Electrical Engineering (EE) Exam  >  Electrical Engineering (EE) Tests  >  Network Theory (Electric Circuits)  >  Test: Super Mesh Analysis - Electrical Engineering (EE) MCQ

Test: Super Mesh Analysis - Electrical Engineering (EE) MCQ


Test Description

10 Questions MCQ Test Network Theory (Electric Circuits) - Test: Super Mesh Analysis

Test: Super Mesh Analysis for Electrical Engineering (EE) 2026 is part of Network Theory (Electric Circuits) preparation. The Test: Super Mesh Analysis questions and answers have been prepared according to the Electrical Engineering (EE) exam syllabus.The Test: Super Mesh Analysis MCQs are made for Electrical Engineering (EE) 2026 Exam. Find important definitions, questions, notes, meanings, examples, exercises, MCQs and online tests for Test: Super Mesh Analysis below.
Solutions of Test: Super Mesh Analysis questions in English are available as part of our Network Theory (Electric Circuits) for Electrical Engineering (EE) & Test: Super Mesh Analysis solutions in Hindi for Network Theory (Electric Circuits) course. Download more important topics, notes, lectures and mock test series for Electrical Engineering (EE) Exam by signing up for free. Attempt Test: Super Mesh Analysis | 10 questions in 30 minutes | Mock test for Electrical Engineering (EE) preparation | Free important questions MCQ to study Network Theory (Electric Circuits) for Electrical Engineering (EE) Exam | Download free PDF with solutions
Test: Super Mesh Analysis - Question 1

For the circuit of the given figure, the value of current I is

Detailed Solution for Test: Super Mesh Analysis - Question 1


Test: Super Mesh Analysis - Question 2

Find the current i3 in the circuit shown below.
Find the current i1 in the given circuit

Detailed Solution for Test: Super Mesh Analysis - Question 2

For 2nd loop, 10 + 2(i- i3) + 3(i- i1) = 0. For 3rd loop, i3 + 2(i- i2) = 10. As i= 10A, On solving above equations, we get i= 8.18A.

Test: Super Mesh Analysis - Question 3

Find the current i1 in the circuit shown below.
Find the current i1 in the given circuit

Detailed Solution for Test: Super Mesh Analysis - Question 3

The current in the first loop is equal to 10A. So the current i1 in the circuit is i1 = 10A.

Test: Super Mesh Analysis - Question 4

Consider the circuit shown below. Find the current I2 (A).
The current I1 (A) is -3 in the circuit

Detailed Solution for Test: Super Mesh Analysis - Question 4

Applying Super mesh analysis, the equations will be I+ I+ 10 + I+ I= 0.
I+ I= -5. I- I= 1.
On solving, I= -2A.

Test: Super Mesh Analysis - Question 5

Consider the circuit shown below. Find the current I2 (A).
Find the current I1 (A) in the circuit

Detailed Solution for Test: Super Mesh Analysis - Question 5

Applying Super mesh analysis, the equations will be I- I= 2
-10 + 2I+ I+ 4 = 0.
On solving the above equations, I= 3.33A.

Test: Super Mesh Analysis - Question 6

Find the current I1 in the circuit shown below.

Detailed Solution for Test: Super Mesh Analysis - Question 6

Applying KCL at junction A:
i3 = i1 + i2

Applying Kirchhoff’s voltage law for the loop ABCDA:
– 30 i1 – 40 i3 + 40 = 0
⇒ – 30 i1 – 40 (i1 + i2) + 40 = 0
⇒ 7 i1 + 4 i2 = 4

Applying Kirchhoff’s voltage law for the loop ADEFA:
– 40 i2 – 40 i3 + 80 + 40 = 0
⇒ – 40 i2 – 40 (i1 + i2) = – 120
⇒ i1 + 2 i2 = 3

On solving the two linear equations
 7 i1 + 4 i2 = 4
 i1 + 2 i2 = 3
we get
i1 = – 0.44 A.

Test: Super Mesh Analysis - Question 7

Find the current i2 in the circuit shown below.
Find the current i1 in the given circuit

Detailed Solution for Test: Super Mesh Analysis - Question 7

For 2nd loop, 10 + 2(i- i3) + 3(i- i1) = 0. For 3rd loop, i3 + 2(i- i2) = 10.
As i= 10A, On solving above equations, we get i= 7.27A.

Test: Super Mesh Analysis - Question 8

Find the power (W) supplied by the voltage source in the following figure.
The current I1 (A) is -3 in the circuit

Detailed Solution for Test: Super Mesh Analysis - Question 8

I- I= 2.
As I= -2A, I= 0A.
Th term power is the product of voltage and current. So, power supplied by source = 10 × 0 = 0W.

Test: Super Mesh Analysis - Question 9

Consider the circuit shown below. Find the current I1 (A).
The current I1 (A) is -3 in the circuit

Detailed Solution for Test: Super Mesh Analysis - Question 9

Applying Super mesh analysis, the equations will be I+ I+ 10 + I+ I= 0.
I+ I= -5.
I- I= 1.
On solving, I= -3A.

Test: Super Mesh Analysis - Question 10

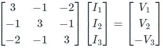
I1, I2 and I3 in the figure below are mesh currents. The correct set of mesh equation for these currents, in matrix form, is _______

Detailed Solution for Test: Super Mesh Analysis - Question 10

By applying mesh analysis in loop 1,

-V1 + (I– I2) + 2(I– I3) = 0

⇒ 3I1 – I2 – 2I3 = V1

By applying mesh analysis in loop 2,

(I– I1) – V2 + I2 + (I– I3) = 0

⇒ -I1 + 3 I2 – I3 = V2

By applying mesh analysis in loop 3,

2(I– I1) + (I– I2) + V3 = 0

⇒ -2I1 – I2 + 3I3 = -V3

By representing all the mesh equations in the matrix form, we get

74 videos|139 docs|62 tests
Information about Test: Super Mesh Analysis Page
In this test you can find the Exam questions for Test: Super Mesh Analysis solved & explained in the simplest way possible. Besides giving Questions and answers for Test: Super Mesh Analysis, EduRev gives you an ample number of Online tests for practice
Download as PDF