JEE Exam  >  JEE Tests  >  Test: Elementary Operations - JEE MCQ

Test: Elementary Operations - JEE MCQ


Test Description

5 Questions MCQ Test - Test: Elementary Operations

Test: Elementary Operations for JEE 2025 is part of JEE preparation. The Test: Elementary Operations questions and answers have been prepared according to the JEE exam syllabus.The Test: Elementary Operations MCQs are made for JEE 2025 Exam. Find important definitions, questions, notes, meanings, examples, exercises, MCQs and online tests for Test: Elementary Operations below.
Solutions of Test: Elementary Operations questions in English are available as part of our course for JEE & Test: Elementary Operations solutions in Hindi for JEE course. Download more important topics, notes, lectures and mock test series for JEE Exam by signing up for free. Attempt Test: Elementary Operations | 5 questions in 10 minutes | Mock test for JEE preparation | Free important questions MCQ to study for JEE Exam | Download free PDF with solutions
Test: Elementary Operations - Question 1

To check whether the matrix B is an inverse of matrix A, we need to check whether​

Detailed Solution for Test: Elementary Operations - Question 1

An n×n matrix A is said to be invertible if there exists an n×n matrix B such that AB=I, and BA=I, where I is the n×n identity matrix.
If such a matrix B exists, then it is known to be unique and called the inverse matrix of A, denoted by A−1.

Test: Elementary Operations - Question 2

The inverse of a matrix is defined for

Detailed Solution for Test: Elementary Operations - Question 2

The inverse exists only for square matrix. However this is not true. A nonsingular matrix must have their inverse whether it is square or nonsquare matrix.

Test: Elementary Operations - Question 3

The inverse of   is

Detailed Solution for Test: Elementary Operations - Question 3

A = IA
AA-1 = I
A = {(1,0),(-1,1)}
A-1{(1,0),(-1,1)} =  {(1,0),(0,1)}
R2 ----> R2 + R1
A^-1 {(1,0),(0,1)} = {(1,0),(1,1)}
I A-1 = {(1,0),(1,1)}
Therefore, A-1 = {(1,0),(1,1)}

Test: Elementary Operations - Question 4

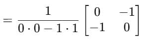
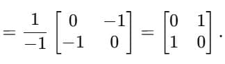
The inverse of   is

Detailed Solution for Test: Elementary Operations - Question 4

So, option (b) is the correct answer.

Test: Elementary Operations - Question 5

If a matrix B is obtained from matrix A by an elementary row or column transformation then B is said to be ______ of A​

Detailed Solution for Test: Elementary Operations - Question 5

ANSWER :- a

Solution :- Matrix equivalence is an equivalence relation on the space of rectangular matrices.

For two rectangular matrices of the same size, their equivalence can also be characterized by the following conditions

  • The matrices can be transformed into one another by a combination of elementary row and column operations.

If a matrix B is obtained from matrix A by an elementary row or column transformation then B is said to be equivalent of A.​

Information about Test: Elementary Operations Page
In this test you can find the Exam questions for Test: Elementary Operations solved & explained in the simplest way possible. Besides giving Questions and answers for Test: Elementary Operations, EduRev gives you an ample number of Online tests for practice
Download as PDF