JEE Exam  >  JEE Tests  >  JEE Main Part Test - 1 - JEE MCQ

JEE Main Part Test - 1 - JEE MCQ


Test Description

30 Questions MCQ Test - JEE Main Part Test - 1

JEE Main Part Test - 1 for JEE 2025 is part of JEE preparation. The JEE Main Part Test - 1 questions and answers have been prepared according to the JEE exam syllabus.The JEE Main Part Test - 1 MCQs are made for JEE 2025 Exam. Find important definitions, questions, notes, meanings, examples, exercises, MCQs and online tests for JEE Main Part Test - 1 below.
Solutions of JEE Main Part Test - 1 questions in English are available as part of our course for JEE & JEE Main Part Test - 1 solutions in Hindi for JEE course. Download more important topics, notes, lectures and mock test series for JEE Exam by signing up for free. Attempt JEE Main Part Test - 1 | 75 questions in 180 minutes | Mock test for JEE preparation | Free important questions MCQ to study for JEE Exam | Download free PDF with solutions
JEE Main Part Test - 1 - Question 1

The length, breadth and thickness of a rectangular sheet of metal are 4.234 m, 1.005 m, and 2.01 cm respectively. Give the volume of the sheet to correct significant figures.

Detailed Solution for JEE Main Part Test - 1 - Question 1

Length , l = 4,234 m
Breadth, b = 1.005 m
Thickness , t = 2.01 x 10-2 m
Volume = l x b x t
⇒ V = 4.234 x 1.005 x 0.0201 = 0.0855289 = 0.0855 m3 (significant figure = 3)

JEE Main Part Test - 1 - Question 2

Population of a town is reported as 157,900 (rounded to the nearest hundred). Which of the following statements is correct?

Detailed Solution for JEE Main Part Test - 1 - Question 2

The number 157,900 ends with two zeros, which means it has been rounded to the nearest hundred.
When a number is rounded to the nearest hundred, the possible actual value lies within ±50 of the given number.

This means the actual population could be as low as:

  • 157,850 (if rounded up to 157,900)

Or as high as:

  • 157,949 (if rounded down to 157,900)

But in standard approximation rules:

  • Lower limit = 157,900 – 50 = 157,850

  • Upper limit = 157,900 + 50 = 157,950

So, the maximum possible error is ±50.

JEE Main Part Test - 1 - Question 3

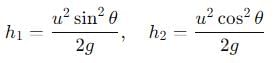
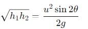
The  range R of projectile is same when its maximum height are h1 and h2. What is the relation between R, h1 and h2?  

Detailed Solution for JEE Main Part Test - 1 - Question 3

The range is the same for projection angles θ and 90° − θ:

R = u² sin 2θ / g

Maximum heights for θ and 90° − θ:

Using the identity sin 2θ = 2 sin θ cos θ, we have:

Final Range Expression: 

Thus, the range R for angles θ and 90° - θ is the same, and the relationship between the maximum heights at these two angles leads to this conclusion.

JEE Main Part Test - 1 - Question 4

A wheel is subjected to uniform angular acceleration about its axis. Initially its angular velocity is zero. In the first 2 sec, it rotates through an angle q1; in the next 2 sec it rotates through an additional angle θ2, the ratio θ21 is   

Detailed Solution for JEE Main Part Test - 1 - Question 4

JEE Main Part Test - 1 - Question 5

Two cars are moving in same direction with speed of 30 kmph. They are separated by a distance of 5 km. What is the speed of a car moving in opposite direction if it meets the two cars at an interval of 4 min?   

Detailed Solution for JEE Main Part Test - 1 - Question 5

Lets say the speed of second car be v. Now with respect to car 1, speed of car 2 is v - 30. Now if the cross each other at just after 4 min then the distance traveled by car 2 relative to car 1 is (v -30) x 4/60 and we know the distance travelled relatively is 5km
Thus we get 
(v -30) x 4/60 = 5
V = 300/4 - 30
= 45 km/h

JEE Main Part Test - 1 - Question 6

A body starts from rest, the ratio of distances travelled by the body during 3rd and 4thseconds is :

Detailed Solution for JEE Main Part Test - 1 - Question 6

The velocity after 2 sec = 2a and velocity after 3 sec = 3a
For some constant acceleration a,
Now distance travelled in third second, s3 = 2a + ½ a
= 5/2 a
Similarly distance travelled in fourth second, s4= 3a + ½ a
= 7/2 a
Hence the reqiuired ratio is 5/7

JEE Main Part Test - 1 - Question 7

The dimensional formula for acceleration is

Detailed Solution for JEE Main Part Test - 1 - Question 7

Acceleration (a) = Velocity × Time-1 . . . . . (1)

Since, Velocity (v) = Displacement × Time-1

∴ The dimensional formula of velocity is [M0 L1 T-1] . . . . (2)

On substituting equation (2) in equation (1) we get,

Acceleration = Velocity × Time-1

Or, a = [M0 L1 T-1] × [T]-1 = [M0 L1 T-2]

Therefore, acceleration is dimensionally represented as [M0 L1 T-2].

JEE Main Part Test - 1 - Question 8

Adjoining figure shows a force of 40 N acting at 30° to the horizontal on a body of mass 5 kg resting on a smooth horizontal surface. Assuming that the acceleration of free-fall is 10 ms_2, which of the following statements A, B, C is (are) correct?

[1] The horizontal force acting on the body is 20 N

[2] The weight of the 5 kg mass acts vertically downwards

[3] The net vertical force acting on the body is 30 N

Detailed Solution for JEE Main Part Test - 1 - Question 8

Given:

  • A force of 40 N acts at an angle of 30° to the horizontal.
  • The mass of the body is 5 kg.
  • The acceleration due to gravity is 10 m/s².
  • The surface is smooth, meaning there is no friction.

Analyzing the Statements:
Statement 1: The horizontal force acting on the body is 20 N.
The horizontal component of the force is found using the cosine of 30°: Horizontal force = 40 * cos(30°) cos(30°) = √3 / 2 ≈ 0.866 Horizontal force = 40 * 0.866 ≈ 34.64 N This is not 20 N. So, Statement 1 is incorrect.

Statement 2: The weight of the 5 kg mass acts vertically downwards.
The weight of the body is calculated as: Weight = mass * gravity = 5 * 10 = 50 N This force acts vertically downward. So, Statement 2 is correct.

Statement 3: The net vertical force acting on the body is 30 N.
The vertical component of the force is found using the sine of 30°: Vertical force = 40 * sin(30°) sin(30°) = 1/2 = 0.5 Vertical force = 40 * 0.5 = 20 N

The net vertical force is the difference between the vertical component of the applied force and the weight of the body: Net vertical force = Vertical force - Weight = 20 N - 50 N = -30 N The negative sign indicates the force is acting downward, and the magnitude is 30 N. So, Statement 3 is correct.
Conclusion: The correct statements are Statement 2 and Statement 3.
Correct Answer: C: 2 and 3.

JEE Main Part Test - 1 - Question 9

A ring of mass 200 gram is attached to one end of a light spring of force constant 100 N/m and natural length 10 cm. The ring is constrained to move on a rough wire in the shape of the quarter ellipse of the major axis 24 cm and the minor axis 16 cm with its centre at the origin. The plane of the ellipse is vertical and wire is fixed at points A and B as shown in the figure. Initially, ring is at A with other end of the spring fixed at the origin. If normal reaction of wire on ring at A is zero and ring is given a horizontal velocity of 10 m/s towards right so that it just reaches point B, then select the correct alternative (s) (g = 10 m/s2)

Detailed Solution for JEE Main Part Test - 1 - Question 9

∴ Spring is compressed by 2 cm at A and will be stretched by 2 cm at B.
By work-energy theorem,
Wmg + Ws + WN + Wf = Kf − Ki
0.16 + 0 + 0 + Wf = 0 - 10
Wf = -10.16 J

JEE Main Part Test - 1 - Question 10

Which of the following options are correct,
where i, j and k are unit vectors along the x, y and z axis?

Detailed Solution for JEE Main Part Test - 1 - Question 10

Dot product of two different unit vectors is 0 and dot product of two same unit vectors is 1. Cross product of two different unit vectors taken according to right hand thumb rule is the other vector. Cross product of two same unit vectors is 0.

JEE Main Part Test - 1 - Question 11

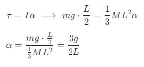
A rod PQ of mass M and length L is hinged at end P. The rod is kept horizontal by a massless string tied to point Q as shown in the figure. When the string is cut, the initial angular acceleration of the rod is:
[2013]

Detailed Solution for JEE Main Part Test - 1 - Question 11

Weight of the rod will produce the torque,
τ = mg x L / 2 = I α = mL2 / 3 α (∵ Irod = ML2 / 3)
Hence, angular acceleration,

JEE Main Part Test - 1 - Question 12

Electromagnetic radiations having λ = 310 Å are subjected to a metal sheet having work function = 12.8 eV. What will be the velocity of photoelectrons with maximum Kinetic energy.

Detailed Solution for JEE Main Part Test - 1 - Question 12



V2 = 9.56 × 1012
V = 3.09 × 106 m/sec.

*Multiple options can be correct
JEE Main Part Test - 1 - Question 13

Select the correct statement(s).

Detailed Solution for JEE Main Part Test - 1 - Question 13

Option A: The ideal body, which emits and absorbs all frequencies is called a black body
Option B:  As temperature increases, distribution of frequency (and energy) increases.

Option C: As temperature increases, radiation emitted is shifted to a lower wavelength, i.e. higher frequency.
Option D: All types of radiations have the same speed 3 x 108 ms-1.

Hence, options A, B, C, and D are correct.

JEE Main Part Test - 1 - Question 14

Consider the ground state of Cr atom (X = 24). The number of electrons with the azimuthal quantum numbers, ℓ = 1 and 2 are, respectively [2004]

Detailed Solution for JEE Main Part Test - 1 - Question 14

Electronic configuration of Cr atom (z = 24) = 1s2, 2s2 2p6, 3s2 3p6 3d5, 4s1
when ℓ = 1, p - subshell,
Numbers of electrons = 12
when ℓ = 2, d - subshell,
Numbers of electrons = 5

JEE Main Part Test - 1 - Question 15

Which of the following sets of quantum numbers is correct for an electron in 4f orbital ? [2004]

Detailed Solution for JEE Main Part Test - 1 - Question 15

The possible quantum numbers for 4f electron are n = 4, ℓ = 3, m = – 3, –2 –1, 0, 1 , 2 , 3 and s =  

Of various possiblities only option (a) is possible.

*Multiple options can be correct
JEE Main Part Test - 1 - Question 16

Radial probability density in the occupied orbital of a hydrogen atom in the ground state (1s) is given below

Detailed Solution for JEE Main Part Test - 1 - Question 16

Radial probability increases as r increase reaches a maximum value when r = a0 (Bohr’s radius) and then falls. When radial probability is very small.
Thus, (a) and (c) are true.

JEE Main Part Test - 1 - Question 17

Number of nitrogen atoms present in 1.4 g of N2

Detailed Solution for JEE Main Part Test - 1 - Question 17

Given weight of N₂ gas = 1.4 g

Molar mass of N₂ gas = 28 g

So, mole = given mass/ molar mass

⇒ mole = 1.4/28 = 1/20 mole

Now, number of molecules = mole × avogadro number

⇒ number of molecules = 1/20 × 6.022 × 10²³

⇒ number of molecules = 3.011 × 10²²

Now, we are asked for number of atoms. In N₂, there are 2 atoms, so to obtain number of atoms we will multiply with 2 in number of molecules.

⇒ number of atoms = 2 × 3.011 × 10²²

⇒ number of atoms = 6.022 × 10²²

JEE Main Part Test - 1 - Question 18

In the general electronic configuration -

(n - 2)f1-14 (n - 1)d0-1 ns2, if value of n = 7 the configuration will be -

Detailed Solution for JEE Main Part Test - 1 - Question 18

The correct answer is Option B.

General electronic configuration is given:
(n − 2)f1-14(n − 1)d01ns2 , where(n=7)
5f1-146d01ns2
The seventh period (n=7) is similar to the sixth period with the successive filling up of the 7s, 5f, 6d and 7p orbitals and includes most of the man-made radioactive elements. This period will end at the element with atomic number 118 which would belong to the noble gas family. Filling up of the 5f orbitals after actinium (Z=89) gives the 5f-inner transition series known as the Actinide Series.
 

JEE Main Part Test - 1 - Question 19

In which group of the modern periodic table are halogens placed?

Detailed Solution for JEE Main Part Test - 1 - Question 19

Periods:

  • Elements are arranged in increasing the atomic number of elements in a period.
  • One extra electron gets added to the outermost shell as we move along the periods from left to right.
  • The electron gets added to the same shell or orbit and thus the electrons present for bonding increase by one unit.
  • Thus, the shell number remains the same but the number of electrons present for bonding increases along a period.

Groups:

  • Elements having the same number of outer electrons are put in the same group of the periodic table.
  • When we move down a group, one extra shell gets added to the elements.
  • The outermost shell has electrons present for bonding.
  • Though the number of shells increases as we go down in a group, the number of electrons in the outermost shell remains the same.
  • For example, the Halogens F, Cl, Br, I, At all belong to group 17 and have 7 electrons in the outermost shell.
  • Similarly, Group 16 elements have 6 electrons in the outermost shell, group 15 has 5 electrons in the outermost shell, and so on.


Hence, group 17 is called halogens.

JEE Main Part Test - 1 - Question 20

The symbol for element with atomic number 111 and name Unununium  is

Detailed Solution for JEE Main Part Test - 1 - Question 20
  • The element was to be called unununium (with the corresponding symbol of Uuu),a systematic element name as a placeholder, until the element was discovered (and the discovery then confirmed) and a permanent name was decided on.
  • Although widely used in the chemical community on all levels, from chemistry classrooms to advanced textbooks, the recommendations were mostly ignored among scientists in the field, who called it element 111, with the symbol of E111, (111) or even simply 111.
JEE Main Part Test - 1 - Question 21

Which of the following angle corresponds to sp2 hybridisation?

Detailed Solution for JEE Main Part Test - 1 - Question 21

In sp² hybridization, three hybrid orbitals are formed, arranged in a trigonal planar geometry with bond angles of 120°. This is seen in molecules like BF₃ or C₂H₄. Other hybridizations have different angles:
sp³: 109.5° (tetrahedral).
sp: 180° (linear).
90°: Not typical for standard hybridizations.
For sp²: ∠ = 120°.
This explanation clarifies the angles associated with different hybridizations and gives examples of molecules with sp² hybridization.

JEE Main Part Test - 1 - Question 22

The domain of the function √(log1/3 log4 ([x]2 - 5)) is (where [x] denotes greatest integer function)

Detailed Solution for JEE Main Part Test - 1 - Question 22


JEE Main Part Test - 1 - Question 23

Domain of definition of the function  

Detailed Solution for JEE Main Part Test - 1 - Question 23


JEE Main Part Test - 1 - Question 24

A real valued function f(x) satisfies the functional equation f(x – y) = f(x) f(y) – f(a – x) f(a + y) where a is a given constant and f(0) = 1, f(2a – x) is equal to

Detailed Solution for JEE Main Part Test - 1 - Question 24

Given the functional equation:

f(x - y) = f(x)f(y) - f(a - x)f(a + y) and f(0) = 1.

Substitute x = y = 0:

f(0) = f(0)f(0) - f(a)f(a)
1 = 1 - [f(a)]²
[f(a)]² = 0
f(a) = 0

To find f(2a - x):

f(2a - x) = f(a - (x - a)) = f(a)f(x - a) - f(a - a)f(a + x - a) = 0 - f(0)f(x) = -f(x)

Answer: A.

JEE Main Part Test - 1 - Question 25

If z = x- iy and = p+ iq, then  is equal to [2004]

Detailed Solution for JEE Main Part Test - 1 - Question 25

Step 1: Express z³
We are given:

z = x - iy

Now, let's calculate z³.

z³ = (x - iy)³

Expanding this using the binomial expansion:

z³ = x³ - 3x²(iy) + 3x(iy)² - (iy)³
z³ = x³ - 3x²(iy) + 3x(-y²) - iy³
z³ = x³ - 3xy² - i(3x²y + y³)

So, we have:

z³ = (x³ - 3xy²) - i(3x²y + y³)

Step 2: Take the reciprocal of z³
Next, we find the reciprocal of z³, which is given as 1/z³ = p + iq. To find the reciprocal of a complex number a + bi, we use the formula:

1 / (a + bi) = (a - bi) / (a² + b²)

In our case, a = x³ - 3xy² and b = 3x²y + y³. Therefore:

1 / z³ = ((x³ - 3xy²) + i(3x²y + y³)) / ((x³ - 3xy²)² + (3x²y + y³)²)

Step 3: Match real and imaginary parts
From the equation 1/z³ = p + iq, we compare the real and imaginary parts:

p = (x³ - 3xy²) / ((x³ - 3xy²)² + (3x²y + y³)²)

q = (3x²y + y³) / ((x³ - 3xy²)² + (3x²y + y³)²)

Step 4: Solve the expression
Now, we are asked to find the value of the following expression:

(x + y) / p * 1 / (p² + q²)

We already know that p² + q² is the denominator of 1/z³, which is:

p² + q² = (x³ - 3xy²)² + (3x²y + y³)²

Step 5: Check the possible answers
The possible answers are:

A: -2

B: -1

C: 2

D: 1

After calculating, we find that the value of the expression equals -1, which corresponds to Option B.

Thus, the correct answer is B: -1.

JEE Main Part Test - 1 - Question 26

If z ≠ 1 and is real, then the point represented by the complex number z lies : [2012]

Detailed Solution for JEE Main Part Test - 1 - Question 26

Now   is real ⇒  Im  = 0

⇒  

⇒​  Im [(x2 – y2 + 2ixy) (x – 1) – iy)] = 0

⇒  2xy (x – 1) – y (x2 – y2) = 0

⇒ y(x2 + y2 – 2x) = 0 ⇒  y = 0;  x2 + y2 – 2x = 0

∴ z lies either on real axis or on a circle through origin

JEE Main Part Test - 1 - Question 27

If | z2 - 1 |=|z |2+1, then z lies on              [2004]

Detailed Solution for JEE Main Part Test - 1 - Question 27

|z2 - 1|=|z|2+1 ⇒|z2 - 1|2

⇒  

⇒  

⇒  ⇒ 

⇒ z is purely imaginary

*Answer can only contain numeric values
JEE Main Part Test - 1 - Question 28

If the function ƒ(x) = 2 + x2 – e–x and g(x) = ƒ–1(x), then the value of  equals 


Detailed Solution for JEE Main Part Test - 1 - Question 28

g(ƒ(x)) = x ⇒ g'(ƒ(x)). ƒ'(x) = 1
ƒ(x) = 1 ⇒ x = 0
g'(1). ƒ'(0) = 1
ƒ'(x) = 2x + e–x
ƒ'(0) = 1
g'(1) = 1

*Answer can only contain numeric values
JEE Main Part Test - 1 - Question 29

Let   then the value of a + b is: 


Detailed Solution for JEE Main Part Test - 1 - Question 29

Compare with :

a + b = −5 + 9 = 4

The answer (4) is correct.

*Answer can only contain numeric values
JEE Main Part Test - 1 - Question 30

If function ƒ(x) = x3 + ax2 + bx + c is monotonically increasing ∀ x ∈ R, where a & b are prime numbers less than 10, then number of possible ordered pairs (a,b) is


Detailed Solution for JEE Main Part Test - 1 - Question 30

a, b ∈ {2, 3, 5, 7}
ƒ '(x) = 3x2 + 2ax + b ≥ 0    ∀ x ∈ R
D ≤ 0
4a2 – 12b ≤ 0
4(a2 – 3b) ≤ 0
a = 2    b = 2,3,5,7
a = 3    b = 3,5,7
a = 5    No solution
a = 7    No solution 
Ordered pairs (a,b) are (2,2), (2,3), (2,5), (2,7), (3, 3), (3,5) & (3,7)

View more questions
Information about JEE Main Part Test - 1 Page
In this test you can find the Exam questions for JEE Main Part Test - 1 solved & explained in the simplest way possible. Besides giving Questions and answers for JEE Main Part Test - 1, EduRev gives you an ample number of Online tests for practice
Download as PDF