EmSAT Achieve Exam  >  EmSAT Achieve Tests  >  Physics for EmSAT Achieve  >  Test: Special Theory of Relativity - EmSAT Achieve MCQ

Test: Special Theory of Relativity - EmSAT Achieve MCQ


Test Description

10 Questions MCQ Test Physics for EmSAT Achieve - Test: Special Theory of Relativity

Test: Special Theory of Relativity for EmSAT Achieve 2026 is part of Physics for EmSAT Achieve preparation. The Test: Special Theory of Relativity questions and answers have been prepared according to the EmSAT Achieve exam syllabus.The Test: Special Theory of Relativity MCQs are made for EmSAT Achieve 2026 Exam. Find important definitions, questions, notes, meanings, examples, exercises, MCQs and online tests for Test: Special Theory of Relativity below.
Solutions of Test: Special Theory of Relativity questions in English are available as part of our Physics for EmSAT Achieve for EmSAT Achieve & Test: Special Theory of Relativity solutions in Hindi for Physics for EmSAT Achieve course. Download more important topics, notes, lectures and mock test series for EmSAT Achieve Exam by signing up for free. Attempt Test: Special Theory of Relativity | 10 questions in 10 minutes | Mock test for EmSAT Achieve preparation | Free important questions MCQ to study Physics for EmSAT Achieve for EmSAT Achieve Exam | Download free PDF with solutions
Test: Special Theory of Relativity - Question 1

The kinetic energy of an electron moving with a speed of 0.8c and rest mass energy of 0.321 MeV is:

Detailed Solution for Test: Special Theory of Relativity - Question 1

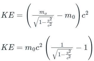
According to classical physics, the inertial mass of a body is independent of the velocity of light. It is regarding as a constant. However special theory of relativity leads us to the concept of variation of mass with velocity. It follows from special theory of relativity that the mass m of a body moving with relativistic velocity v relative to an observer is larger than its m0 when it is at rest.

According to Einstein, the mass of the body in motion is different from the mass of the body at rest.

This is the relative formula for variation of mass with velocity where m0 is the rest mass and m is the relativistic mass of the body.
Total energy = Rest energy + Kinetic Energy
Since E = mc2
mc2 = moc2 + KE
K E = (m – mo) c2
This can be written as:

Test: Special Theory of Relativity - Question 2

On increasing the temperature of solids, the kinetic energy of the particles ________.

Detailed Solution for Test: Special Theory of Relativity - Question 2
  • The energy possessed by a body due to its motion is called Kinetic energy.
  • Temperature is directly proportional to kinetic energy.
  • If the temperature increases, then the kinetic energy of the particles also increases.
  • Kinetic energy is usually measured in units of Joules(J).
  • Kelvin(K) is the SI unit of temperature.
Test: Special Theory of Relativity - Question 3

Light with an energy flux of 500 kW/m2 falls for 5 minutes at normal incidence on a non-reflecting circular surface with a radius of 10 cm. The total momentum delivered to this surface has a magnitude of ______.

Test: Special Theory of Relativity - Question 4

Consider the following statements:

(a) No object can move faster than the speed of light.
(b) Space and time are relative and all motion must be relative to a frame of reference.

Detailed Solution for Test: Special Theory of Relativity - Question 4
  • No object or signal can move faster than the speed of light
  • According to the special theory of relativity, which was developed by Albert Einstein in 1905.
  • Space and time are relative, and all motion must be relative to a frame of reference, according to Albert Einstein's theory of relativity.
Test: Special Theory of Relativity - Question 5

Which form of energy is possessed by a horse running on a level road?

Detailed Solution for Test: Special Theory of Relativity - Question 5

The correct answer is ​Kinetic Energy.

  • The kinetic energy of an object is the energy that it possesses due to its motion.
  • It is defined as the work needed to accelerate a body of a given mass from rest to its stated velocity.
  • Kinetic energy can be transferred between objects and transformed into other kinds of energy.
  • The amount of kinetic energy that an object has depends upon two variables i.e. the mass (m) of the object and the speed (v) of the object.
  • The form of energy possessed by a horse running on a level road is kinetic-energy. 
Test: Special Theory of Relativity - Question 6

When the speed of a moving body is doubled?

Detailed Solution for Test: Special Theory of Relativity - Question 6
  • Momentum is a vector quantity; it has both magnitude and direction.
  • Isaac Newton’s second law of motion states that the time rate of change of momentum is equal to the force acting on the particle.
  • Momentum can be calculated by multiplying the mass of an object by its forward velocity. (mv = kg*m/s).
  • Mass and velocity are both directly proportional to the Momentum.
    • If you increase either mass or velocity, the Momentum of the object increases proportionally.
    • If you double the mass or velocity, you double the Momentum.
    • If you halve the mass or velocity, you half the Momentum.
  • Newton's laws of motion-
    • ​Newton’s first law states that if a body is at rest or moving at a constant speed in a straight line, it will remain at rest or keep moving in a straight line at constant speed unless it is acted upon by force. This postulate is known as the law of inertia.
    • Newton’s second law is a quantitative description of the changes that a force can produce in a body's motion. It states that the time rate of change of a body's momentum is equal in both magnitude and direction to the force imposed on it. The momentum of a body is equal to the product of its mass and its velocity.
    • Newton’s third law states that when two bodies interact, they apply forces to one another equal in magnitude and opposite in direction. The third law is also known as the law of action and reaction. This law is important in analyzing static equilibrium problems, where all forces are balanced, but it also applies to bodies in uniform or accelerated motion.
Test: Special Theory of Relativity - Question 7

What would be the momentum of the bullet and the gun before firing?

Detailed Solution for Test: Special Theory of Relativity - Question 7

The correct answer is The momentum of the bullet and the gun before firing would be zero.

  • Before firing, the gun and the bullet are both at rest, so the momenta (mv) of the gun and the bullet are both zero.
  • Hence, the total momentum of the system before the bullet is fired is zeroSo, option 1 is correct.
Test: Special Theory of Relativity - Question 8

A unique idea which was considered in special theory of relativity was

Detailed Solution for Test: Special Theory of Relativity - Question 8
  • There are many unique ideas in the special theory of relativity.
  • The one about the speed of light is
    • The speed of light in the vacuum is completely independent of the observer's motion.
    • It means the speed of light will always be constant for all frames of reference.
  • So, the correct answer will be option 2.
Test: Special Theory of Relativity - Question 9

The speed of a fast moving electron, having total energy of 2 MeV, is nearly:

Detailed Solution for Test: Special Theory of Relativity - Question 9

Given particle is electron, the mass of electron is m = 9.11 × 10-31 kg, c = 3 × 108 m/s

1 eV = 1.602 × 10-19 J

E = 2 MeV = 2 × 106 × 1.602 × 10-19 J = 3.204 × 10-13 J 

Now from the above formula:

Test: Special Theory of Relativity - Question 10

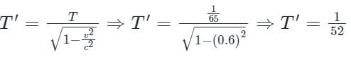
An astronaut at rest has a heart rate of 65 beats/min. When the astronaut’s spaceship moves at a speed of 0.6 c, her heart rate as measured by an earth observer will be:

Detailed Solution for Test: Special Theory of Relativity - Question 10

An astronaut at rest has a heart rate of 65 beats/min. When the astronaut’s spaceship moves at a speed of 0.6 c, her heart rate as measured by an earth observer will be:

frequency, f = 65 beats per minute.

In one minute there are 65 beats.

T = 1/65 min, v = 0.6 c

T' = in one minute, 52 beats

T' = 52 beats/min

209 videos|328 docs|212 tests
Information about Test: Special Theory of Relativity Page
In this test you can find the Exam questions for Test: Special Theory of Relativity solved & explained in the simplest way possible. Besides giving Questions and answers for Test: Special Theory of Relativity, EduRev gives you an ample number of Online tests for practice
209 videos|328 docs|212 tests
Download as PDF