Railways Exam  >  Railways Tests  >  RRB JE CBT 1 - Full Test 8 - Railways MCQ

RRB JE CBT 1 - Full Test 8 - Railways MCQ


Test Description

30 Questions MCQ Test - RRB JE CBT 1 - Full Test 8

RRB JE CBT 1 - Full Test 8 for Railways 2025 is part of Railways preparation. The RRB JE CBT 1 - Full Test 8 questions and answers have been prepared according to the Railways exam syllabus.The RRB JE CBT 1 - Full Test 8 MCQs are made for Railways 2025 Exam. Find important definitions, questions, notes, meanings, examples, exercises, MCQs and online tests for RRB JE CBT 1 - Full Test 8 below.
Solutions of RRB JE CBT 1 - Full Test 8 questions in English are available as part of our course for Railways & RRB JE CBT 1 - Full Test 8 solutions in Hindi for Railways course. Download more important topics, notes, lectures and mock test series for Railways Exam by signing up for free. Attempt RRB JE CBT 1 - Full Test 8 | 100 questions in 90 minutes | Mock test for Railways preparation | Free important questions MCQ to study for Railways Exam | Download free PDF with solutions
RRB JE CBT 1 - Full Test 8 - Question 1

How many triangles are there in the given figure?

Detailed Solution for RRB JE CBT 1 - Full Test 8 - Question 1


Hence, the total number of triangles is 15.

RRB JE CBT 1 - Full Test 8 - Question 2


In the following question, select the related number pair from the given alternatives.
13 : 17 :: ? : ?

Detailed Solution for RRB JE CBT 1 - Full Test 8 - Question 2

The pattern followed here is,

Consecutive prime numbers are given,

13 and 17

Similarly,

19 and 23

Hence, 23 is the correct answer.

RRB JE CBT 1 - Full Test 8 - Question 3

In the following question, select the related word from the given alternatives.
Cricket : Ball :: Badminton : ?

Detailed Solution for RRB JE CBT 1 - Full Test 8 - Question 3

The game cricket is played with bat and ball.

Similarly, badminton is played with racket and shuttle cock.

Hence Badminton is related to Shuttle.

RRB JE CBT 1 - Full Test 8 - Question 4

Three years ago, the average age of A and B was 8 years, With C joining them now, the average becomes 15 years. How old is C now?

Detailed Solution for RRB JE CBT 1 - Full Test 8 - Question 4

Let the age of A be “x” years, B be ‘y’ years and C be “z” years.

Three years ago,

Age of A = x – 3 years

Age of B = y – 3 years

Average of age of A and B = (A + B)/2 = 8 years

⇒ (x + y -6)/2 = 8

⇒ x + y – 6 = 16

⇒ x + y = 22

Now average of A,B and C = 15 years

⇒ (A + B + C)/3 = 15

⇒ x + y + z = 45

⇒ 22 + z = 45

⇒ z = 23 years 

RRB JE CBT 1 - Full Test 8 - Question 5

Direction: Study the following information carefully and answer the questions given below:

Following are the conditions for selecting a Librarian in a well-known Institute:

The candidate must–

i) Be at least 30 years and not more than 40 years old as on 31.01.2018.
ii) Have completed a Bachelor Degree in Library & Information Science (BLIS) with at least 60% aggregate marks. Any Diploma or Certificate holders will not be considered.
iii) Have completed Masters in Library & Information Science (MLIS) with at least 55% marks. Any Diploma or Certificate holders will not be considered
iv) Have post qualification work experience of at least 4years as Librarian in any educational organization.

In the case of a candidate who fulfills all the conditions except:

a) At i) above, but if the candidate is not more than 55 years & has a work experience of 15 years & above as Librarian, his / her case is to be referred to Librarian Head.
b) At ii) above, but if the candidate has secured at least 55% in BLIS and at least 60% in MLIS, his / her case is to be referred to Deputy Librarian.

All these cases are given to you as on 31.01.2018

Now read the information provided in each question and mark your answer accordingly.

Q. Rahul Kumar has been working in a School as a Librarian for the past 5 years. He has completed his PG in Library& Information Science& secured 61%in BLIS.

Detailed Solution for RRB JE CBT 1 - Full Test 8 - Question 5


Since the data about the age is not given.

The correct answer is Data inadequate.

RRB JE CBT 1 - Full Test 8 - Question 6

What will be the average of all the prime numbers before 19?

Detailed Solution for RRB JE CBT 1 - Full Test 8 - Question 6

Prime numbers before 19 = 17, 13, 11, 7, 5, 3, 2

We know, Average = sum of all the number/total number

∴ Average = (17 + 13 + 11 + 7 + 5 + 3 + 2)/7 = 58/7 = 8.28

RRB JE CBT 1 - Full Test 8 - Question 7

The temperature regulation center is ________

Detailed Solution for RRB JE CBT 1 - Full Test 8 - Question 7
  • The hypothalamus is the processing center of the brain that controls body temperature.
  • It does this by triggering changes to effectors, such as sweat glands and muscles controlling body hair.
  • Heat stroke can happen when the body becomes too hot, and hypothermia when the body becomes too cold.
RRB JE CBT 1 - Full Test 8 - Question 8

Ujjain is situated on the banks of which river?

Detailed Solution for RRB JE CBT 1 - Full Test 8 - Question 8

RRB JE CBT 1 - Full Test 8 - Question 9

5 men can do a piece of work in 12 days and 10 women can do the same work in 15 days. 5 men and 10 women undertook the same work for Rs. 36,000. They finished the work in 5 days with the help of 15 children. What is the share of 5 children?

Detailed Solution for RRB JE CBT 1 - Full Test 8 - Question 9

Time taken by 5 men to do a piece of work = 12 days

∴ Work done by 5 men in 1 day = 1/12

Time taken by 10 women to do the same work = 15 days

∴ Work done by 10 women in 1 day = 1/15

With the help of 15 children they finished the work = 5 days

∴ Work done by (5 men + 10 women + 15 children) in 1 day = 1/5

So, work by 15 children in 1 day = 1/5 - 1/12 - 1/15 = 1/20

Time taken by 15 children to do the same work = 20 days

The ratio of their time = 12 : 15 : 20

We know, the efficiency is inversely proportional to the time

So, ratio of their efficiency = 1/12 : 1/15 : 1/20 = 5 : 4 : 3

So, 5 + 4 + 3 = 12 unit = 36,000

⇒ 1 unit = 3,000

⇒ 3 unit = 9,000

∴ Share of 15 children is 9,000

So, share of 1 child = 9,000/15 = 600

So, share of 5 children = 600 × 5 = 3,000

RRB JE CBT 1 - Full Test 8 - Question 10

The order of the increasing wavelength of the following colors will be ________

1. Orange
2. Indigo
3. Yellow
4. Violet

Detailed Solution for RRB JE CBT 1 - Full Test 8 - Question 10

The order of the increasing wavelength of the colors is:

  • Violet
  • Indigo
  • Blue
  • Green
  • Yellow
  • Orange
  • Red

The visible light or visible spectrum is divided into these colors.

RRB JE CBT 1 - Full Test 8 - Question 11

In the following question, select the odd letter pair from the given alternatives.

Detailed Solution for RRB JE CBT 1 - Full Test 8 - Question 11

In all pairs except ‘LMNO – LMON’ 1st & 2nd and 3rd & 4th alphabets are interchanged while in ‘LMNO – LMON’ 1st & 2nd alphabets are not interchanged.

Hence, ‘LMNO – LMON’ is an odd letter pair.

RRB JE CBT 1 - Full Test 8 - Question 12

Which of the following deals with the study of Fungi?

Detailed Solution for RRB JE CBT 1 - Full Test 8 - Question 12

Mycology is the branch of biology concerned with the study of fungi, including their genetic and biochemical properties, their taxonomy and their use to humans as a source for tinder, medicine, wine, cheese, (edible mushrooms), and entheogens, as well as their dangers, such as poisoning or infection.

RRB JE CBT 1 - Full Test 8 - Question 13

What is used to prevent freezing of fuel in space crafts?

Detailed Solution for RRB JE CBT 1 - Full Test 8 - Question 13

In space craft freezing of fuel is prevented by the Usage of Glycol. It is an additive which lowers the freezing point of a water-based liquid and increases its boiling point. Thus ensuring performance of the engine or the space craft in situation of extreme temperature shifts.

RRB JE CBT 1 - Full Test 8 - Question 14

Chandragupta Maurya died in which among the following places?

Detailed Solution for RRB JE CBT 1 - Full Test 8 - Question 14
  • Chandragupta Maurya became a Jain and left for Sravanbelgola, Karnataka along with his Jain guru Bhadrabahu. 
  • He died by slow starvation at Chandragiri Hill, Sravanbelgola .
  • He lived as an ascetic for some years and died of voluntary starvation.
  • He was the founder of the Maurya Dynasty in India. 
RRB JE CBT 1 - Full Test 8 - Question 15

Where is 'Lippa Asrang' Wildlife Sanctuary situated?

Detailed Solution for RRB JE CBT 1 - Full Test 8 - Question 15
  • 'Lippa Asrang' Wildlife Sanctuary is a part of district Kinnaur in Himachal Pradesh.
  • It is situated in an area of 3089 hectares and is part of Moorang town.
  • The sanctuary was established in the year 1974.
RRB JE CBT 1 - Full Test 8 - Question 16

What is the value of 

Detailed Solution for RRB JE CBT 1 - Full Test 8 - Question 16

Concept:

cos(90−θ)=sinθ
sin(90−θ)=cosθ

RRB JE CBT 1 - Full Test 8 - Question 17

What is the constituent of tear gas?

Detailed Solution for RRB JE CBT 1 - Full Test 8 - Question 17

Tear gas also known as lachrymator agent is a chemical compound that is mostly used as a weapon as it causes severe eye, respiratory and skin irritation.

Chloropicrin is a constituent of tear gas and is responsible for causing irritation.

RRB JE CBT 1 - Full Test 8 - Question 18

Water in an electric kettle becomes hot by ________.

Detailed Solution for RRB JE CBT 1 - Full Test 8 - Question 18
  • Water in an electric kettle becomes hot by convection. It is the process of transfer of heat by mass motion of a fluid such as water when the heated fluid is caused to move away from the source of it and carrying energy with it.
  • Conduction is the process of transmission of heat through the material of a substance.
  • Radiation is the process of emission of energy in the form of moving subatomic particles or electromagnetic waves.
RRB JE CBT 1 - Full Test 8 - Question 19

In the following figure, rectangle represents Animators, circle represents Dancers, triangle represents Potters and square represents Mothers. Which set of letters represents Potters who are not Mothers?

Detailed Solution for RRB JE CBT 1 - Full Test 8 - Question 19

Rectangle represents Animators,

Circle represents Dancers,

Triangle represents Potters,

Square represents Mothers

Thus the letters inside the triangle but not in the intersection of square and triangle represent Potters who are not Mothers i.e. IH.

Hence, the correct answer is IH.

RRB JE CBT 1 - Full Test 8 - Question 20

M is the largest three-digit number which when divided by 6 and 5 leaves remainder 5 and 3 respectively. What will be the remainder when M is divided by 11?

Detailed Solution for RRB JE CBT 1 - Full Test 8 - Question 20

Lcm of (6, 5) = 30

Let’s assume the number be "30K + constant", where Constant is the remainder.

let that number be ‘M’

⇒ M/6 = 5 (remainder)

M could be 5, 11, 17, 23, 29, ...

⇒ M/5 = 3 (remainder) 

M could be 3, 8, 13, 18, 23, 28, ...

The very first number common in both term is 23.

⇒ M is 23 i.e. a constant term

⇒ 30K + constant = 30K + 23

The largest three digit number comes when K is 32

⇒ 30 (32) + 23 = 983

∴ When 983 is divided by 11, leaves the remainder 4.

RRB JE CBT 1 - Full Test 8 - Question 21

Which element is generally NOT radioactive?

Detailed Solution for RRB JE CBT 1 - Full Test 8 - Question 21
  • A radioactive element is that which breaks down over the time by turning into different elements and releasing energy.
  • They are considered unstable since they have an unbalanced number of protons and neutrons in the nucleus. Germanium is not a radioactive element, while the rest of these are radioactive.
RRB JE CBT 1 - Full Test 8 - Question 22

Harike wetland is situated on the confluence of

Detailed Solution for RRB JE CBT 1 - Full Test 8 - Question 22

Harike Wetland is a manmade lake and wetland formed by the headworks built in 1953 on the confluence of the Beas and the Sutlej rivers. The wetland is characterized by the Harike freshwater lake and is a home to over 200 species of birds along with a rich marine flora and fauna.

RRB JE CBT 1 - Full Test 8 - Question 23

In the following question, select the number which can be placed at the sign of question mark (?) from the given alternatives.

Detailed Solution for RRB JE CBT 1 - Full Test 8 - Question 23

Consider the horizontal relations,

In row 1, (7 × 5) – 2 = 35 – 2 = 33

In row 2, (8 × 6) – 2 = 48 – 2 = 46,

In row 3, (6 × 6) – 2 = 36 – 2 = 34,

Similarly in row 4, (8 × 7) – 2 = 56 – 2 = 54

Hence, 54 is the correct alternative.

RRB JE CBT 1 - Full Test 8 - Question 24

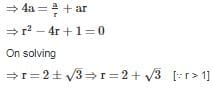
 then the value of θ -

Detailed Solution for RRB JE CBT 1 - Full Test 8 - Question 24

sec2θ + tan2θ =53=53

[1 + tan2θ = sec2θ]

1 + tan2θ + tan2θ =53=53

2 tan2θ  = 5/3−1

tanθ =1/√3

∴ θ = 30°

RRB JE CBT 1 - Full Test 8 - Question 25

A dishonest shopkeeper uses a weight of 850 gm instead of 1 kg and sells rice on its cost price. What will be his profit percentage on selling 5 kg rice?

Detailed Solution for RRB JE CBT 1 - Full Test 8 - Question 25

Original weight of rice = 1 kg = 1000 gm

Let cost of 1 gm is Rs. 1

Cost price of 1000 gm = Rs. 1000

Selling price of 850 gm = Rs. 1000 (∵ giving only 850 gm instead of 1000 gm)

Profit = [error/ (true weight)] × 100

⇒ Profit = [(1000 - 850)/ 850] × 100 = (150/850) × 100 = 17.65%

∴ profit % on 5kg is equal to profit on 1 kg which is 17.65%

RRB JE CBT 1 - Full Test 8 - Question 26

Some equations have been solved on the basis of a certain system. Find the correct answer for the unsolved equation on that basis.
If 95 + 65 + 23 = 81; 56 + 23 + 62 = 48 then 56 + 26 + 32 = ?

Detailed Solution for RRB JE CBT 1 - Full Test 8 - Question 26

The pattern followed is:

95 + 65 + 23 = 81

9 × 5 + 6 × 5 + 2 × 3 → 45 + 30 + 6 = 81

Similarly;

56 + 23 + 62 = 48

5 × 6 + 2 × 3 + 6 × 2 → 30 + 6 + 12 = 48

Similarly;

56 + 26 + 32 = ?

5 × 6 + 2 × 6 + 3 × 2 → 30 + 12 + 6 = 48

Hence, 48 is the correct answer.

RRB JE CBT 1 - Full Test 8 - Question 27

The product of HCF and LCM of two numbers is 2535. The smaller number is 60% of the larger number. Find the difference of between the numbers.

Detailed Solution for RRB JE CBT 1 - Full Test 8 - Question 27

Let the first number be 5a.

So, the second number = 60% of 5a = 3/5 × 5a = 3a

HCF × LCM = 1st no. × 2nd no.

⇒ 2535 = 5a × 3a

⇒ 2535 = 15a2

⇒ a= 169

⇒ a = 13

∴ Difference between the numbers = 5a - 3a = 2a = 2 × 13 = 26

RRB JE CBT 1 - Full Test 8 - Question 28

By which process water comes out of leaves in the form of vapor?

Detailed Solution for RRB JE CBT 1 - Full Test 8 - Question 28
  • Water comes out of leaves in the form of vapour by the process of transpiration.
  • Evaporation occurs on the surface of a liquid when it changes into gaseous phase before reaching its boiling point.
  • Condensation is the change of the physical state of matter from gas to liquid.
  • Sublimation is the direct transition of a substance from solid to the gas phase.
RRB JE CBT 1 - Full Test 8 - Question 29

The Protozoa which is responsible for dysentery is ______

Detailed Solution for RRB JE CBT 1 - Full Test 8 - Question 29
  • Dysentery is a disease which affect the small intestine of a human being.
  • It includes the severe diarrhea and abdominal pain.
  • It is caused by a parasite which is known as Entamoeba histolytica.
  • It is an inflammatory disease which causes inflammation in the small intestine.

 

RRB JE CBT 1 - Full Test 8 - Question 30

Which of the following is not a programming language?

Detailed Solution for RRB JE CBT 1 - Full Test 8 - Question 30

Linux is an operating system, not a programming language. It is a free & open-source operating system.

View more questions
Information about RRB JE CBT 1 - Full Test 8 Page
In this test you can find the Exam questions for RRB JE CBT 1 - Full Test 8 solved & explained in the simplest way possible. Besides giving Questions and answers for RRB JE CBT 1 - Full Test 8, EduRev gives you an ample number of Online tests for practice
Download as PDF