SSC CGL Exam  >  SSC CGL Tests  >  MCQ: Compound Interest - 3 - SSC CGL MCQ

MCQ: Compound Interest - 3 - SSC CGL MCQ


Test Description

15 Questions MCQ Test - MCQ: Compound Interest - 3

MCQ: Compound Interest - 3 for SSC CGL 2026 is part of SSC CGL preparation. The MCQ: Compound Interest - 3 questions and answers have been prepared according to the SSC CGL exam syllabus.The MCQ: Compound Interest - 3 MCQs are made for SSC CGL 2026 Exam. Find important definitions, questions, notes, meanings, examples, exercises, MCQs and online tests for MCQ: Compound Interest - 3 below.
Solutions of MCQ: Compound Interest - 3 questions in English are available as part of our course for SSC CGL & MCQ: Compound Interest - 3 solutions in Hindi for SSC CGL course. Download more important topics, notes, lectures and mock test series for SSC CGL Exam by signing up for free. Attempt MCQ: Compound Interest - 3 | 15 questions in 15 minutes | Mock test for SSC CGL preparation | Free important questions MCQ to study for SSC CGL Exam | Download free PDF with solutions
MCQ: Compound Interest - 3 - Question 1

Ankush invested a sum of Rs. 5000 at compound interest with rates of interest in the first, second and third years being 10%, 20% and 15%, respectively. Amit invested the same sum at compound interest with rates of interest in the first, second and third years being 5%, 10% and 20%, respectively. What is the difference (in Rs.) between the interest obtained by both of them?

Detailed Solution for MCQ: Compound Interest - 3 - Question 1

As the sum of money is the same
Difference between the interest = Difference between the amount


Hence, option D is correct.

MCQ: Compound Interest - 3 - Question 2

Sujata lent out a sum of Rs. 60,000 at the rate of 20% p.a. for 2 years at compound interest. How much more interest she would have earned had she charged the interest half-yearly?

Detailed Solution for MCQ: Compound Interest - 3 - Question 2

R = 20% and Time = 2

Half-yearly



Difference = (46.41% − 44%) of 60,000 = Rs. 1446

MCQ: Compound Interest - 3 - Question 3

The difference between the simple interest and the compound interest at the rate of 33.33% p.a. for 2 years is Rs. 3600. If 2/3rd of this sum is invested at 15% p.a. compound interest for 2 years, what will be the interest (in Rs.) obtained?

Detailed Solution for MCQ: Compound Interest - 3 - Question 3

Difference between the CI and SI

Initial sum = 3 × 3 × 3600 = 32,400

Hence, option B is correct.

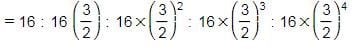
MCQ: Compound Interest - 3 - Question 4

A sum is invested at compound interest of 50% p.a. for four years. The sum of the amount of interest obtained in the first and third years is what percent of the sum of the amount of interest obtained in the second and fourth years?

Detailed Solution for MCQ: Compound Interest - 3 - Question 4

Amount at the end of the first, second, third, and fourth years be A1, A2, A3, A4
Let the sum be 16
Principal : A1 : A2 ; A3 : A4

= 16 : 24 : 36 : 54 : 81
The ratio of interest = 24 – 16 : 36 – 24 : 54 – 36 : 81 – 54 = 8 : 12 : 18 : 27

Hence, option D is correct.

MCQ: Compound Interest - 3 - Question 5

A sum of money becomes 8 times of itself in 3 years at a certain rate of interest per annum compounded annually. How many times of itself will the same sum of money become at the same rate in 7.5 years?

Detailed Solution for MCQ: Compound Interest - 3 - Question 5


R = 100%


P × 26 × 3
= 192 P
So, the sum will become 192 times itself in 7.5 years
Hence, option A is correct.

MCQ: Compound Interest - 3 - Question 6

What will be the difference between the compound interest and simple interest on a sum of Rs. 24,000 at the rate of 20% p.a. for 3 years?

Detailed Solution for MCQ: Compound Interest - 3 - Question 6

 

Alternate solution:-


CI in three years

SI in 3 years = 20 × 3 = 60%
Difference = 72.8 – 60 = 12.8%
12.8% of 24,000 = (12.5 + 0.3)% of 24,000

Hence, option D is correct.

MCQ: Compound Interest - 3 - Question 7

A sum of money becomes 172% of itself in 4 years when the rate of interest is different in different years. The interest obtained in the first, second, third and fourth years are in A.P. If the rate of interest in the first year is 12%, what is the rate of interest for the third year?

Detailed Solution for MCQ: Compound Interest - 3 - Question 7


Hence, option D is correct.

MCQ: Compound Interest - 3 - Question 8

Seema invested Rs. 4800 at compound interest of 50% p.a. for 3 years. Pooja invested Rs. x% of 4800 at 150% p.a. compound interest for 3 years. If Pooja got Rs. 300 more interest than Seema, what is the value of x?

Detailed Solution for MCQ: Compound Interest - 3 - Question 8



Interest received by Pooja = 11,400 + 300 = 11,700



x% of 4800 = 800
x = 16.67%
Hence, option A is correct.

MCQ: Compound Interest - 3 - Question 9

A sum becomes 184% of itself in four years when the rate of compound interest was different for different years. The rate of interest in the fourth year was 14.28% p.a. and the amount of interest in the second, third and fourth years was the same. If the interest of the first year was Rs. 450, what was the value (in Rs.) of the sum?

Detailed Solution for MCQ: Compound Interest - 3 - Question 9
  • The amount after 4 years is 1.84P.
  • The rate for the fourth year (r4) is 1/7 = 14.28%.
  • The interest amounts for years 2 and 3 are the same.
  • The interest for the first year (I1) is Rs. 450.
  1. Interest Calculations:
  • The interest for the first year: I1 = P x r1 = 450.
  • The interest for the second year: I2 = P x (1 + r1) x r2.
  • The interest for the third year: I3 = P x (1 + r1)(1 + r2) x r3.
  • The interest for the fourth year: I4 = P x (1 + r1)(1 + r2)(1 + r3) x r4.
  1. Equating Interests:

Given I2 = I3 = I4, we derived the rates for the 1st, 2nd, and 3rd years:

  • r3 = 16.67% (approximately).
  1. Total Amount Calculation:
  • The equation for the total amount is: (1 + r1)(1 + r2)(1 + r3)(1 + r4) = 1.84.
  • Solving for r1, r2, r3, r4 shows r4 = 1/7 = 14.28%.
  1. Principal Calculation:
  • Using I1 = P x r1 = 450: P = 450 / 0.15 = 3000.

Verification of the amounts and interests confirms the calculations. The principal sum is Rs. 3000.

MCQ: Compound Interest - 3 - Question 10

A sum of Rs. 1600 is invested at compound interest for 4 years with different rates of interest for different years. The sum increased by 20% in the first year, 100% in the third year and 25% in the fourth year. If the total interest is 275% of the sum of money invested, what is the sum (in Rs.) of the total interest of the second and third years?

Detailed Solution for MCQ: Compound Interest - 3 - Question 10

Let principal = P, Amount at the end of first, second, third and fourth year be P, A1, A2, A3 and A4
P : A1 = 100 : 120
A2 : A3 : A4 = 50 : 100 : 125
P : A4 = 100 : 375
P : A1 : A2 : A3 : A4 = 100 : 120 : 150 : 300 : 375
Sum of interest in second and third year

Hence, option A is correct.

MCQ: Compound Interest - 3 - Question 11

Jeevan borrowed a loan of Rs. 32,000 at a compound interest of 12.5% p.a. for the first 2 years and 10% p.a. for the next 2 years. If he paid Rs. 15,500 at the end of two years, how much interest (in Rs.) he paid in four years?

Detailed Solution for MCQ: Compound Interest - 3 - Question 11

Amount after two years

Amount paid = 15,500
Amount remaining = 40,500 – 15,500 = 25,000
Amount paid at the end of four years

Total interest paid = 15,500 + 30,250 – 32,000 = 13,750
Hence, option A is correct.

MCQ: Compound Interest - 3 - Question 12

A sum of money is invested at compound interest for four years when rates of interest for the first, second, third and fourth years are 5%, 8.33%, 14.29% and 11.11%, respectively. If the interest obtained is Rs. 920, what is the value (in Rs.) of the sum invested?

Detailed Solution for MCQ: Compound Interest - 3 - Question 12

Let sum = P



P = 2070
Hence, option A is correct.

MCQ: Compound Interest - 3 - Question 13

A sum is lent out at the rate of r% p.a. compound interest for 3 years. The amount of interest obtained in the third year is 116.67% of that in the second year. The amount at the end of the third year is what percent more than the amount at the end of the first year?

Detailed Solution for MCQ: Compound Interest - 3 - Question 13

Interest in the third year : Interest in the second year = 7 : 6






Hence, option D is correct.

MCQ: Compound Interest - 3 - Question 14

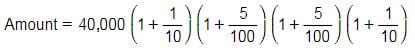
A sum of Rs. 40,000 is deposited in a scheme which gives a return of 10% p.a. compound interest for 3 years. The interest is compounded yearly for the first and third years and half-yearly for the second year. What is the amount of interest (in Rs.) obtained at the end of the third year?

Detailed Solution for MCQ: Compound Interest - 3 - Question 14

P = 40,000

Amount = 11 × 21 × 21 × 11 = Rs. 53,361
Interest = 53,361 – 40,000 = 13,361
Hence, option B is correct.

MCQ: Compound Interest - 3 - Question 15

A sum becomes 150% of itself in 4 years when the rate of compound interest is different in different years. The interest obtained in each particular year is the same. If the rate of interest per annum for the second year is x% and that for the fourth year is y%, what is the value of x : y?

Detailed Solution for MCQ: Compound Interest - 3 - Question 15

Total interest = 50%

Let principal = P, Amount at the end of the first, second, third and fourth year be P, A1, A2, A3 and A4
P : A1 : A2 : A3 : A4 = 100 : 112.5 : 125 : 137.5 : 150 = 8 : 9 : 10 : 11 : 12
Rate of interest in Second year : Fourth year

Reqd. ratio = 11 : 9
Hence, option A is correct.

Information about MCQ: Compound Interest - 3 Page
In this test you can find the Exam questions for MCQ: Compound Interest - 3 solved & explained in the simplest way possible. Besides giving Questions and answers for MCQ: Compound Interest - 3, EduRev gives you an ample number of Online tests for practice
Download as PDF