JEE Exam  >  JEE Tests  >  JEE Main Part Test - 3 - JEE MCQ

JEE Main Part Test - 3 - JEE MCQ


Test Description

30 Questions MCQ Test - JEE Main Part Test - 3

JEE Main Part Test - 3 for JEE 2025 is part of JEE preparation. The JEE Main Part Test - 3 questions and answers have been prepared according to the JEE exam syllabus.The JEE Main Part Test - 3 MCQs are made for JEE 2025 Exam. Find important definitions, questions, notes, meanings, examples, exercises, MCQs and online tests for JEE Main Part Test - 3 below.
Solutions of JEE Main Part Test - 3 questions in English are available as part of our course for JEE & JEE Main Part Test - 3 solutions in Hindi for JEE course. Download more important topics, notes, lectures and mock test series for JEE Exam by signing up for free. Attempt JEE Main Part Test - 3 | 75 questions in 180 minutes | Mock test for JEE preparation | Free important questions MCQ to study for JEE Exam | Download free PDF with solutions
JEE Main Part Test - 3 - Question 1

Two bullets A and B are fired horizontally with speed v and 2v respectively.which of the following is true

Detailed Solution for JEE Main Part Test - 3 - Question 1

In projectile motion, the time taken for an object to reach the ground is independent of its horizontal velocity. The only factor that determines the time it takes for an object to reach the ground is the vertical motion (due to gravity).

Since both bullets A and B are fired horizontally, their initial vertical velocities are zero. The time taken for both bullets to fall will only depend on the height from which they are fired and the acceleration due to gravity.

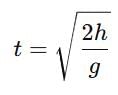
The time t taken for an object to reach the ground from a certain height h is given by:

Where:

  • h is the height from which the bullets are fired,
  • g is the acceleration due to gravity.

This equation shows that the time to reach the ground depends only on the height and gravitational acceleration, not the horizontal velocity.

Thus, both bullets A and B will reach the ground in the same time. Therefore, option A is correct.

JEE Main Part Test - 3 - Question 2

Kinetic theory explains the behavior

Detailed Solution for JEE Main Part Test - 3 - Question 2

Explanation:

The theory for ideal gases makes the following assumptions

1. Gases consist of particles in constant, random motion. They continue in a straight line until they collide with something—usually each other or the walls of their container.

2. Particles are point masses with no volume. The particles are so small compared to the space between them, that we do not consider their size in ideal gases.

3. No molecular forces are at work. This means that there is no attraction or repulsion between the particles.

4. Gas pressure is due to the molecules colliding with the walls of the container. All of these collisions are perfectly elastic, meaning that there is no change in energy of either the particles or the wall upon collision. No energy is lost or gained from collisions.

5. The time it takes to collide is negligible compared with the time between collisions.

6. The kinetic energy of a gas is a measure of its Kelvin temperature. Individual gas molecules have different speeds, but the temperature and kinetic energy of the gas refer to the average of these speeds.

7. The average kinetic energy of a gas particle is directly proportional to the temperature. An increase in temperature increases the speed in which the gas molecules move.

8. All gases at a given temperature have the same average kinetic energy.

9. Lighter gas molecules move faster than heavier molecules.

JEE Main Part Test - 3 - Question 3

A 14.5 kg mass, fastened to the end of a steel wire of unstretched length 1.0 m, is whirled in a vertical circle with an angular velocity of 2 rev/s at the bottom of the circle. The cross-sectional area of the wire is 0.065 cm2. Calculate the elongation of the wire when the mass is at the lowest point of its path.

Detailed Solution for JEE Main Part Test - 3 - Question 3

Mass, m = 14.5 kg
Length of the steel wire, l = 1.0 m
Angular velocity, ω = 2 rev/s = 2 × 2π rad/s = 12.56 rad/s
Cross-sectional area of the wire, a = 0.065 cm2 = 0.065 × 10-4 m2
Let Δl be the elongation of the wire when the mass is at the lowest point of its path.
When the mass is placed at the position of the vertical circle, the total force on the mass is:
F = mg + mlω2
= 14.5 × 9.8 + 14.5 × 1 × (12.56)2
= 2429.53 N
Young’s modulus = Stress / Strain
Y = (F/A) / (∆l/l)
∴ ∆l = Fl / AY
Young’s modulus for steel = 2 × 1011 Pa
∆l = 2429.53 × 1 / (0.065 × 10-4 × 2 × 1011)   =   1.87 × 10-3 m
Hence, the elongation of the wire is 1.87 × 10–3 m
Hence 1.87 × 10–3 m

JEE Main Part Test - 3 - Question 4

The displacement of a damped harmonic oscillator is given by:
x(t) = e-0.1t cos (10πt + φ). Hence, t is in seconds.

The time taken for its amplitude of vibration to drop to half of its initial value is close to:

Detailed Solution for JEE Main Part Test - 3 - Question 4

JEE Main Part Test - 3 - Question 5

1 mole of a monoatomic gas is mixed with 3 moles of a diatomic gas. What is the molecular specific heat of the mixture at constant volume?

Detailed Solution for JEE Main Part Test - 3 - Question 5

Explanation:

for monoatomic gas 

 

from conservation of energy

JEE Main Part Test - 3 - Question 6

The average distance a molecule can travel without colliding is called the

Detailed Solution for JEE Main Part Test - 3 - Question 6

Explanation:the mean free path is the average distance traveled by a moving particle (such as an atom, a molecule, a photon) between successive impacts (collisions), which modify its direction or energy or other particle properties

JEE Main Part Test - 3 - Question 7

Value of gas constant, R for one mole of a gas is independent of the

Detailed Solution for JEE Main Part Test - 3 - Question 7

We know that PV=nRT also PM=dRT
So in the equation The value of R depends on P , V , n , T , d , M
except atomicity 
 so the ans is A

JEE Main Part Test - 3 - Question 8

According to kinetic theory of gases, 0K is that temperature at which for an ideal gas

Detailed Solution for JEE Main Part Test - 3 - Question 8

According to kinetic theory of gases, 0K is that temperature at which for an ideal gas the internal energy is zero because at 0K nearly all molecular motion stops.

JEE Main Part Test - 3 - Question 9

Four moles of an ideal diatomic gas is heated at constant volume from 20° C to 30° C. The molar specific heat of the gas at constant pressure (Cp) is 30.3 Jmol-1K-1 and the universal gas constant (R) is 8.3 Jmol-1K-1. The increase in internal energy of the gas is

Detailed Solution for JEE Main Part Test - 3 - Question 9

The value of Cp is 30.3
and as Cp-Cv = R(8.3)
hence Cv = 30.3-8.3
Cv is 22
change in internal energy = no of moles × Cv × change in temperature
hence
change in internal energy = 22 × 4 × 10
= 880j
Hence Option D is correct.
 

JEE Main Part Test - 3 - Question 10

Three moles of an ideal monoatomic gas is initially in the state A shown in the adjoining pressure-temperature graph. It is taken to state B without changing its pressure. If R is the universal gas constant, the work done by the gas in this process is 

Detailed Solution for JEE Main Part Test - 3 - Question 10

The work done by the gas in taking it from state A to state B = PΔV where ΔW is the increase in volume at constant pressure P. 

We have PV = μRT where p is the number of moles in the sample of the gas and R is the universal gas constant. 

Therefore we have PΔV = μR ΔT = 3 xR(450 - 250) = 600R 

JEE Main Part Test - 3 - Question 11

A second pendulum is mounted in a space shuttle. Its period of oscillations will decrease when rocket is:

Detailed Solution for JEE Main Part Test - 3 - Question 11

 

  • Time Period, T = 2π √(l/g')where,
    l = Length of seconds pendulum 
    g’ = Apparent Gravity
  • For the period of oscillations of Seconds Pendulum to decrease, the Apparent gravity (g’) has to increase because:
  • Hence, Time Period of oscillations of Seconds Pendulum will decrease when the rocket is ascending up with uniform acceleration.
JEE Main Part Test - 3 - Question 12

Find the amplitude of the S.H.M whose displacement y in cm is given by equation y= 3 sin157t + 4 cos157t, where t is time in seconds.

Detailed Solution for JEE Main Part Test - 3 - Question 12

When the displacement of a SHM is:
y=a sin wt+ b cos wt

  • Amplitude of the SHM will be:
    A=√a2+b2

Here, a = 3, b = 4
Amplitude, A= √(32+42) = 5 cm

Hence option B is correct.

JEE Main Part Test - 3 - Question 13

A particle executes linear simple harmonic motion with an amplitude of 2 cm. When the particle is at 1 cm from the mean position, the magnitude of its velocity is equal to that of its acceleration. Then its time period in seconds is:

Detailed Solution for JEE Main Part Test - 3 - Question 13

   
∴ We get, ω = √3 s-1
   T = 2π / √3

JEE Main Part Test - 3 - Question 14

What is the maximum Kinetic energy and minimum potential energy of a harmonic oscillator with amplitude 0.03m, force constant 4×105 N/m and total mechanical energy of 230 J.

Detailed Solution for JEE Main Part Test - 3 - Question 14

K. E=1/2 K(A2-x2)
Max of mean position,
K. E=1/2 KA2
=1/2 x4x105x(3x10-2)2
=180J
T.M. E=180+P.E
230=180+P.E
P.E=230-180
P.E=50J

JEE Main Part Test - 3 - Question 15

The velocity and acceleration amplitudes of body executing simple harmonic motion is

Detailed Solution for JEE Main Part Test - 3 - Question 15

Maximum velocity: v = ωA, where ω is uniform angular velocity and a is the radius of the circle in which a reference particle executing S.H.M.
Velocity is maximum at mean positions. The maximum value of velocity is called velocity amplitude in SHM.
Acceleration is maximum at extreme position given by A = - ω2A. The maximum value of acceleration is called acceleration amplitude in SHM.

JEE Main Part Test - 3 - Question 16

A particle of mass m is executing oscillation about the origin on X-axis. Its potential energy is V(x)=K∣x∣3. Where K is a positive constant. If the amplitude of oscillation is a, then its time period T is proportional to.

Detailed Solution for JEE Main Part Test - 3 - Question 16

JEE Main Part Test - 3 - Question 17

Energy is supplied to the damped oscillatory system at the same rate at which it is dissipating energy, then the amplitude of such oscillations would become constant. Such oscillations are called

Detailed Solution for JEE Main Part Test - 3 - Question 17

Energy is supplied to the damped oscillatory system at the same rate at which it is dissipating energy, and then the amplitude of such oscillations would become constant. Such oscillations are called maintained oscillations. By the definition of maintained oscillations.

JEE Main Part Test - 3 - Question 18

What determines the natural frequency of a body?

Detailed Solution for JEE Main Part Test - 3 - Question 18

Natural frequency is the frequency at which a body tends to oscillate in the absence of any driving or damping force.
Free vibrations of any elastic body are called natural vibration and happen at a frequency called natural frequency. Natural vibrations are different from forced vibration which happen at frequency of applied force .

JEE Main Part Test - 3 - Question 19

In the ideal case of zero damping, the amplitude of simple harmonic motion at resonance is:

Detailed Solution for JEE Main Part Test - 3 - Question 19

In an ideal environment where there is no resistance to oscillatory motion, that is, damping is zero, when we oscillate a system at its resonant frequency, since there is no opposition to oscillation, a very large value of amplitude will be recorded. Forced oscillation is when you apply an external oscillating force.

JEE Main Part Test - 3 - Question 20

The necessary condition for phenomenon of interference to occur is

Detailed Solution for JEE Main Part Test - 3 - Question 20

The necessary condition for phenomenon of interference to occur are:
1. There should be two coherent sources.
2. The frequency and amplitude of both the waves should be same.
3. The propagation of waves should be simultaneously and in same direction.
These are the conditions, no explanation.

*Answer can only contain numeric values
JEE Main Part Test - 3 - Question 21

The equation of wave is given by

Y = 10-2 sin 2π (160t – 0.5x + π/4)

where x and Y are in m and t in s. The speed of the wave is _______ km h-1.


Detailed Solution for JEE Main Part Test - 3 - Question 21

Given the wave equation:

Y = 10-2 sin 2π (160t – 0.5x + π/4)

Comparing this equation with the general form:

Y = Asin (2π(ft - kx + φ))

We can identify the wave number k = 0.5 m-1 and the frequency f = 160 Hz. 

The wave speed v can be found using the relationship between wave number, wave speed, and frequency: 

Now, we can calculate the wave speed:

Now, we need to convert the wave speed from meters per second to kilometers per hour:

So, the speed of the wave is 1152 Km/h

JEE Main Part Test - 3 - Question 22

Which of the following correctly ranks the cycloalkanes in order of increasing ring strain per methylene group? 

Detailed Solution for JEE Main Part Test - 3 - Question 22

The correct answer is Option B.

The C-C-C bond angles in cyclopropane (60o) and cyclobutane (90o) are much different than the ideal bond angle of 109.5o.This bond angle causes cyclopropane and cyclobutane to have a high ring strain. However, molecules, such as cyclohexane and cyclopentane, would have a much lower ring strain because the bond angle between the carbons is much closer to 109.5o.

JEE Main Part Test - 3 - Question 23

Which of the following cycloalkanes exhibits the greatest molar heat of combustion per —CH2 — group?

Detailed Solution for JEE Main Part Test - 3 - Question 23

The correct answer is option D
Cyclopropane is a cycloalkane molecule with the molecular formula C3H6, consisting of three carbon atoms linked to each other to form a ring, with each carbon atom bearing two hydrogen atoms resulting in D3H molecular symmetry. The small size of the ring creates substantial ring strain in the structure.

JEE Main Part Test - 3 - Question 24

The correct lUPAC name of the compound

Detailed Solution for JEE Main Part Test - 3 - Question 24

Priority of functional groups is
- COOH > - CHO >>C = O.
Hence, the lUPAC name is 4-formyl-2-oxocyclohexane carboxylicacid.

JEE Main Part Test - 3 - Question 25

How many σ and π bonds are present in HC≡C−CH=CH−CH3?

Detailed Solution for JEE Main Part Test - 3 - Question 25

JEE Main Part Test - 3 - Question 26

Arrange in increasing order of basicity. HC≡C−, CH3​CH=CH−, CH3​CH2​−

Detailed Solution for JEE Main Part Test - 3 - Question 26

JEE Main Part Test - 3 - Question 27

What are the hybridization and shapes of the following molecules?
(i) CH3F
(ii) HC ≡ N

Detailed Solution for JEE Main Part Test - 3 - Question 27

CH3F - sp3 hybridised carbon, tetrahedral shape
(ii) HC = N - sp hybridised carbon, linear shape.

*Multiple options can be correct
JEE Main Part Test - 3 - Question 28

Direction (Q. Nos. 11-15) This section contains 5 multiple choice questions. Each question has four choices (a), (b), (c) and (d), out of which ONE or MORE THAN ONE are correct.

Q. Consider the following compounds.

The correct statement regarding properties of above mentioned compounds is/are

Detailed Solution for JEE Main Part Test - 3 - Question 28
  • Both have all their C—C bonds of equal length due to conjugation.
  • I does not decolorises brown colour of bromine water solution but II does as The π bonds in Cyclooctatetraene (Compound II) react as usual for olefins, rather than as aromatic ring systems.
  • I is planar but II is not as it adopts a tub conformation.
  • Cyclooctatetraene shows various other addition reactions including Sulfonation.

Hence, Option A, B and D are correct.

*Multiple options can be correct
JEE Main Part Test - 3 - Question 29

What is true about the 1,3,5,7-cyclooctatetraene?

Detailed Solution for JEE Main Part Test - 3 - Question 29

1-3-5-7-cyclooctatetraene it has 8 pi electrons, and like stated above, fits the criteria of 4n, to be antiaromatic. to avoid this state of anti-aromaticity (less stable then expected), it becomes non-planar, so it can be more stable then it would be in the antiaromatic state. cyclooctatetraene can do this because it can fold, however other 6 carbon compounds that have 4n electrons and are planar can not and result in an antiaromatic compound.
Potassium cyclooctatetraene is formed by the reaction of cyclooctatetraene with potassium metal:
2 K + C8H8 → K2C8H8
The reaction entails 2-electron reduction of the polyene and is accompanied by a color change from colorless to brown.

JEE Main Part Test - 3 - Question 30

The compound shown below evolve hydrogen gas when refluxed with potassium metal, why?

Detailed Solution for JEE Main Part Test - 3 - Question 30

Metals like Potassium tend to loose their own electrons and the excess electrons will complete the aromaticity of the system.Thus, Deprotonation of the above compound converts it into an aromatic anion witn 6 pi electrons.

View more questions
Information about JEE Main Part Test - 3 Page
In this test you can find the Exam questions for JEE Main Part Test - 3 solved & explained in the simplest way possible. Besides giving Questions and answers for JEE Main Part Test - 3, EduRev gives you an ample number of Online tests for practice
Download as PDF