JEE Exam  >  JEE Tests  >  UGEE SUPR Mock Test-2 - JEE MCQ

UGEE SUPR Mock Test-2 - JEE MCQ


Test Description

30 Questions MCQ Test - UGEE SUPR Mock Test-2

UGEE SUPR Mock Test-2 for JEE 2025 is part of JEE preparation. The UGEE SUPR Mock Test-2 questions and answers have been prepared according to the JEE exam syllabus.The UGEE SUPR Mock Test-2 MCQs are made for JEE 2025 Exam. Find important definitions, questions, notes, meanings, examples, exercises, MCQs and online tests for UGEE SUPR Mock Test-2 below.
Solutions of UGEE SUPR Mock Test-2 questions in English are available as part of our course for JEE & UGEE SUPR Mock Test-2 solutions in Hindi for JEE course. Download more important topics, notes, lectures and mock test series for JEE Exam by signing up for free. Attempt UGEE SUPR Mock Test-2 | 50 questions in 60 minutes | Mock test for JEE preparation | Free important questions MCQ to study for JEE Exam | Download free PDF with solutions
UGEE SUPR Mock Test-2 - Question 1

A beam of fast moving alpha particles were directed towards a thin film of gold. The parts A, B and C of the transmitted and reflected beams corresponding to the incident parts A, B and C of the beam are shown in the adjoining diagram. The number of alpha particles in

Detailed Solution for UGEE SUPR Mock Test-2 - Question 1

(*) According to Rutherford's α-particles scattering experiment, following observations are made
(i) Most of the α-particles passed through the gold foil undeflected.
(ii) Only about 0.14% of the incident α-particles scattered by an angle greater than 1°.
(iii) About one α-particle in every 8000 α-particles deflects by angle more than 90°.
So, from above observation, we can conclude about the number of α-particle in given figure as,
nA' > nC' > nB' 
i.e., number of a-particle will be maximum in A' and minimum in B'.
No given option is correct.

UGEE SUPR Mock Test-2 - Question 2

During a ß-decay

Detailed Solution for UGEE SUPR Mock Test-2 - Question 2

The process of ß- decay is shown below

Thus, in this decay a neutron inside the nucleus decays into a proton with the emission of an electron e- and a particle called anti-neutrino (S').

UGEE SUPR Mock Test-2 - Question 3

A radio-active elements has half-life of 15 years. What is the fraction that will decayin 30 years?

Detailed Solution for UGEE SUPR Mock Test-2 - Question 3

Given, half-life, T1/2 = 15 years
Time, t = 30 years
∴ Number of half-life, n = t/T = 30/15 = 2
The number of nuclei left undecayed in 30 years
or 2 half-lives is

:. Fraction of decayed element 
= 3/4 or 0.75

UGEE SUPR Mock Test-2 - Question 4

In the following circuit what are P and Q

Detailed Solution for UGEE SUPR Mock Test-2 - Question 4

The given circuit is as shown

The truth table for P can be shown as

The truth table for Q can be shown as

Thus, Q is 1 for any value of P. So, the values satisfying given condition are,
P = 0, Q = 1

UGEE SUPR Mock Test-2 - Question 5

Two long straight parallel wires are a distance d part. They carry steady equal currents flowing out of the plane of the paper. The variation of magnetic field B along the line xx' is given by

Detailed Solution for UGEE SUPR Mock Test-2 - Question 5

The magnetic field in between because of each will be in opposite direction.

UGEE SUPR Mock Test-2 - Question 6

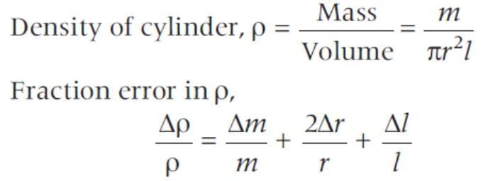
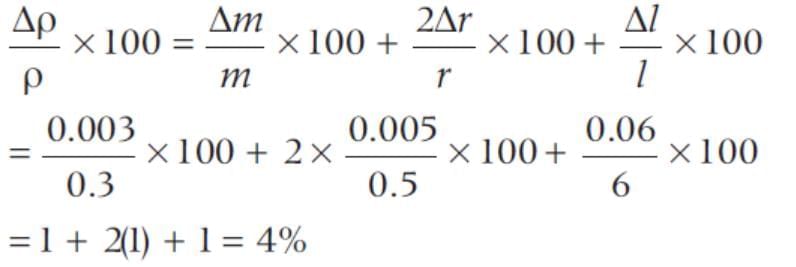
A cylindrical wire has a mass (0.3 ± 0.003)g, radius (0.5±0.005) mm and length (6 ± 0.06)cm. The maximum percentage error in the measurement of its density is

Detailed Solution for UGEE SUPR Mock Test-2 - Question 6

Given, mass, m (0.3 ± 003) g
Radius, r = (0.5 ± 0.005) mm
Length, I = (6 ± 0.06) cm

Percentage error in ρ,

UGEE SUPR Mock Test-2 - Question 7

At a metro station, a girl walks up a stationary escalator in 20s. If she remains stationary on the escalator, then the escalator take her upin 30 s. The time taken by her to walk up on the moving escalator will be

Detailed Solution for UGEE SUPR Mock Test-2 - Question 7

Let h be the height of platform, then speed of walking (vg) = h/20
Speed of escalator (ve) = h/30
Time taken by girl when she walk up on the movin escalator is

UGEE SUPR Mock Test-2 - Question 8

Rain is falling vertically with a speed of 12 ms-1. A woman rides a bicycles with aspeed of 12 ms-1 in east to west direction.What is the direction in which she shouldhold her umbrella?

Detailed Solution for UGEE SUPR Mock Test-2 - Question 8

The woman is riding a bicycle at a speed of 12 ms-1 from east to west.

The rain is falling vertically at the same speed of 12 ms-1.

To determine the direction in which she should hold her umbrella, consider the relative velocity of the rain:

  • The horizontal component of the rain's velocity is towards the east at 12 ms-1 (opposite the woman's direction).
  • The vertical component is 12 ms-1 downwards.

Using these components, the resultant direction of the rain can be calculated:

  • The angle can be determined using trigonometry: tan-1(12/12) = 45°.
  • Thus, she should hold her umbrella at 45° towards the west.
UGEE SUPR Mock Test-2 - Question 9

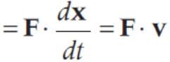
One end of a string of length I is connected to a particle of mass m and the other to a small peg on a smooth horizontal table. If the particle moves in a circle with speed v, the net force on the particle (directed towards the centre) is (T is the tension in the string)

Detailed Solution for UGEE SUPR Mock Test-2 - Question 9

(a) Consider a string of length I connected to a particle as shown in figure

As the particle is moving with velocity v in uniform circular motion, so the net force must be equal to the centripetal force, which is provided by the tension in the string.
∴ Net force = Centripetal force (FC)
= Tension in string (T)
⇒ 

UGEE SUPR Mock Test-2 - Question 10

A body is initially at rest. It undergoes one-dimensional motion with constant acceleration. The power delivered to it at time t is proportional to

Detailed Solution for UGEE SUPR Mock Test-2 - Question 10

Let in time t, the body will acquire a velocity of v from rest.
As, power (P) = rate of doing work = dW/dt

For motion in one dimension,
P = Fv cos 0° = Fv   .....(i)
From first equation of motion,
v = u + at
v = at   ...(ii)  (∵ u = 0)
From Eqs. (i) and (ii), we get
P = F × at = ma × at ...(ii)     (∵ u = 0)
= ma2 t
As ma2 is constant.
so, P ∝ t

UGEE SUPR Mock Test-2 - Question 11

A thin uniform rectangular plate of mass 2 kg is placed in xy-plane as shown in figure.
The moment of inertial about x-axis is Ix = 0.2 kgm2 and the moment of inertia about Y-axis is ly = 0.3 kgm2. The radius of gyration of the plate about the axis passing through O and perpendicular to the plane of the plate is

Detailed Solution for UGEE SUPR Mock Test-2 - Question 11

Given, mass, M = 2 kg
Ix = 0.2 kg -m2 
and Iy = 0.3 kg -m2
According to the perpendicular axis theorem, the moment of inertia of the rectangular plate about an axis passing through O and perpendicular to the plane of plate is
I = Ix + ly = 0.2 + 0.3
= 0.5kg m2
Also, 1 = Mk2
where, k = radius of gyration.
⇒ 

UGEE SUPR Mock Test-2 - Question 12

If 2x + 2y = 2x + y, then dy/dx is

Detailed Solution for UGEE SUPR Mock Test-2 - Question 12

UGEE SUPR Mock Test-2 - Question 13

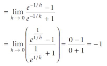
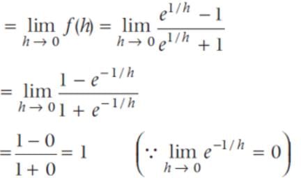
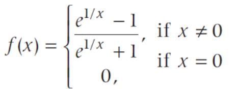
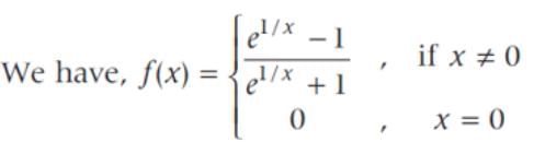
The right hand and left hand limit of the function are respectively.

Detailed Solution for UGEE SUPR Mock Test-2 - Question 13






UGEE SUPR Mock Test-2 - Question 14

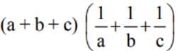
If a, b, c are positive numbers, then least value of  is

Detailed Solution for UGEE SUPR Mock Test-2 - Question 14

AM ≥ HM

UGEE SUPR Mock Test-2 - Question 15

If and  are non-zero constant vectors and the scalar b is chosen such that is minimum, then the value of is equal to

Detailed Solution for UGEE SUPR Mock Test-2 - Question 15

For minimum value = 0.
Let and   are anti-parallel so

UGEE SUPR Mock Test-2 - Question 16

Statement-I : If the general equation x2 + y2 + 2xy + 2gx + 2fy + 4 = 0 represents a pair of real lines then |g| ≥ 2.
Statement-2 : The equation ax2 + 2hxy + by2 + 2gx + 2fy+ c = 0 represents pair of real lines if abc + 2fgh - af2 - bg2 - ch2 = 0.

Detailed Solution for UGEE SUPR Mock Test-2 - Question 16

he equation represents a pair of lines if
1·1·4 + 2·f·g·1-1·f2-1·g2- 4·12 = 0
⇒ (f - g)2 = 0 ⇒ f = g
The equation becomes (x + y)2 + 2g(x + y) + 4 = 0
which represents a pair of parallel lines, which
are real provided (2g)2 - 4·4·1 ≥ 0 ⇒ |g| ≥ 2.
This confirms Statement-I is true. Statement-2 is a well-known condition for an equation to represent a pair of real lines, confirming its truth. Thus, both statements are true, and Statement-2 is not a correct explanation for Statement-1.

UGEE SUPR Mock Test-2 - Question 17

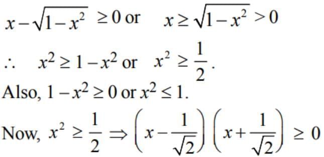
The domain of the function  is

Detailed Solution for UGEE SUPR Mock Test-2 - Question 17

For (x) to be defined, we must have

UGEE SUPR Mock Test-2 - Question 18

The number of possible outcomes in a throw of n ordinary dice in which at least one of the dice shows an odd number is

Detailed Solution for UGEE SUPR Mock Test-2 - Question 18

Total number of ways = 6 × 6 × ..... to n times = 6n.
Total number of ways to show only to even number = 3 × 3 × ........ to n times = 3n.
∴ required number of ways = 6n - 3n.

UGEE SUPR Mock Test-2 - Question 19

The sum of the infinite series  is equal to

Detailed Solution for UGEE SUPR Mock Test-2 - Question 19

UGEE SUPR Mock Test-2 - Question 20

If xy + y2 = tan x + y, then find dy/dx is

Detailed Solution for UGEE SUPR Mock Test-2 - Question 20

The given relation is xy + y2 = tan x + y.
Differentiating both sides with respect to x, we get

UGEE SUPR Mock Test-2 - Question 21

Which one of the following ions has the maximum magnetic moment?

Detailed Solution for UGEE SUPR Mock Test-2 - Question 21

Fe3+(d5) has 5 unpaired electrons therefore magnetic moment
which is maximum among given options. As Sc3+ Ti3+ , Cr3+ and V3+ contain 0, 1, 3, and 2 number of unpaired electrons respectively.

UGEE SUPR Mock Test-2 - Question 22

Aspirin is known as:

Detailed Solution for UGEE SUPR Mock Test-2 - Question 22

UGEE SUPR Mock Test-2 - Question 23

Maleic acid and fumaric acids are

Detailed Solution for UGEE SUPR Mock Test-2 - Question 23

Maleic acid and fumaric acids are geometrical isomers.

UGEE SUPR Mock Test-2 - Question 24

For which one of the processes represented by the following equations the enthalpy (heat) change is likely to be negative

Detailed Solution for UGEE SUPR Mock Test-2 - Question 24

Gaseous ions, when dissolved in water, get hydrated and heat is evolved (heat of hydration).
Cl- (g) + aq → Cl- (aq) is such reaction

UGEE SUPR Mock Test-2 - Question 25

Phosphine is not obtained by which of thefollowing reaction ?

Detailed Solution for UGEE SUPR Mock Test-2 - Question 25

Phosphine (PH3) is produced by the reaction of:

  • White phosphorus with NaOH under heat
  • Calcium phosphide with water

However, red phosphorus does not react with NaOH to produce PH3 because:

  • It is less reactive
  • It requires more stringent conditions

These stringent conditions are typically not met in this reaction.

UGEE SUPR Mock Test-2 - Question 26

What is the maximum wavelength line in the Lyman series of He+ ion?

Detailed Solution for UGEE SUPR Mock Test-2 - Question 26


UGEE SUPR Mock Test-2 - Question 27

In the reaction 2 PCl5 ⇌ + PCI+4 + PCl-6 , the change in hybridisation is from

Detailed Solution for UGEE SUPR Mock Test-2 - Question 27

UGEE SUPR Mock Test-2 - Question 28

Arrange the following ions in the order decreasing X — O bond length, where X is the central atom

Detailed Solution for UGEE SUPR Mock Test-2 - Question 28

More will be the electronegativity of X, lesser will be the bond length of X-O bond.

UGEE SUPR Mock Test-2 - Question 29

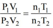
Two vessels of volumes 16.4 L and 5 L contain two ideal gases of molecular existence at the respective temperature of 27°C and 227°C and exert 1.5 and 4.1 atmospheres respectively. The ratio ofthe number of molecules of the former to that of the later is

Detailed Solution for UGEE SUPR Mock Test-2 - Question 29

According to the ideal gas law, PV = nRT, where n is the number of moles. The number of molecules is proportional to the number of moles. For the first vessel:

P₁ = 1.5 atm, V₁ = 16.4 L, T₁ = 27°C = 300 K (273 + 27)

For the second vessel:

P₂ = 4.1 atm, V₂ = 5 L, T₂ = 227°C = 500 K (273 + 227)

Using n = PV/RT, the ratio of molecules n₁/n₂ is given by:

(P₁V₁/T₁) / (P₂V₂/T₂) = (1.5 * 16.4 / 300) / (4.1 * 5 / 500)

= (0.082) / (0.041)

= 2

 

UGEE SUPR Mock Test-2 - Question 30

For the combustion reaction at 298 K
2Ag(s) + 1 / 2O2 (g) → 2Ag2O(s)
Which ofthe following alternatives is correct?
Note: Count Solid State also in this question.

Detailed Solution for UGEE SUPR Mock Test-2 - Question 30

ΔH = ΔU + ΔnRT
Δn = nP - nR

View more questions
Information about UGEE SUPR Mock Test-2 Page
In this test you can find the Exam questions for UGEE SUPR Mock Test-2 solved & explained in the simplest way possible. Besides giving Questions and answers for UGEE SUPR Mock Test-2, EduRev gives you an ample number of Online tests for practice
Download as PDF