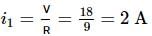
एक लिफ्ट त्वरण a के साथ नीचे जा रही है। लिफ्ट में एक व्यक्ति लिफ्ट के अंदर एक गेंद फेंकता है। लिफ्ट में खड़े व्यक्ति और जमीन पर खड़े एक व्यक्ति द्वारा प्रेक्षित गेंद के त्वरण क्रमशः हैं-
600 nm की तरंगदैर्ध्य के प्रकाश का एक समांतर पुंज a चौड़ाई की एक झिरी पर लंबवत आपतित होता है। यदि झिरी और पर्दे के बीच की दूरी 0.8 m है और पर्दे के केंद्र से द्वितीय कोटि का निम्निष्ठ 1.5 mm दूरी पर है, तो झिरी की चौड़ाई की गणना कीजिए।
एक खंभा एक द्रव में तैर रहा है, जिसकी 80 सेमी लंबाई डूबी हुई है। इसे एक निश्चित दूरी पर धकेला जाता है और फिर छोड़ा जाता है। ऊर्ध्वाधर दोलन का आवर्तकाल है:
1 मीटर ऊंचाई वाले एक घनाकार बर्तन से जल निकालने में किए गए कार्य की मात्रा लगभग है:
एक गैस, संबंध V = KT2/3 के अनुसार ताप के साथ प्रसारित होती है, जहां K एक नियतांक है। जब ताप को 60 K से परिवर्तित किया जाता है तो किए गए कार्य की गणना कीजिए?
त्रिज्या 0.1 cm का एक वायु का बुलबुला, पृष्ठ तनाव 0.06 N/m और घनत्व 103 kg/m3 वाले द्रव में है। वायुमंडलीय दाब की तुलना में बुलबुले के अंदर दाब 1100 N m–2 अधिक है। द्रव के पृष्ठ के नीचे बुलबुला किस गहराई पर है? (g = 9.8 m s–2)
कथन 1 : अलग-अलग द्रव्यमानो की दो गेंदें समान चाल से ऊपर की दिशा में फेंकी जाती हैं। वे उसी चाल के साथ नीचे की दिशा में प्रक्षेप अपने बिंदु से गुजरेगी।
कथन 2 : प्रक्षेप बिंदु पर ऊँचाई और नीचे की ओर प्राप्त चाल गेंद के द्रव्यमान से स्वतंत्र होती है।
एक कार्नो इंजन, जिसकी ऊष्मा इंजन के रूप में दक्षता 10 J है, का उपयोग रेफ्रिजरेटर के रूप में किया जाता है। यदि निकाय पर किया गया कार्य 10 J है, तब निम्न ताप पर भंडार से अवशोषित ऊर्जा की मात्रा है:
एक ठोस गोला, समान ऊंचाई के दो अलग-अलग आनत तलों, लेकिन अलग-अलग आनतों पर लुढ़कता है। दोनों स्थितियों में:
जब गैल्वेनोमीटर को 4 Ω प्रतिरोध के साथ शंटित किया जाता है, तब विक्षेपण 1/5 गुना तक कम हो जाता है। यदि गैल्वेनोमीटर आगे 2Ω तार के साथ शंटित किया जाता है, तो विक्षेपण में और कमी (पिछली धारा से धारा में ह्रास का अनुपात ज्ञात कीजिए) होगी (मुख्य धारा समान रहेगी):
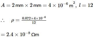
एक निश्चित विद्युत चालक में एक वर्ग अनुप्रस्थ काट है, भुजा 2.0 nm, और 12 m लम्बा है। इसके सिरों के बीच प्रतिरोध 0.072 Ω है। इसके पदार्थ की प्रतिरोधकता किसके बराबर है?
किसी कण की द्वि-विमीय गति में, कण बिंदु A, स्थिति सदिश
से स्थिति सदिश
तक गतिमान होता है। यदि इन सदिशों के परिमाण क्रमशः, r1 = 3 और r2 = 4 हैं और θ1 = 75° और θ2 = 15° क्रमश: वे कोण हैं, जो ये x-अक्ष के साथ बनाते हैं, तब विस्थापन सदिश का परिमाण ज्ञात कीजिए।

वक्रता त्रिज्या R के एक गोलीय (अवतल या उत्तल) दर्पण की फोकस दूरी (f) होती है:
एक प्रकाश विद्युत प्रयोग में, कैथोड और ऐनोड के बीच अनुप्रयुक्त विभवांतर V तथा प्रकाश विद्युत धारा I के बीच संबंध नीचे दिए गए आलेख में दिखाया गया था। यदि कैथोड प्लेट का कार्य फलन 28.8 eV तथा h = 6.6 × 10−34 J s है, तो आपतित विकिरण की आवृत्ति लगभग (s−1 में) होगी:

मुक्त पृष्ठ 'A' क्षेत्रफल वाले एक द्रव में, द्रव पृष्ठ के नीचे एक क्षेत्रफल 'a' के साथ 'h' गहराई पर एक छिद्र है, तब छिद्र के माध्यम से प्रवाह का वेग V है-
एक वस्तु को पृथ्वी की सतह से पलायन वेग के (3/4)वें भाग के बराबर वेग के साथ प्रक्षेपित किया जाता है। जिस ऊंचाई तक यह पहुँचता है, वह है- (पृथ्वी की त्रिज्या = R)
यदि दिखाए गए परिपथ में 9 Ω प्रतिरोधक में क्षय शक्ति 36 W है, तो 2 Ω प्रतिरोधक के सिरों पर विभवांतर है:

एक काले कागज पर दो श्वेत बिंदु एक दूसरे से 1 mm की दूरी पर स्थित हैं। उन्हें 3 mm व्यास की एक नेत्र पुतली से देखा जाता है। वह अधिकतम दूरी लगभग, क्या है जिस पर इन बिंदुओं को नेत्र द्वारा विभेदित किया जा सकता है? [प्रकाश की तरंगदैर्ध्य = 500 mm लीजिए।]
6. 2 eV की ऊर्जा के संगत धातु की पृष्ठ के लिए देहली ऊर्जा और इस पृष्ठ पर आपतित विकिरण के लिए निरोधी विभव 5 V है। आपतित विकिरण _________में स्थित है।
एक कार अपनी गति के कुल समय का पहला आधा भाग 80 kmh−1 की चाल से तय करती है और बाद का आधा भाग 40 kmh−1 की चाल से तय करती है। इसकी औसत चाल है:
50 cm लंबाई और 3.0 mm व्यास की एक पीतल की छड़ को समान लंबाई और समान व्यास की एक इस्पात की छड़ से जोड़ा जाता है। यदि मूल लंबाइयाँ 40oC पर है, तो 250oC पर संयुक्त छड़ की लंबाई में क्या परिवर्तन होता है? क्या संधि पर एक तापीय प्रतिबल उत्पन्न होता है ? छड़ के सिरे प्रसार के लिए मुक्त हैं। (पीतल का रैखिक प्रसार गुणांक = 2.0 x 10-5/K और इस्पात का रैखिक प्रसार गुणांक = 1.2 x 10-5/K है।)
सक्रिय क्षेत्र में बायसित एक p-n-p ट्रांजिस्टर में, आधार में, छिद्र
पारे के एक फ्लास्क को 20oC पर पूर्ण रूप से, पारे से भर कर सील बंद किया गया है। यदि पारे का आयतन गुणांक 25000 MPa है और पारे का आयतन प्रसार गुणांक 1.82 x 10-4/oC है तथा काँच का प्रसार उपेक्षित है, तब 100oC पर फ्लास्क में पारे का दाब होगा:
एक उभयनिष्ठ उत्सर्जक प्रवर्धक की वोल्टता लब्धि 50V, 100 Ω की निवेशी प्रतिबाधा और 200 Ω की निर्गत प्रतिबाधा है। प्रवर्धक की शक्ति लब्धि है:
एक लंबी धात्विक छड़ स्थायी अवस्था के तहत अपने एक सिरे से दूसरे सिरे तक ऊष्मा ले जा रही है। इसके गर्म सिरे से छड़ की लंबाई x के साथ ताप θ के परिवर्तन को निम्नलिखित में से किस आकृति द्वारा सबसे अच्छे से वर्णित किया गया है?
m द्रव्यमान का एक पिंड θ कोण के एक वेज पर विराम में है जैसा कि आकृति में दिखाया गया है। वेज को त्वरण a पर दिया जाता है। a का मान क्या है ताकि कि द्रव्यमान m बस स्वतंत्र रूप से गिरता है?

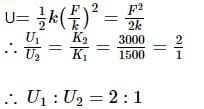
स्प्रिंग स्थिरांक 1500 Nm−1 और 3000 Nm−1 के दो स्प्रिंग क्रमश: एक ही बल के साथ तानित हैं। उनकी स्थितिज ऊर्जा का अनुपात होगा
1 docs|10 tests |