SSC CGL Exam  >  SSC CGL Tests  >  Quantitative Aptitude for SSC CGL  >  MCQ: Partnership - 1 - SSC CGL MCQ

MCQ: Partnership - 1 - SSC CGL MCQ


Test Description

10 Questions MCQ Test Quantitative Aptitude for SSC CGL - MCQ: Partnership - 1

MCQ: Partnership - 1 for SSC CGL 2026 is part of Quantitative Aptitude for SSC CGL preparation. The MCQ: Partnership - 1 questions and answers have been prepared according to the SSC CGL exam syllabus.The MCQ: Partnership - 1 MCQs are made for SSC CGL 2026 Exam. Find important definitions, questions, notes, meanings, examples, exercises, MCQs and online tests for MCQ: Partnership - 1 below.
Solutions of MCQ: Partnership - 1 questions in English are available as part of our Quantitative Aptitude for SSC CGL for SSC CGL & MCQ: Partnership - 1 solutions in Hindi for Quantitative Aptitude for SSC CGL course. Download more important topics, notes, lectures and mock test series for SSC CGL Exam by signing up for free. Attempt MCQ: Partnership - 1 | 10 questions in 10 minutes | Mock test for SSC CGL preparation | Free important questions MCQ to study Quantitative Aptitude for SSC CGL for SSC CGL Exam | Download free PDF with solutions
MCQ: Partnership - 1 - Question 1

Rahul and Bharti are partners in a business. Rahul contributes 1/4th capital for 15 months and Bharti received 2/3 of profit. For how long Bharti money was used?

Detailed Solution for MCQ: Partnership - 1 - Question 1

Given:

  • Rahul contributes 1/4​ of the capital for 15 months.
  • Bharti receives 2/3 of the profit.
  • We need to find how long Bharti's money was used.

Step 1: Calculate Rahul's capital-time product

Rahul’s capital-time product = 1/4 × 15 =15/4

Step 2: Profit-sharing ratio

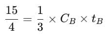
The profit is shared in proportion to the capital-time product. Since Bharti receives 2/3​ of the profit, her capital-time product must be 2/3​ of the total. Thus:

Step 3: Set up the equation for Bharti’s capital-time product

Let Bharti’s capital-time product be C× tB​. From the ratio, we have:

Multiply both sides by 3:

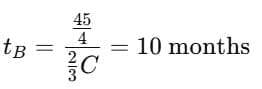
Step 4: Solve for tB

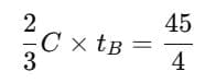
Since Bharti's capital is 2/3 of the total capital, we substitute 2/3C for Bharti's capital:

Now solve for tB​:

Bharti’s money was used for 10 months.

MCQ: Partnership - 1 - Question 2

P and Q start a business with an investment of ₹ 28000 and ₹ 42000 respectively. P invests for 8 months and Q invests for one year.If the total profit at the end of the year is ₹ 21125, then what is the share of P?

Detailed Solution for MCQ: Partnership - 1 - Question 2

Given, Investment of P = Rs.28000
Duration of P = 8 months
Hence,
Total investment amount of P = Rs.28000 x 8
Investment of Q = Rs.42000
Duration of Q = 12 months
Hence, Total investment amount of Q = Rs.42000 x 12

Ratio of profits = Ratio of investments 
Given, Total profit = Rs.21125

MCQ: Partnership - 1 - Question 3

K, L and M invest sum in the ratio of 15 : 20 : 27 respectively. If they earned total profit of ₹ 10230 at the end of year, then what is the difference between share of K and L?

Detailed Solution for MCQ: Partnership - 1 - Question 3

Ratio of investments = Ratio of profits
Let the profits of K, L and M be Rs.15x, Rs.20x and Rs.27x respectively....
Total profit = Rs.15x+Rs.20x+Rs.27x = Rs.62x
Given, Rs.62x = Rs.10230 => x = Rs.165
Then, The difference between share of K and L = Rs.20x – Rs.15x = Rs.5x = Rs.5*165 = Rs.825...

MCQ: Partnership - 1 - Question 4

A and B starts a business with investment of ₹ 28000 and ₹ 42000 respectively. A invests for 8 months and B invests for one year.If the total profit at the end of year is ₹ 21125, then what is the share of B?

Detailed Solution for MCQ: Partnership - 1 - Question 4

Investment of A = Rs.28000
Duration of A = 8 months
Total investment of A = Rs.28000 × 8
Investment of B = Rs.42000
Duration of B = 12 months
Total investment of B = Rs.42000 × 12
Ratio of profits = Ratio of investments 
Therefore, Profit of B 

MCQ: Partnership - 1 - Question 5

A and B started a partnership business investing in the ratio of 3 : 8. C joined them after 4 months with an amount equal to 3/4th of B. What was their profit (in Rs) at the end of the year if C got Rs 24,000 as his share?

Detailed Solution for MCQ: Partnership - 1 - Question 5

Let the investment of A and B be 3x and 8x
Investment of C = (3/4)8x = 6x
Ratio of their profits will be 3x*12:8x*12:6x*8...
= 3:8:4
C’s share = 24000
(4/15)*x = 24000
x = 90000...

MCQ: Partnership - 1 - Question 6

X and Y started a business by investing Rs 171000 and Rs 243000 respectively. If X’s share in the profit earned at the end of year is Rs 3800, then what will be the total profit (in Rs) earned by them together?

Detailed Solution for MCQ: Partnership - 1 - Question 6

Investment by X = Rs. 171,000 and by Y = Rs. 243,000
=> Ratio of profits at the end of year
X’s share in the profit = Rs. 3800


=> Ans – (A)

MCQ: Partnership - 1 - Question 7

A, B and C invest ₹14000, ₹18000 and ₹24000 respectively to start a business. If the profit at the end of the year is ₹25480, then what is total share of A and B?

Detailed Solution for MCQ: Partnership - 1 - Question 7

Ratio of profits = Ratio of investments = 14000 : 18000 : 24000 = 7 : 9 : 12
Let the profit of A, B and C be Rs.7x, Rs.9x, Rs.12x respectively.
Total profit = 7x+9x+12x = Rs.28x
Given, 28x = 25480
Therefore, Profit of A and B together = Rs.7x+9x = Rs.16x

MCQ: Partnership - 1 - Question 8

Teena, Reena and Sheena start a business with investment of respectively ₹ 24000, ₹ 28000 and ₹ 20000. Teena invests for 8 months, Reena invest for 10 months and Sheena invests for one year. If the total profit at the end of year is ₹ 25810, then what is the share of Teena?

Detailed Solution for MCQ: Partnership - 1 - Question 8

Investment of Teena = Rs.24000
Duration of Teena = 8 months
Total investment of Teena = Rs.24000 x 8
Investment of Reena = Rs.28000
Duration of Reena = 10 months
Total investment of Reena = Rs.28000 x 10
Investment of Sheena = Rs.20000
Duration of Sheena = 12 months
Total investment of Sheena
Ratio of profits = Ratio of investments = ...


Given, Total profit = Rs.25810...

MCQ: Partnership - 1 - Question 9

Sumit, Ravi and Puneet invest ₹ 45000, ₹ 81000 and ₹ 90000 respectively to start a business. At the end of the year the total profit is ₹ 4800. 30% of the total profit gives in charity and rest is divided among them. What will be the share of Sumit?

Detailed Solution for MCQ: Partnership - 1 - Question 9

Investment of Sumit = Rs.45000
Duration of Sumit = 1 year
Investment of Ravi = Rs.81000
Duration of Sumit = 1 year
Investment of Puneet = Rs.90000
Duration of Puneet = 1 year
Ratio of profits = Ratio of investments...


Given, Total profit = Rs.4800 30% of total profit donated to charity
Amount donated to charity = 30% of Rs.4800 = Rs.1440...
Remaining amount = Rs.4800-1440 = Rs.3360
Let the profits of Sumit, Ravi and Puneet be Rs.5x, Rs.9x and Rs.10x respectively....
Total profit = Rs.5x+9x+10x = Rs.24x...
Given, 24x = 3360 => x = 140 Therefore, Profit of Sumit = 5x = 5*140 = Rs.700.

MCQ: Partnership - 1 - Question 10

A and B invest in a business in the ratio 4 : 5. After 10 months B leaves the business after withdrawing his investment. In the first year the business made a profit of Rs 49,000. What is B’s share (in Rs) of this profit?

Detailed Solution for MCQ: Partnership - 1 - Question 10

let the investments made by A and B be 4x and 5x ratio of their profits is 4x*12+5x*10=48x:50x =24:25
B’s share (25/49)*49000 = Rs 25000

319 videos|366 docs|156 tests
Information about MCQ: Partnership - 1 Page
In this test you can find the Exam questions for MCQ: Partnership - 1 solved & explained in the simplest way possible. Besides giving Questions and answers for MCQ: Partnership - 1, EduRev gives you an ample number of Online tests for practice
Download as PDF