SSC CGL Exam  >  SSC CGL Tests  >  SSC CGL Previous Year Papers  >  SSC CGL Previous Year Questions: Classification - 4 - SSC CGL MCQ

SSC CGL Previous Year Questions: Classification - 4 - SSC CGL MCQ


Test Description

20 Questions MCQ Test SSC CGL Previous Year Papers - SSC CGL Previous Year Questions: Classification - 4

SSC CGL Previous Year Questions: Classification - 4 for SSC CGL 2026 is part of SSC CGL Previous Year Papers preparation. The SSC CGL Previous Year Questions: Classification - 4 questions and answers have been prepared according to the SSC CGL exam syllabus.The SSC CGL Previous Year Questions: Classification - 4 MCQs are made for SSC CGL 2026 Exam. Find important definitions, questions, notes, meanings, examples, exercises, MCQs and online tests for SSC CGL Previous Year Questions: Classification - 4 below.
Solutions of SSC CGL Previous Year Questions: Classification - 4 questions in English are available as part of our SSC CGL Previous Year Papers for SSC CGL & SSC CGL Previous Year Questions: Classification - 4 solutions in Hindi for SSC CGL Previous Year Papers course. Download more important topics, notes, lectures and mock test series for SSC CGL Exam by signing up for free. Attempt SSC CGL Previous Year Questions: Classification - 4 | 20 questions in 30 minutes | Mock test for SSC CGL preparation | Free important questions MCQ to study SSC CGL Previous Year Papers for SSC CGL Exam | Download free PDF with solutions
SSC CGL Previous Year Questions: Classification - 4 - Question 1

Direction: Find the odd word/letters/ number pair from the given alternatives.    (SSC CHSL 2015)

Detailed Solution for SSC CGL Previous Year Questions: Classification - 4 - Question 1

all are combination of 3 letters and symbol while Q37Q is not.

SSC CGL Previous Year Questions: Classification - 4 - Question 2

Direction: Find the odd word/letters/ number pair from the given alternatives.    (SSC CHSL 2015)

Detailed Solution for SSC CGL Previous Year Questions: Classification - 4 - Question 2

RQPO, VUTS and HGFE are set of 4 consecutive letters in reverse order but HNOP is not.

SSC CGL Previous Year Questions: Classification - 4 - Question 3

Direction: Find the odd word/letters/ number pair from the given alternatives.    (SSC CHSL 2015)

Detailed Solution for SSC CGL Previous Year Questions: Classification - 4 - Question 3

21, 81 and 51 are composite number while 71 is prime number.

SSC CGL Previous Year Questions: Classification - 4 - Question 4

Direction: Find the odd word/letters/ number pair from the given alternatives.    (SSC CHSL 2015)

Detailed Solution for SSC CGL Previous Year Questions: Classification - 4 - Question 4

8 × 3 + 1 = 25  So  8 : 25
13 × 3 + 1 = 40 So 13 : 40
15 × 3 + 1 = 46 So 15 : 46
But 6 × 3 + 1 = 19 ≠ 22
So 6 : 22 is odd

SSC CGL Previous Year Questions: Classification - 4 - Question 5

Direction: Find the odd word/letters/ number pair from the given alternatives.    (SSC CHSL 2015)

Detailed Solution for SSC CGL Previous Year Questions: Classification - 4 - Question 5

We used to draw, sketch or paint a portrait.

SSC CGL Previous Year Questions: Classification - 4 - Question 6

Direction: Find the odd word/letters/ number pair from the given alternatives.    (SSC CHSL 2015)

Detailed Solution for SSC CGL Previous Year Questions: Classification - 4 - Question 6

Gloves, Sweater, shawl are worn in winter season while umbrella is used in rainy season.

SSC CGL Previous Year Questions: Classification - 4 - Question 7

Direction: Find the odd word/letters/ number pair from the given alternatives.    (SSC CHSL 2015)

Detailed Solution for SSC CGL Previous Year Questions: Classification - 4 - Question 7

Nose, Eyes and mouth are in upper portion of body while hands are in lower portion.

SSC CGL Previous Year Questions: Classification - 4 - Question 8

Direction: In question, find the odd word/ letters/number pairs  from the given alternatives.      (SSC CHSL 2015)

Detailed Solution for SSC CGL Previous Year Questions: Classification - 4 - Question 8

In all number except 8314, the sum of first three digits is equal to the unit's digit.

SSC CGL Previous Year Questions: Classification - 4 - Question 9

Direction: In question, find the odd word/ letters/number pairs  from the given alternatives.      (SSC CHSL 2015)

Detailed Solution for SSC CGL Previous Year Questions: Classification - 4 - Question 9

In all other except (d) first letter is silent.

SSC CGL Previous Year Questions: Classification - 4 - Question 10

Direction: In question, find the odd word/ letters/number pairs from the given alternatives.      (SSC CHSL 2015)

Detailed Solution for SSC CGL Previous Year Questions: Classification - 4 - Question 10

Rectangles, circle and triangle are two-dimensional of figures while cone is a 3-d figure.

SSC CGL Previous Year Questions: Classification - 4 - Question 11

Direction: In question, find the odd word/ letters/number pairs from the given alternatives.      (SSC CHSL 2015)

Detailed Solution for SSC CGL Previous Year Questions: Classification - 4 - Question 11

36, 27 Sum of digits in both is 9
54, 63 Sum of digits in both is 9
45, 18 Sum of digits in both is 9
But, in (82, 29) sum of digits is different.

SSC CGL Previous Year Questions: Classification - 4 - Question 12

Direction: In question, find the odd word/ letters/number pairs  from the given alternatives.      (SSC CHSL 2015)

Detailed Solution for SSC CGL Previous Year Questions: Classification - 4 - Question 12


But UTV, does not follow this pattern.

SSC CGL Previous Year Questions: Classification - 4 - Question 13

Direction: In question, find the odd word/ letters/number pairs  from the given alternatives.      (SSC CHSL 2015)

Detailed Solution for SSC CGL Previous Year Questions: Classification - 4 - Question 13


But, WUSP does not follow this pattern.

SSC CGL Previous Year Questions: Classification - 4 - Question 14

Direction: In question, find the odd word/ letters/number pairs  from the given alternatives.      (SSC CHSL 2015)

Detailed Solution for SSC CGL Previous Year Questions: Classification - 4 - Question 14

66, 76  and 56 ar e not complete squares while 36, is complete square.

SSC CGL Previous Year Questions: Classification - 4 - Question 15

Direction: In question, find the odd word/ letters/number pairs  from the given alternatives.      (SSC CHSL 2015)

Detailed Solution for SSC CGL Previous Year Questions: Classification - 4 - Question 15


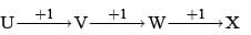
But

So, UVWX is odd set of letters.

SSC CGL Previous Year Questions: Classification - 4 - Question 16

Direction: In question, find the odd word/ letters/number pairs  from the given alternatives.      (SSC CHSL 2015)

Detailed Solution for SSC CGL Previous Year Questions: Classification - 4 - Question 16

Tea is a type of beverage, rice is type of cereal and beans is a type of pulse but nodule is source of nitrogen for legume plant.

SSC CGL Previous Year Questions: Classification - 4 - Question 17

Direction: In questions below, find the odd number/letters/number pair form the given alternatives.    (SSC Sub. Ins. 2015)

Detailed Solution for SSC CGL Previous Year Questions: Classification - 4 - Question 17

The pattern followed is,

All follow the same pattern, except ‘HIUL’.

Hence, “HIUL” is the odd letter pair.

SSC CGL Previous Year Questions: Classification - 4 - Question 18

Direction: In questions below, find the odd number/letters/number pair form the given alternatives.    (SSC Sub. Ins. 2015)

Detailed Solution for SSC CGL Previous Year Questions: Classification - 4 - Question 18

Tin is element but rest are the alloys.

SSC CGL Previous Year Questions: Classification - 4 - Question 19

Direction: In questions below, find the odd number/letters/number pair form the given alternatives.    (SSC Sub. Ins. 2015)

Detailed Solution for SSC CGL Previous Year Questions: Classification - 4 - Question 19

(a)  8 + 1 + 1 + 0 = 10
(b)  1 + 2 + 3 + 4 = 10
(c)  9 + 1 + 0 + 0 = 10
(d)  1 +1 + 8 + 9 = 19
Hence, (d) is the odd one out.

SSC CGL Previous Year Questions: Classification - 4 - Question 20

Direction: In questions below, find the odd number/letters/number pair form the given alternatives.    (SSC Sub. Ins. 2015)

Detailed Solution for SSC CGL Previous Year Questions: Classification - 4 - Question 20


Hence (a) is the odd one out.

313 docs|325 tests
Information about SSC CGL Previous Year Questions: Classification - 4 Page
In this test you can find the Exam questions for SSC CGL Previous Year Questions: Classification - 4 solved & explained in the simplest way possible. Besides giving Questions and answers for SSC CGL Previous Year Questions: Classification - 4, EduRev gives you an ample number of Online tests for practice
Download as PDF