NEET Exam  >  NEET Test  >  Physics Class 11  >  Test: Introductory Vectors - NEET MCQ

Test: Introductory Vectors - NEET MCQ


Test Description

10 Questions MCQ Test Physics Class 11 - Test: Introductory Vectors

Test: Introductory Vectors for NEET 2026 is part of Physics Class 11 preparation. The Test: Introductory Vectors questions and answers have been prepared according to the NEET exam syllabus.The Test: Introductory Vectors MCQs are made for NEET 2026 Exam. Find important definitions, questions, notes, meanings, examples, exercises, MCQs and online tests for Test: Introductory Vectors below.
Solutions of Test: Introductory Vectors questions in English are available as part of our Physics Class 11 for NEET & Test: Introductory Vectors solutions in Hindi for Physics Class 11 course. Download more important topics, notes, lectures and mock test series for NEET Exam by signing up for free. Attempt Test: Introductory Vectors | 10 questions in 10 minutes | Mock test for NEET preparation | Free important questions MCQ to study Physics Class 11 for NEET Exam | Download free PDF with solutions
Test: Introductory Vectors - Question 1

The vector that must be added to the vector  so that the resultant vector is a unit vector along the y­­-axis is

Detailed Solution for Test: Introductory Vectors - Question 1

Given vectors are and 

First, find their sum: 

Let the vector to be added be  so that

Hence, 

Substitute: 

Test: Introductory Vectors - Question 2

The expression  is a 

Detailed Solution for Test: Introductory Vectors - Question 2

Test: Introductory Vectors - Question 3

Given vector , the angle between   and y-axis is

Detailed Solution for Test: Introductory Vectors - Question 3

tanθ= perpendicular/base
tanθ=2/3   as it is with respect to y-axis

Test: Introductory Vectors - Question 4

A vector is represented by  Its length in  XY  plane is 

Detailed Solution for Test: Introductory Vectors - Question 4


Length in XY plane = 

Test: Introductory Vectors - Question 5

Any vector in an arbitrary direction can always be replaced by two (or three)

Detailed Solution for Test: Introductory Vectors - Question 5

Resolving a Vector into Arbitrary Vectors

To understand why option C is correct, let's first discuss what it means to resolve a vector.

Resolving a vector means breaking it down into its components or constituents. This process allows us to represent a vector in terms of other vectors that have specific properties or characteristics.

In this case, we are considering an arbitrary vector, which means it can be in any direction. According to option C, it is possible to resolve this vector into arbitrary vectors, which means we can represent it in terms of other vectors without any specific constraints.

Now, let's delve into the details of why option C is correct:

1. Arbitrary Vectors

Arbitrary vectors are vectors that do not have any specific properties or characteristics. They can have any direction, magnitude, or orientation. When resolving an arbitrary vector, we can represent it in terms of other vectors without any constraints or limitations. This means we can choose any vectors as long as their resultant is equivalent to the original vector.

2. Original Vector as Resultant

When we resolve an arbitrary vector into arbitrary vectors, we want the sum or resultant of these vectors to be equal to the original vector. In other words, by adding all the arbitrary vectors together, we should be able to recreate the original vector.

This is possible because vectors follow the principles of vector addition. Regardless of the direction or magnitude of the arbitrary vectors, their sum can always be adjusted to match the original vector.

Therefore, option C is correct as it states that an arbitrary vector can be resolved into arbitrary vectors that have the original vector as their resultant. This means we can represent the original vector using any combination of vectors, as long as their sum equals the original vector.

It is important to note that option D, which states that it is not possible to resolve a vector, is incorrect. Vectors can always be resolved into their components or constituents, allowing us to analyze and manipulate them more easily.

Test: Introductory Vectors - Question 6

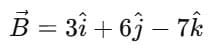
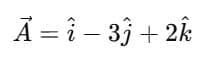
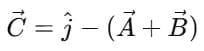
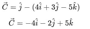
if  then which of the following is NOT correct

Detailed Solution for Test: Introductory Vectors - Question 6

Test: Introductory Vectors - Question 7

The position vector of a particle is .The velocity of the particle is

Detailed Solution for Test: Introductory Vectors - Question 7



  As   therefore velocity of the particle is perpendicular to the position vector.

Test: Introductory Vectors - Question 8

If a unit vector is represented by  , then the value of c is

Detailed Solution for Test: Introductory Vectors - Question 8

The question asks for the value of c in the unit vector 0.5i + 0.8j + ck, where the vector is given as a unit vector (magnitude = 1). The solution uses the magnitude formula for a vector:
magnitude = √(0.52 + 0.82 + c2) = 1
Calculating the squares: 0.52 = 0.25, 0.82 = 0.64, therefore
√(0.25 + 0.64 + c2) = 1
√(0.89 + c2) = 1
Squaring both sides:
0.89 + c2 = 1
c2 = 1 - 0.89 = 0.11
Therefore, c = √0.11

Test: Introductory Vectors - Question 9

The position vector of a particle is determined by the expression  . The distance traversed in first 10 sec is

Detailed Solution for Test: Introductory Vectors - Question 9

Test: Introductory Vectors - Question 10

The angle between the two vectors  will be

Detailed Solution for Test: Introductory Vectors - Question 10



⇒ cosθ=0
∴ θ=90º

97 videos|376 docs|102 tests
Information about Test: Introductory Vectors Page
In this test you can find the Exam questions for Test: Introductory Vectors solved & explained in the simplest way possible. Besides giving Questions and answers for Test: Introductory Vectors, EduRev gives you an ample number of Online tests for practice
97 videos|376 docs|102 tests
Download as PDF