helps to print double quotes, where % can be printed only with double % i.e. %%

Computer Science And IT (CS/IT) Mock Test For Gate - Question 21

Consider a program which stores the frequency of marks of student in a particular subject say Mathematics. The marks is in the range [0...100] and there are around 500 students. But there is one condition we only want to record frequency if the student has passed in the exam, the passing marks being 40. What is the best way to store the frequency of marks above 40?

Detailed Solution for Computer Science And IT (CS/IT) Mock Test For Gate - Question 21

For this purpose, we can ignore the below forty numbers and have an array of 60 index to store the individual frequencies from 40 to 100.

*Answer can only contain numeric values
Computer Science And IT (CS/IT) Mock Test For Gate - Question 22

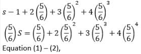
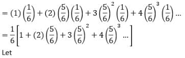
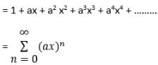
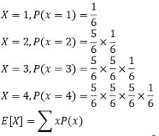
A fair die with faces {1, 2, 3, 4, 5, 6} is thrown repeatedly till ‘3’ is observed for the first time. Let X denote the number of times the die is thrown. The expected value of X is _____.


Detailed Solution for Computer Science And IT (CS/IT) Mock Test For Gate - Question 22

given

now, the random variable X does represent number of throws required for getting 3. So,

Computer Science And IT (CS/IT) Mock Test For Gate - Question 23

The alternate way of writing the instruction, SUB #7,R1 is______. The above addressing mode is Immediate addressing mode

Detailed Solution for Computer Science And IT (CS/IT) Mock Test For Gate - Question 23

The SUBI instruction, means the subtraction is in immediate addressing mode.

Computer Science And IT (CS/IT) Mock Test For Gate - Question 24

Which one of the following is a closed form expression for the generating function for the sequence {Sn}, where Sn = an, for all n = 0, 1, 2, …… and ‘a’ is a constant?

Detailed Solution for Computer Science And IT (CS/IT) Mock Test For Gate - Question 24

The given sequence is <1, a1, a2, a3, a4, ………..>.

The generating function for this sequence will be;

The only generating sequence that matching the above sequence is of option D

Computer Science And IT (CS/IT) Mock Test For Gate - Question 25

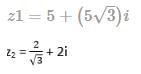
Given two complex numbers,  the argument of z1/z2 in degrees is

Detailed Solution for Computer Science And IT (CS/IT) Mock Test For Gate - Question 25

since , we know that 

Since we know that

Computer Science And IT (CS/IT) Mock Test For Gate - Question 26

An athlete can play on several teams and each team needs atleast one player. 

Based on the description above, what is the maximum cardnality between each instance of “Athelete” and “team”?

Detailed Solution for Computer Science And IT (CS/IT) Mock Test For Gate - Question 26

As it is clearly mentioned that each team at least require one player so one team can acquire n number of athletes where n>=1. And also one athlete can play for more than one team i.e for m teams. So maximum cardinality is m:n

Computer Science And IT (CS/IT) Mock Test For Gate - Question 27

Find the type of given grammar:

S -> #S | @ A#

A -> @ A @ | #B!A

B -> &B% | ! | e

Non Terminal (V) = { S , A , B }

Terminal (T) = { # , ! , @ , % , & }

Here e is epsilon or null symbol.

Detailed Solution for Computer Science And IT (CS/IT) Mock Test For Gate - Question 27

To check LL(1) we have to use some rules :
i. First(A1) ∩ First(A2) ∩ ...... ∩ First(An) = Ø
Where , A -> A1 | A2 | A3 ...... | An
ii. If any production contains null then do as follow
First(Ai) ∩ Follow(Ai) = Ø
If the above two rules satisfy then given grammar is LL(1) , but as per grammar given in question it is not satisfying above rule in production of B [ First(B) ∩ Follow(B) != Ø ].
To check LR(0) when we draw DFA for each item in Goto and Clousre , there is shift and reduce conflict.
Same case is with SLR(1) , in production B , there is shift reduce conflict.

Computer Science And IT (CS/IT) Mock Test For Gate - Question 28

What is the unit digit of number obtained from: 111283+171293 - 71283

Detailed Solution for Computer Science And IT (CS/IT) Mock Test For Gate - Question 28

We don’t need to calculate the final result, just calculate the unit digit raised to the power of unit digit of power of each term and add it. So,  1+7-3=5

Computer Science And IT (CS/IT) Mock Test For Gate - Question 29

Consider the following system of equations.

x+y = 2

x+py = 2

where p is constant. Find the value of ‘p’ such that the system has more than two solutions.

Detailed Solution for Computer Science And IT (CS/IT) Mock Test For Gate - Question 29

Computer Science And IT (CS/IT) Mock Test For Gate - Question 30

When number of entities are bought together into one entity based on their similar characteristics, what is this process called;

Detailed Solution for Computer Science And IT (CS/IT) Mock Test For Gate - Question 30

In the above example food items are generalized on the basis that they all belong to fast food.

 

View more questions
Information about Computer Science And IT (CS/IT) Mock Test For Gate Page
In this test you can find the Exam questions for Computer Science And IT (CS/IT) Mock Test For Gate solved & explained in the simplest way possible. Besides giving Questions and answers for Computer Science And IT (CS/IT) Mock Test For Gate, EduRev gives you an ample number of Online tests for practice
Download as PDF