Class 8 Exam  >  Class 8 Tests  >  Mathematics (Maths) Class 8  >  Test: Comparing Quantities- 2 - Class 8 MCQ

Test: Comparing Quantities- 2 - Class 8 MCQ


Test Description

20 Questions MCQ Test Mathematics (Maths) Class 8 - Test: Comparing Quantities- 2

Test: Comparing Quantities- 2 for Class 8 2025 is part of Mathematics (Maths) Class 8 preparation. The Test: Comparing Quantities- 2 questions and answers have been prepared according to the Class 8 exam syllabus.The Test: Comparing Quantities- 2 MCQs are made for Class 8 2025 Exam. Find important definitions, questions, notes, meanings, examples, exercises, MCQs and online tests for Test: Comparing Quantities- 2 below.
Solutions of Test: Comparing Quantities- 2 questions in English are available as part of our Mathematics (Maths) Class 8 for Class 8 & Test: Comparing Quantities- 2 solutions in Hindi for Mathematics (Maths) Class 8 course. Download more important topics, notes, lectures and mock test series for Class 8 Exam by signing up for free. Attempt Test: Comparing Quantities- 2 | 20 questions in 20 minutes | Mock test for Class 8 preparation | Free important questions MCQ to study Mathematics (Maths) Class 8 for Class 8 Exam | Download free PDF with solutions
Test: Comparing Quantities- 2 - Question 1

Find the ratio of 5 m to 10 km.

Detailed Solution for Test: Comparing Quantities- 2 - Question 1

5:10

covert 10km to meter

1km=1000m

10km= 10000m

so,

5:10000= 5/10000

= 1/2000 =1:2000

Test: Comparing Quantities- 2 - Question 2

An item marked at Rs 840 is sold for Rs 714. What is the discount %?

Detailed Solution for Test: Comparing Quantities- 2 - Question 2

 Given, marked price = 840

 selling price = 714

 We know that Discount = MP - SP

            = 840 - 714

            = 126.

  Discount% = 126/840 * 100

            = 15%.

 

Test: Comparing Quantities- 2 - Question 3

Find selling price (SP) if a profit of 5% is made on a cycle of Rs 700 with Rs 50 as overhead charges.

Detailed Solution for Test: Comparing Quantities- 2 - Question 3

Total Cost = 700+50 = 750
Profit = 5% of 750 = 37.5
SP = CP+P = 750+37.5 = 787.5

Test: Comparing Quantities- 2 - Question 4

Find the ratio of speed of a cycle 20 km per hour to the speed of scooter 30 km per hour.

Detailed Solution for Test: Comparing Quantities- 2 - Question 4

20 : 30   or 20/30

= 2 : 3   or 2/3

Test: Comparing Quantities- 2 - Question 5

Find the ratio of speed of a car 50 km per hour to the speed of scooter 40 km per hour.

Detailed Solution for Test: Comparing Quantities- 2 - Question 5

50 : 40   or 50/40 

= 5 : 4  or 5/4

Test: Comparing Quantities- 2 - Question 6

Find the ratio of speed of a train 120 km per hour to the speed of car 90 km per hour.

Detailed Solution for Test: Comparing Quantities- 2 - Question 6

120 : 90   or 120/90 

= 4 : 3   or 4/3 

Test: Comparing Quantities- 2 - Question 7

The price of a car was Rs 3,40,000 last year. It has increased by 20% this year. What is the price now?

Detailed Solution for Test: Comparing Quantities- 2 - Question 7

Original price = 3,40,000

20% increase = 20/100 * 3,40000

= 68000

New price = 3,40,000 + 68000

= 4,08,000

Test: Comparing Quantities- 2 - Question 8

The price of a motor bike was Rs 60,000 last year. It has increased by 15% this year. What is the price now?

Detailed Solution for Test: Comparing Quantities- 2 - Question 8

As it was 60,000 initially, but now there is an increase of 15%.
so we calculate 15% of 60,000 that will be ₹9,000.
Then we have to calculate the new price of bike, (i.e. old + increased) = ₹60,000+₹9,000 = ₹69,000

Test: Comparing Quantities- 2 - Question 9

The price of a house was Rs 34,000 last year. It has increased by 20% this year. What is the price now?

Detailed Solution for Test: Comparing Quantities- 2 - Question 9

Test: Comparing Quantities- 2 - Question 10

The price of a car was Rs 5,00,000 last year. It has increased by 10% this year. What is the price now?

Detailed Solution for Test: Comparing Quantities- 2 - Question 10

As it was 5,00,000 initially, but now there is an increase of 10%.
so we calculate 10% of 5,00,000 that will be ₹50,000.
Then we have to calculate the new price of bike, (i.e. old + increased) = ₹5,00,000+₹50,000 = ₹5,50,000

Test: Comparing Quantities- 2 - Question 11

Rohit bought a machine for Rs 20,000, then spent Rs 500 on its repairs and sold it for Rs 30,000. Find his loss or gain per cent.

Detailed Solution for Test: Comparing Quantities- 2 - Question 11

Cost price of washing machine = 20,000 + 5,00

= 20,500 Rs. 

Selling price = Rs. 30,000

Gain = S.P. - C.P. = 30,000 - 20,500

9,500 Rs. 

Therefore, Gain percent = (Gain * 100)/ C.P. 

= (9,500 * 100)/ 20,500

= 46.34% 

Test: Comparing Quantities- 2 - Question 12

Sohan bought a washing machine for Rs 40,000, then spent Rs 5,000 on its repairs and sold it for Rs 50,000. Find his loss or gain per cent.

Detailed Solution for Test: Comparing Quantities- 2 - Question 12

Cost price of washing machine = 40,000 + 5,000

= 45,000 Rs. 

Selling price = Rs. 50,000

Gain = S.P. - C.P. = 50,000 - 45,000

5,000 Rs. 

Therefore, Gain percent = (Gain * 100)/ C.P. 

= (5,000 * 100)/ 45,000

= 11.11% 

Test: Comparing Quantities- 2 - Question 13

A picnic is being planned in a school for Class VI. Girls are 40% of the total number of students and are 20 in number. Find the ratio of the number of girls to the number of boys in the class.

Detailed Solution for Test: Comparing Quantities- 2 - Question 13

Let the total no. of students be x.
No. of girls= 20
No. of boys = x-20
A. T. Q. ,
40% of x= 20
=> 40/100 × x = 20
=> x= 20× 100/40
=> x= 50
So, total no. of students = 50
No. of girls= 20
No. of boys = 50-20 = 30

Ratio of girls to boys = 20:30
= 20/30
=2/3
=2:3 

Test: Comparing Quantities- 2 - Question 14

A picnic is being planned in a school. Girls are 60% of the total number of students and are 18 in number. Find the ratio of the number of girls to the number of boys in the class.

Detailed Solution for Test: Comparing Quantities- 2 - Question 14

Girls are 60% of the total number of students and are 18 in number.

Let say total students = T

Girls = (60/100)T

=> 18 = 3T/5

=> T = 30

Boys = 30 - 18  = 12

Ratio of Girls to boys = 18 : 12

=> 3 : 2

Test: Comparing Quantities- 2 - Question 15

A shopkeeper purchased 300 bulbs for Rs 10 each. However 10 bulbs were fused and had to be thrown away. The remaining were sold at Rs 12 each. Find the gain or loss %.

Detailed Solution for Test: Comparing Quantities- 2 - Question 15

Shopkeeper purchased 300 bulbs for ₹3000
If 10 bulbs were fused, the cost of 10 bulbs is ₹100
If he sell 290 bulbs as ₹12 each = 290×12 =3480
when he sell the the cost of each bulb as ₹12 he got ₹480 profit
As a percentage = 480÷3000×100=16
so he got 16% profit

Test: Comparing Quantities- 2 - Question 16

A shopkeeper purchased 500 pieces for Rs 20 each. However 50 pieces were spoiled in the way and had to be thrown away. The remaining were sold at Rs 25 each. Find the gain or loss %.

Detailed Solution for Test: Comparing Quantities- 2 - Question 16

Number of pieces = 500

Cost per piece = 20

Therefore, total cost price = 500 * 20 = 10000

Number of spoiled pieces = 50

Then, number of pieces sold = 500 - 50 = 450

Selling price of each piece = 25

Therefore, total selling price = 450 * 25 = 11250

Since SP>CP, therefore it's a gain.

Gain % = [(SP - CP)/CP] * 100

= [(11250 - 10000)/10000] * 100

= (1250/10000) * 100

= 12.5 %

Test: Comparing Quantities- 2 - Question 17

During a sale, a shop offered a discount of 20% on the marked prices of all the items. What would a customer have to pay for a pair of jeans marked at Rs 1450 and a shirt marked at Rs 850 each?

Detailed Solution for Test: Comparing Quantities- 2 - Question 17

Discount on Jeans=20% of 1450=290
Price of jeans=1450-290=1160
Discount on shirt=20% of 850=170
Price of shirt=850-170=680
Total price=1160+680= 1840

Test: Comparing Quantities- 2 - Question 18

During a sale, a shop offered a discount of 10% on the marked prices of all the items. What would a customer have to pay for a pair of jeans marked at Rs 1450 and two shirts marked at Rs 850 each?

Detailed Solution for Test: Comparing Quantities- 2 - Question 18

Given: MP (marked price) of 1 pair of jeans=₹1450

 

MP of 1 shirt= ₹850

 

Total Marked Price (MP) of a pair of jeans and two shirts


= 1450 + 2 x 850 = 3150

 

Total MP= ₹3150


Discount = Marked Price (MP) x % Discount


=3150 × (10/100)= ₹315


New Price After Discount = 3150 - 315 =₹ 2835

A customer would have to pay for a pair of jeans and two shirts =₹2835

Test: Comparing Quantities- 2 - Question 19

The population of a city was 30,000 in the year 2011. It increased at the rate of 5% p.a. Find the population at the end of the year 2013.

Detailed Solution for Test: Comparing Quantities- 2 - Question 19

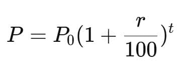
Given:
Population of the city in 2011 (Po) = 30,000
Percentage increased = 5% per annum
Time = 2 years (from 2011 to 2013)

Formula for population growth (compound increase):


Substitute values:
                               

So,
        P = 30000 × 1.1025 = 33075

Population at the end of 2013 = 33,075

 

Test: Comparing Quantities- 2 - Question 20

The population of a city was 40,000 in the year 1999. It increased at the rate of 10% p.a. Find the population at the end of the year 2000.

Detailed Solution for Test: Comparing Quantities- 2 - Question 20

Population of the city in 1999 = 40,000 Percentage increased = 10% Therefore 10% of 40,000 = 10/100 × 40,000 = 4,000 Population of the city in 2000 = 40,000 + 4,000 = 44,000

94 videos|549 docs|42 tests
Information about Test: Comparing Quantities- 2 Page
In this test you can find the Exam questions for Test: Comparing Quantities- 2 solved & explained in the simplest way possible. Besides giving Questions and answers for Test: Comparing Quantities- 2, EduRev gives you an ample number of Online tests for practice
94 videos|549 docs|42 tests
Download as PDF