NEET Exam  >  NEET Tests  >  Test: Physics Mock Test - 3 - NEET MCQ

Test: Physics Mock Test - 3 - NEET MCQ


Test Description

30 Questions MCQ Test - Test: Physics Mock Test - 3

Test: Physics Mock Test - 3 for NEET 2025 is part of NEET preparation. The Test: Physics Mock Test - 3 questions and answers have been prepared according to the NEET exam syllabus.The Test: Physics Mock Test - 3 MCQs are made for NEET 2025 Exam. Find important definitions, questions, notes, meanings, examples, exercises, MCQs and online tests for Test: Physics Mock Test - 3 below.
Solutions of Test: Physics Mock Test - 3 questions in English are available as part of our course for NEET & Test: Physics Mock Test - 3 solutions in Hindi for NEET course. Download more important topics, notes, lectures and mock test series for NEET Exam by signing up for free. Attempt Test: Physics Mock Test - 3 | 45 questions in 45 minutes | Mock test for NEET preparation | Free important questions MCQ to study for NEET Exam | Download free PDF with solutions
Test: Physics Mock Test - 3 - Question 1

What will be the phase difference between virtual voltage and virtual current, when the current in the circuit is wattless

Detailed Solution for Test: Physics Mock Test - 3 - Question 1

Test: Physics Mock Test - 3 - Question 2

If in the nature there may not be an element for which the principal quantum number n>4, then the total possible number of elements will be

Test: Physics Mock Test - 3 - Question 3

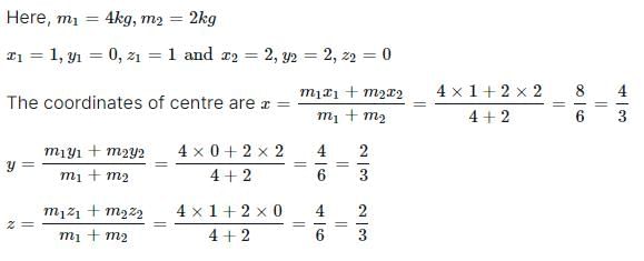
The centre of mass of two particles with masses 4kg and 2kg located at (1,0,1), (2,2,0) respectively has the coordinates

Detailed Solution for Test: Physics Mock Test - 3 - Question 3

Test: Physics Mock Test - 3 - Question 4

A body of mass m is moving in a circle of radius r with a constant speed υ. The force on the body is mυ2/r and is directed towards the centre. What is the work done by this force in moving the body over half the circumference of the circle

Test: Physics Mock Test - 3 - Question 5
A choke coil has
Test: Physics Mock Test - 3 - Question 6

A bomb of mass 9Kg explodes into two pieces of masses 3Kg and 6Kg. The velocity of the 3Kg mass is 16 ms-1. Then kinetic energy of 6Kg mass is

Detailed Solution for Test: Physics Mock Test - 3 - Question 6

The solution involves using the law of conservation of momentum.

Since no external forces act on the system, the total momentum before and after the explosion is the same.

Before the explosion, the total momentum is zero because the bomb is at rest.

After the explosion, the momentum of the 3 kg mass is 3 kg × 16 m/s = 48 kg m/s.

Therefore, the 6 kg mass must have a momentum of -48 kg m/s (opposite direction).

The velocity of the 6 kg mass is -48/6 = -8 m/s.

The kinetic energy of the 6 kg mass is 1/2 × 6 kg × (8 m/s)2 = 192 J.

Test: Physics Mock Test - 3 - Question 7

The image of the sun is formed on the photosensitive metal with a convex lens and the photoelectric current is I . If the lens is replaced by another similar lens of half the diameter and double the focal length, then photoelectric current will be

Detailed Solution for Test: Physics Mock Test - 3 - Question 7

As the aperture of the lens is reduced to one fourth so photon flux coming out from lens will also become one fourth so current will also reduced to one foruth, hence option (D) is correct.

Test: Physics Mock Test - 3 - Question 8
Three copper wires have lengths and cross-sectional areas of (l and A), (2l and A/2) and (l/2 and 2A). Resistance will be minimum in
Test: Physics Mock Test - 3 - Question 9
Two cells A and B are connected in the secondary circuit of a potentiometer one at a time and the balancing length are respectively 400cm and 440cm. The e.m.f of the cell A is 1.08 volt. The e.m.f of the second cell B in volts is
Test: Physics Mock Test - 3 - Question 10

A wheel having metal spokes of 1m long between its axle and rim is rotating in a magnetic field of flux density 5 x 10 − 5 T normal to the plane of the wheel. An e.m.f of 22/7 m V is produced between the rim and the axle of the wheel. The rate of rotation of the wheel in radians per second is

Test: Physics Mock Test - 3 - Question 11

Two electric charge 12 μ C and − 6 μ C are places 20 cm apart in air. There will be a point P at which electric potential is zero on the line joining these two charges and outside, excluding the region between them. The distance of P from − 6 μ C charge is

Test: Physics Mock Test - 3 - Question 12

There is a uniform electric field of strength 103 V m−1 along Y-axis. A body of mass 1 gm and charge 10 − 6 C is projected into the field from orgin along the positive X-axis with a velocity of 10 ms−1 . Its speed in ms−1 after 10s is (Neglect graviation )

Test: Physics Mock Test - 3 - Question 13
Pulling force making an angle θ to the horizontal is applied on a block of weight W placed on a horizontal table. If the angle of friction is α. then the magnitude of force required to move the body is equal to
Test: Physics Mock Test - 3 - Question 14

The escape velocity of an object from the earth depends upon the mass of the earth (M), its mean density (ρ),its radius (R) and gravitational constant (G). Thus the formula for escape velocity is

Test: Physics Mock Test - 3 - Question 15

The acceleration due to gravity at a height above the surface of the earth is 9ms−2 . Its value at a point at an equal distance below the surface of the earth is (take g = 10ms−2 on the surface)

Test: Physics Mock Test - 3 - Question 16
There are two identical vessels filled with equal amounts of ice. The vessels are of different metals. If the ice melts in the two vessels in 20 and 35 minutes respectively, the ratio of the coefficients of thermal conductivity of the two metals is
Test: Physics Mock Test - 3 - Question 17
Kinetic theory of gases provide a base for
Test: Physics Mock Test - 3 - Question 18
A straight wire of diameter 0.5 mm carrying a current of 1 A is replaced by another wire of 1 mm diameter carrying the same current. The magnetic field far away will be
Test: Physics Mock Test - 3 - Question 19
Two concentric circular coils of ten turns each are situated in the same plane. Their radii are 20 cm and 40 cm and they carry respectively 0.2 A and 0.3 A currents in opposite direction. The magnetic field in tesla at the centre is
Test: Physics Mock Test - 3 - Question 20

The direction of magnetic line of force of a bar magnet is

Detailed Solution for Test: Physics Mock Test - 3 - Question 20

The direction of magnetic lines of force of a bar magnet is from the north pole to the south pole outside the magnet, and from the south pole to the north pole inside the magnet. This reflects the convention for indicating the direction of magnetic field lines, which emerge from the north pole and enter into the south pole externally, while internally, they complete the circuit by going from the south pole back to the north pole.

Therefore, the correct answer is: From south to north pole inside the magnet and from north to south pole outside the magnet

Test: Physics Mock Test - 3 - Question 21

24 cm3 of water flows per second through a capillary tube of radius r cm and length l cm, when connected to a pressure head h cm of water. If a tube of the length l/2 cm and radius r/2 cm is connected to the same pressure head, then volume of water flowing per second through the tube is

Test: Physics Mock Test - 3 - Question 22

A wire of length L and area of cross-section A is made of material of Young's modulus y. If the wire is stretched by the amount x, the work done is

Test: Physics Mock Test - 3 - Question 23

A cord is wound round the circumference of wheel of radius r. The axis of the wheel is horizontal and moment of inertia about it is I. A weight mg is attached to the end of the cord and falls from rest. After falling through a distance h, the angular velocity of the wheel will be

Test: Physics Mock Test - 3 - Question 24

A man throws a ball vertically upward and it rises through 20 m and returns to his hands. What was the initial velocity (u) of the ball and how much time (t) it remained in the air? (g = 10 m/s2)

Test: Physics Mock Test - 3 - Question 25

The angularspeed of seconds needle in a mechanical watch is

Test: Physics Mock Test - 3 - Question 26

A body of mass m is moving in a circle of radius r with a constant speed υ. The force on the body is mυ2/r and is directed towards the centre. What is the work done by this force in moving the body over half the circumference of the circle

Test: Physics Mock Test - 3 - Question 27

Three light strings are connected at the point P. A weight W is suspended from one of the strings .End A of string AP and end B of string PB are fixed as shown .In equilibrium PB is horizontal and PA makes an angle of 60o with the horizontal .If the tension in PB is 30 N then the tension in PA and weight W are respectively

Test: Physics Mock Test - 3 - Question 28
If tube length of astronomical telescope is 105 cm and magnifying power is 20 for normal setting, calculate the focal length of objective
Test: Physics Mock Test - 3 - Question 29
The period of simple pendulum is doubled, when
Test: Physics Mock Test - 3 - Question 30

A particle of mass m is projected with the velocity ν making an angle of 45o with the horizontal. The magnitude of the angular momentum of the particle about the point of projection when the particle is at its maximum height is (where g = acceleration due to gravity)

View more questions
Information about Test: Physics Mock Test - 3 Page
In this test you can find the Exam questions for Test: Physics Mock Test - 3 solved & explained in the simplest way possible. Besides giving Questions and answers for Test: Physics Mock Test - 3, EduRev gives you an ample number of Online tests for practice
Download as PDF