JEE Exam  >  JEE Tests  >  UGEE SUPR Mock Test- 6 - JEE MCQ

UGEE SUPR Mock Test- 6 - JEE MCQ


Test Description

30 Questions MCQ Test - UGEE SUPR Mock Test- 6

UGEE SUPR Mock Test- 6 for JEE 2025 is part of JEE preparation. The UGEE SUPR Mock Test- 6 questions and answers have been prepared according to the JEE exam syllabus.The UGEE SUPR Mock Test- 6 MCQs are made for JEE 2025 Exam. Find important definitions, questions, notes, meanings, examples, exercises, MCQs and online tests for UGEE SUPR Mock Test- 6 below.
Solutions of UGEE SUPR Mock Test- 6 questions in English are available as part of our course for JEE & UGEE SUPR Mock Test- 6 solutions in Hindi for JEE course. Download more important topics, notes, lectures and mock test series for JEE Exam by signing up for free. Attempt UGEE SUPR Mock Test- 6 | 50 questions in 60 minutes | Mock test for JEE preparation | Free important questions MCQ to study for JEE Exam | Download free PDF with solutions
UGEE SUPR Mock Test- 6 - Question 1

At how many points between the interval (-∞, ∞) is the function f(x) = sin x is not differentiable.

Detailed Solution for UGEE SUPR Mock Test- 6 - Question 1

The function f(x) = sin x is differentiable for all x ∈ R. Therefore the number of points in the interval (-∞, ∞) where the function is not differentiable are zero.
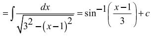
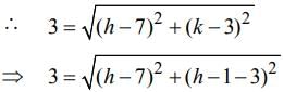
Since the circle passes through the point (7, 3), therefore, the distance of the centre from this point is the radius of the circle.

 [using (i)]
⇒ h = 7 or h = 4
For h = 7, we get k = 6 and for h = 4, we get k = 3
Hence, the circles which satisfy the given conditions are:
(x - 7)² + (y - 6)² = 9
or x² + y² - 14x + 12y + 76 = 0
and (x - 4)² + (y - 3)² = 9 or
x² + y² - 8x - 6y + 16 = 0

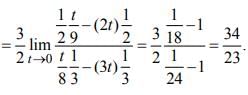
UGEE SUPR Mock Test- 6 - Question 2

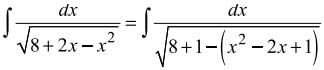
Detailed Solution for UGEE SUPR Mock Test- 6 - Question 2

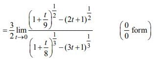
We have

Let x − 2 = t such that when x → 2, t → 0. Then


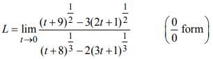
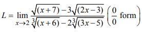
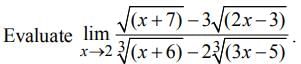
UGEE SUPR Mock Test- 6 - Question 3

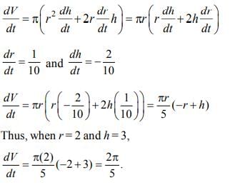
The radius of a right circular cylinder increases at the rate of 0.1 cm/min, and the height decreases at the rate of 0.2 cm/min. The rate of change of the volume of the cylinder, in cm³/min, when the radius is 2 cm and the height is 3 cm is

Detailed Solution for UGEE SUPR Mock Test- 6 - Question 3

Given V = πr2h.
Differentiating both sides, we get

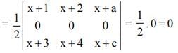
UGEE SUPR Mock Test- 6 - Question 4

If a, b, c are in A.P., then the value of 

Detailed Solution for UGEE SUPR Mock Test- 6 - Question 4

Given a, b, c are in A.P.
∴ 2b = a + c…(i)

[Applying R2 → 2R2]


[using equation (i)]

[Applying R2 → R2 - (R1 + R3)]

UGEE SUPR Mock Test- 6 - Question 5

The Solution of sin x =  is 

Detailed Solution for UGEE SUPR Mock Test- 6 - Question 5

We have, sin x = 
Hence, sin x = sin 4π/3 , which gives
x = nπ + (-1)n 4π/3 , Where n ∈ Z

UGEE SUPR Mock Test- 6 - Question 6

The equation y2 + 3 = 2(2x+y) represents a parabola with the vertex at

Detailed Solution for UGEE SUPR Mock Test- 6 - Question 6

The given equation can be rewritten as 
 which is a parabola
with its vertex  , axis along the line
y = 1, hence axis parallel tox-axis.
Its focus is 

UGEE SUPR Mock Test- 6 - Question 7

If siny = x sin(a + y), then dy/dx is equal to:

Detailed Solution for UGEE SUPR Mock Test- 6 - Question 7

UGEE SUPR Mock Test- 6 - Question 8

∫ (27e9x + e12x)1/3 dx is equal to

Detailed Solution for UGEE SUPR Mock Test- 6 - Question 8


UGEE SUPR Mock Test- 6 - Question 9

The conic represented by x = 2(cos t + sin t), y = 5(cos t − sin t) is

Detailed Solution for UGEE SUPR Mock Test- 6 - Question 9

From given equation
x/2 = cos t + sin t  ....(i) 
y/5 = cos t - sin t   ....(ii)
Eliminating t from (i) and (ii), we have
 which is an ellipse.

UGEE SUPR Mock Test- 6 - Question 10

A Fischer projection of (2R, 3S)-2,3-butanediol is: -

Detailed Solution for UGEE SUPR Mock Test- 6 - Question 10

Hint: Fischer projection is a two-dimension (2D) representation of a three-dimension (3D) organic molecule with the help of projection. These are mainly used in biochemistry and organic chemistry to represent monosaccharides.

Complete step by step solution:
Stereoisomers are the isomers having similar bonding patterns but differ in the arrangement of atoms or groups in three-dimensional space. There are two different stereoisomers for a molecule that has a centre of chirality in such cases it is expressed in terms of R and S configuration. For any pair of enantiomers with a chirality centre, one will have R configuration and the other will have the S configuration.
R stands for Rectus which is a Latin word with the meaning right, R is given to the isomer when the sequence is left to right.
S stands for Sinister another Latin word with left, S is given to the isomer if the sequence is right to left.
Also if the sequence follows the clockwise pattern it is known to be R configuration while for anticlockwise it follows S configuration. Priority sequence is decided by the sequence rules also called CIP rules.
In the case of 2,3-butanediol, the preference order according to CIP rules is:
OH>CH3>H
Now if we see the option B

seo images


In case of 2nd carbon priority of atoms is started from left to right so it follows R-configuration or on 3rd carbon priority of atoms is started from right to left so it follows S-configuration.

Thus, Fischer projection of (2R,3S)-2,3-butanediol is option (B).

Note: Chiral molecules are those molecules which are not superimposable on their mirror images. Chiral carbon is the carbon which is bonded to different atoms or groups also known by asymmetric carbon.

UGEE SUPR Mock Test- 6 - Question 11

Arrange the following particles in increasing order of values of e/m ratio: electron (e), proton (p), neutron (n) and α-particle (α) -

Detailed Solution for UGEE SUPR Mock Test- 6 - Question 11

UGEE SUPR Mock Test- 6 - Question 12

For the reaction N2 + 3H2 → 2NH3 
if  mol L−1 s−1, then value of  would be

Detailed Solution for UGEE SUPR Mock Test- 6 - Question 12



UGEE SUPR Mock Test- 6 - Question 13

The value of Kc ​for the reaction:
A + 3B ⇌ 2C at 400C is 0.5. Calculate the value of Kp

Detailed Solution for UGEE SUPR Mock Test- 6 - Question 13

Kp = Kc [RT]Δn        Δn = 2 - 4 = -2
T = 673K, Kc = 0.5,
R = 0.082 L·atm·mol-1K-1
Kp = 0.5 × (0.082 × 673)-2
= 1.64 × 10-4 atm.

UGEE SUPR Mock Test- 6 - Question 14

Tautomerism is not exhibited by

Detailed Solution for UGEE SUPR Mock Test- 6 - Question 14


UGEE SUPR Mock Test- 6 - Question 15

The electrode potentials for
Cu²⁺(aq) + e⁻ → Cu⁺(aq)
and Cu⁺(aq) + e⁻ → Cu(s)
are +0.15 V and +0.50 V, respectively.
The value of E°Cu²⁺/Cu will be:

Detailed Solution for UGEE SUPR Mock Test- 6 - Question 15





UGEE SUPR Mock Test- 6 - Question 16

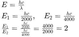
The wavelengths of two photons are 2000Å and 4000Å respectively. What is the ratio of their energies?

Detailed Solution for UGEE SUPR Mock Test- 6 - Question 16

UGEE SUPR Mock Test- 6 - Question 17

What is X in the following change?

Detailed Solution for UGEE SUPR Mock Test- 6 - Question 17

[Assuming esterification, as the reaction is unspecified]:
For a carboxylic acid converted to a methyl ester:

X is CH3 OH, H2 SO4

UGEE SUPR Mock Test- 6 - Question 18

At low pressure, the van der Waals equation is reduced to

Detailed Solution for UGEE SUPR Mock Test- 6 - Question 18

UGEE SUPR Mock Test- 6 - Question 19

A far-sighted person can see clearly object beyond 100 cm distance. If he wants to see clearly an object at 40 cm distance, then the power of the lens he shall require is

Detailed Solution for UGEE SUPR Mock Test- 6 - Question 19

For a far-sighted person with a far point at 100 cm, the required lens power to focus an object at 40 cm is calculated using the lens formula. The parameters are as follows:

  • Object distance (u): 40 cm
  • Image distance (v): -100 cm (for a virtual image)

Using the lens formula:

1/f = 1/u - 1/v

Substituting the values:

1/f = 1/40 - 1/(-100) = 0.015

Therefore, the focal length (f) is:

f ≈ 66.67 cm

To convert this to lens power (P), we use the formula:

P = 1/f (in metres)

Converting f to metres:

f ≈ 0.6667 m

Thus, the lens power is:

P = 1/0.6667 ≈ +1.5 D

In conclusion, the correct lens is a convex lens with a power of +1.5 D.

UGEE SUPR Mock Test- 6 - Question 20

A 20 cm long capillary tube is dipped in water. The water rises up to 8 cm. If the entire arrangement is put in a freely falling elevator the length of water column in the capillary tube will be ______ cm.

Detailed Solution for UGEE SUPR Mock Test- 6 - Question 20

In a freely falling elevator, the effective gravity is zero. This scenario leads to some intriguing effects:

  • Effective Gravity: When in free fall, there is no gravitational pull acting on the objects inside the elevator.
  • Capillary Action: Without this gravitational influence, capillary action can occur more freely.
  • Water in the Tube: As a result, water can fill the entire length of the tube, reaching its full length of 20 cm.
UGEE SUPR Mock Test- 6 - Question 21

The work function of a metallic surface is 5.01 eV. Photoelectrons are emitted when light of wavelength 2000 Å falls on it. What is the minimum potential difference required to stop the fastest photoelectrons? (h = 4.14 × 10-15 eV·s)

Detailed Solution for UGEE SUPR Mock Test- 6 - Question 21

First, calculate the energy of the incident photon using E = hc/λ.
Here, h = 4.14 × 10-15 eV·s, c = 3 × 108 m/s, λ = 2000 Å = 2000 × 10-10 m = 2 × 10-7 m.
So,
E = (4.14 × 10-15 × 3 × 108) / (2 × 10-7)
E = (12.42 × 10-7) / (2 × 10-7)
E = 6.21 eV

Maximum kinetic energy (K.E.max) = Energy of photon - Work function
K.E.max = 6.21 eV - 5.01 eV = 1.2 eV

The stopping potential (V0) is given by:
K.E.max = eV0, so V0 = 1.2 V

Therefore, the minimum potential difference required to stop the fastest photoelectrons is 1.2 V.

UGEE SUPR Mock Test- 6 - Question 22

A solid sphere of mass M and radius R is divided into two unequal parts. The first part has a mass of 7M/8 and is converted into a uniform disc of radius 2R. The second part is converted into a uniform solid sphere. Let I1 be the moment of inertia of the new sphere about its axis. The ratio I1/I2 is 140/x. Find the value of x.
Note: I1 is the inertia of the disk & I2 is the inertia of the new sphere about the diameter.

Detailed Solution for UGEE SUPR Mock Test- 6 - Question 22


UGEE SUPR Mock Test- 6 - Question 23

A block of mass 10 kg is kept on a rough inclined plane as shown in the figure. A force of 3 N is applied on the block. The coefficient of static friction between the plane and the block is 0.6. What should be the minimum value of force P (in newton), such that the block does not move downward? (Take g = 10 m/s2)

Detailed Solution for UGEE SUPR Mock Test- 6 - Question 23


UGEE SUPR Mock Test- 6 - Question 24

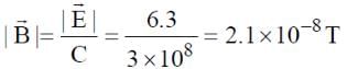
A plane electromagnetic wave of frequency 50 MHz travels in free space along the positive x-direction. At a particular point in space and time, . The corresponding magnetic field , at that point is . Find the value of x.

Detailed Solution for UGEE SUPR Mock Test- 6 - Question 24

As we know,


 [ ∵ EM wave travels along + (ve) x-direction]

UGEE SUPR Mock Test- 6 - Question 25

Two concentric coplanar circular loops made of wire, with resistance per unit length 10 Ω/m have diameters 0.2 m and 2 m. A time varying potential difference (4 + 2.5 t) volt is applied to the larger loop. Calculate the current (in A) in the smaller loop.

Detailed Solution for UGEE SUPR Mock Test- 6 - Question 25

The resistance of the loops, 

and 

Flux in the smaller loop, φ = B2A1

The induced current, 
After substituting the value and simplifying we get
i = 1.25 A.

UGEE SUPR Mock Test- 6 - Question 26


a11A21 + a12A22 + a13A23 is equal to
Note: axy represents element whereas Axy represents Cofactor matrix.

Detailed Solution for UGEE SUPR Mock Test- 6 - Question 26


Since, the sum of the product of elements other than the corresponding cofactor is zero.
∴ a11A21 + a12A22 + a13A23 = 0

UGEE SUPR Mock Test- 6 - Question 27

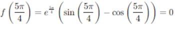
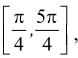
If Rolle's theorem for 
f(x) = ex (sin x − cos x) is verified on [ then the value of c is

Detailed Solution for UGEE SUPR Mock Test- 6 - Question 27
  1. Verify the conditions of Rolle’s Theorem:

    • f(x) = ex(sin x - cos x) is continuous and differentiable.

    • Check endpoints:

  2. Apply Rolle’s Theorem:

    • Since f(π/4) = f(5π/4) = 0, there exists c in (π/4, 5π/4) such that f'(c) = 0.

  3. Find f'(x):

    • f'(x) = d/dx (ex(sin x - cos x)) = ex(2 sin x)

  4. Set f'(c) = 0:

    • ec(2sin c) = 0 ⟹ sin c = 0

  5. Solve for c in (π/4, 5π/4):

    • c = π

UGEE SUPR Mock Test- 6 - Question 28

Direction cosines of the line , z = -1 are

Detailed Solution for UGEE SUPR Mock Test- 6 - Question 28

Equation of given line is 


So, DR of given line are 

∴ DC of given line are 

UGEE SUPR Mock Test- 6 - Question 29

 is equal to 

Detailed Solution for UGEE SUPR Mock Test- 6 - Question 29


UGEE SUPR Mock Test- 6 - Question 30

The approximate value of f(x) = x3 + 5x2 - 7x + 9at x = 1.1 is

Detailed Solution for UGEE SUPR Mock Test- 6 - Question 30

Since, f(x) = x³ + 5x² - 7x + 9
After differentiating on both sides w.r.t.x, we get
f'(x) = 3x² + 10x - 7
As, f(x + Δx) = f(x) + Δx × f'(x)
= x³ + 5x² - 7x + 9 + Δx × (3x² + 10x - 7)
After putting x = 1 and Δx = 0.1, we get
f(1 + 0.1)
= 1³ + 5(1)² - 7(1) + 9 + 0.1 × (3 × 1² + 10 × 1 - 7)
So, f(1.1) = 1 + 5 - 7 + 9 + 0.1(3 + 10 - 7)
= 8 + 0.1(6) = 8.6

View more questions
Information about UGEE SUPR Mock Test- 6 Page
In this test you can find the Exam questions for UGEE SUPR Mock Test- 6 solved & explained in the simplest way possible. Besides giving Questions and answers for UGEE SUPR Mock Test- 6, EduRev gives you an ample number of Online tests for practice
Download as PDF