PSSSB Clerk Exam  >  PSSSB Clerk Tests  >  HPCL Electrical Engineer Mock Test - 1 - PSSSB Clerk MCQ

HPCL Electrical Engineer Mock Test - 1 - PSSSB Clerk MCQ


Test Description

30 Questions MCQ Test - HPCL Electrical Engineer Mock Test - 1

HPCL Electrical Engineer Mock Test - 1 for PSSSB Clerk 2025 is part of PSSSB Clerk preparation. The HPCL Electrical Engineer Mock Test - 1 questions and answers have been prepared according to the PSSSB Clerk exam syllabus.The HPCL Electrical Engineer Mock Test - 1 MCQs are made for PSSSB Clerk 2025 Exam. Find important definitions, questions, notes, meanings, examples, exercises, MCQs and online tests for HPCL Electrical Engineer Mock Test - 1 below.
Solutions of HPCL Electrical Engineer Mock Test - 1 questions in English are available as part of our course for PSSSB Clerk & HPCL Electrical Engineer Mock Test - 1 solutions in Hindi for PSSSB Clerk course. Download more important topics, notes, lectures and mock test series for PSSSB Clerk Exam by signing up for free. Attempt HPCL Electrical Engineer Mock Test - 1 | 170 questions in 150 minutes | Mock test for PSSSB Clerk preparation | Free important questions MCQ to study for PSSSB Clerk Exam | Download free PDF with solutions
HPCL Electrical Engineer Mock Test - 1 - Question 1

Two persons start running towards each other, one from A to B and the other from B to A. They cross each other in one hour. The first person reaches B hours before the second person reaches A. If the distance between A and B is 8 km, then find the speed of the faster man.

Detailed Solution for HPCL Electrical Engineer Mock Test - 1 - Question 1

Given:

The distance between A and B is 8 km. And they cross each other in one hour.

Formula:

Speed = Distance/Time

Calculation:

Let the speed of the slower man and faster man be x km/hr and y km/hr respectively.

According to the question

x + y = 8/1

⇒ x + y = 8 →(1)

Again,

8/x – 8/y = 16/15 --- (2)

From (1) and (2), we get

8/x – 8/(8 – x) = 16/15

⇒ 8[1/x - 1/(8 - x)] = 16/15

⇒ 8[{8 - x - x}/x(8 - x)] = 16/15

⇒ [{8 - 2x}/x(8 - x)] = 2/15

⇒ 120 - 30x = 16x - 2x2

⇒ 2x2 - 16x - 30x + 120 = 0

⇒ 2x2 - 46x + 120 = 0

⇒ x2 - 23x + 60 = 0

⇒ (x - 20)(x - 3) = 0

⇒ x = 3 (∵ x = 20 not possible)

The speed of the faster man = y = 8 - x

⇒ y = 8 - 3 = 5 km/hr

∴ The speed of the faster man is 5 km/hr

HPCL Electrical Engineer Mock Test - 1 - Question 2

The third proportional to is –

Detailed Solution for HPCL Electrical Engineer Mock Test - 1 - Question 2

Calculation:

Let, the third proportional is ‘x’

⇒ x = ab

∴ The third proportional is ab.

HPCL Electrical Engineer Mock Test - 1 - Question 3

In a single throwing of a dice, the probability of getting more than 4 is 1/3 then probability of getting 4 or less than 4 will be

Detailed Solution for HPCL Electrical Engineer Mock Test - 1 - Question 3

Concept:

A probability is a chance of prediction. The formula of the probability of an event is given by

 

Calculation:

Favorable outcomes of getting 4 or less than 4 = {1, 2, 3, 4} = 4

Total number of outcomes = 6

∴ Probability = 4/6 = 2/3

Hence, the probability of getting 4 or less than 4 is 2/3.

HPCL Electrical Engineer Mock Test - 1 - Question 4

The distance between stations A and B is 778 kilometres. A train travels from station A to station B at a uniform speed of 84 km/h and then returns to station A at a uniform speed of 56 km/h. What is the train's average speed (in km/h) throughout the journey?

Detailed Solution for HPCL Electrical Engineer Mock Test - 1 - Question 4

Given:

Distance between stations A and B = 778 km

Speed while going from A to B = 84 km/h

Speed while returning from B to A = 56 km/h

Concept Used:

Time =

Calculation:

⇒ Time taken for going from station A to B = hours

⇒ Time taken for returning from B to A = hours

⇒ Total Distance of travel = 778 + 778 = 1556 km

⇒ Average Speed throughout the journey = km/h

Hence, the average speed of the train throughout the journey is 67.2 km/h

HPCL Electrical Engineer Mock Test - 1 - Question 5

Complete the table?

Detailed Solution for HPCL Electrical Engineer Mock Test - 1 - Question 5

Logic: There is same numbers written first column and first row and this logic follows for other rows and columns.

Row 1. 7 → 5 → 3

Column 1. 7 → 5 → 3

Row 2. 5 → 2 → 8

So, these numbers should be in second column,

Column 2. 5 → 2 → 8

So, the required matrix would be like,

Hence, the correct answer is "8".

HPCL Electrical Engineer Mock Test - 1 - Question 6

S16H is related to P22K in a certain way. In the same way, M28N is related to J34Q. To which of the following is K32P related following the same logic?

Detailed Solution for HPCL Electrical Engineer Mock Test - 1 - Question 6

The position and positional value of English Alphabets are:

The logic followed here is:

(First Letter - 3 → Number + 6 Last letter +3)

Now,

S16H is related to P22K.

M28N is related to J34Q.

Similarly,K32P will be:

So, K32P will be related to H38S.

Hence, the correct answer is 'Option 3'.

HPCL Electrical Engineer Mock Test - 1 - Question 7

Select the option that can be used as a one-word substitute for the given group of words.

Someone in love with himself

Detailed Solution for HPCL Electrical Engineer Mock Test - 1 - Question 7

The correct answer is "Narcissist".

Key Points

  • The one-word substitute for "someone in love with himself" is "Narcissist".
  • "Narcissist" refers to someone who has an excessive admiration for oneself and is in self-love. (आत्मकेंद्रित)
    • Example: Ramesh always used to admire himself, as he is a narcissist.
  • Hence, the correct option is "Narcissist".

Therefore, the correct answer is "Option 2".

Additional Information

  • Autocrat: An autocrat is a ruler who has absolute power and authority over others. (अनियन्त्रित शासक)
  • Egomaniac: An egomaniac is someone who is excessively self-centered or obsessed with their own importance. (अहंकारी)
  • Introvert: An introvert is someone who tends to be reserved and focused on their own thoughts and feelings. (अंतर्मुखी)
HPCL Electrical Engineer Mock Test - 1 - Question 8

Rs. 6000 is lent at the rate of 8 percent per annum on compound interest (compounded quarterly). What will be the compound interest of 6 months?

Detailed Solution for HPCL Electrical Engineer Mock Test - 1 - Question 8

Given:

Principal = Rs.6000

Rate = 8% ; Time = 6 months

Formula used:

A = P × {1 + (R/100)}T

Compound interest (C.I) = A - P

Where, A = amount ; P = principal ; R = rate ; T = time

Concept used:

If interest is compounded quarterly, then

New rate = (R/4)% ;

New Time = T × 4

Calculation:

According to the question:

New rate = (8/4)% = 2%

New time = (6/12) × 4 = 2 years

Amount = P × {1 + (R/100)}T

⇒ 6000 × {1 + (2/100)}2

⇒ 6000 × {51/50}2

⇒ 6000 × {2601/2500}

⇒ Rs.6242.4

Compound interest (C.I) = 6242.4 - 6000 = Rs.242.4

∴ The correct answer is Rs.242.4.

HPCL Electrical Engineer Mock Test - 1 - Question 9
A bus covers a distance of 30 km in 36 minutes. If its speed is decreased by 10 km/hr, then what will be the time taken by it to cover the same distance?
Detailed Solution for HPCL Electrical Engineer Mock Test - 1 - Question 9

Given:

The distance = 30 km

The time = 36 minutes

Concept:

Speed = Distance/Time

Calculation:

⇒ Let speed of bus be S

⇒ S = 30/(36/60) = (30 × 60)/36 = 50 km/h

⇒ Now, speed reduce by 10 km/h then time taken by bus to cover same distance

⇒ Time = 30/(50 - 10) = 30/40 = 3/4 hours = (3/4) × 60 = 45 minutes

∴ The required result will be 45 minutes.

HPCL Electrical Engineer Mock Test - 1 - Question 10
If α and β are the roots of equation 7x2 + 4x – 1 = 0, then find the value of (α2 + β2)?
Detailed Solution for HPCL Electrical Engineer Mock Test - 1 - Question 10

Given:

The given quadratic equation is 7x2 + 4x – 1 = 0

Concept Used:

Sum of roots (α + β) = -b/a

And product of roots (α × β) = c/a

Calculation:

By comparing the given quadratic equation 7x2 + 4x - 1 with standard equation ax2 + bx + c we can find the value of coefficient a, b and c

∴ a = 7, b = 4 and c = -1

Sum of roots (α + β) = -b/a = - (4)/7 = -4/7

And, product of roots (α × β) = c/a = -1/7

We know that,

α2 + β2 = (α + β) 2 - 2(α × β)

⇒ α2 + β2 = (-4/7) 2 - 2(-1/7) = 30/49

HPCL Electrical Engineer Mock Test - 1 - Question 11

The following line graph represents the sale of the number of Burgers at a shop for the seven days.

On which day, the number of burgers sold is equal to the average number of burgers sold by the shopkeeper during the given period?

Detailed Solution for HPCL Electrical Engineer Mock Test - 1 - Question 11

Given:

The following line graph represents the sale of the number of Burgers at a shop for the seven days.

Calculation:

The number of burger sold on Monday = 172

The number of burger sold on Tuesday = 140

The number of burger sold on Wednesday = 185

The number of burger sold on Thursday = 156

The number of burger sold on Friday = 192

The number of burger sold on Saturday = 210

The number of burer sold on Sunday = 240

The average number of burger sold over of the week = = 185

On Wednesday day, the number of burgers sold is equal to the average number of burgers sold by the shopkeeper during the given period.

Therefore, "Wednesday" is the required answer.

HPCL Electrical Engineer Mock Test - 1 - Question 12
The area of a square is 169 cm2. What is the perimeter of the square formed with the diagonal of the original square as its side?
Detailed Solution for HPCL Electrical Engineer Mock Test - 1 - Question 12

Given:

The area of a square is 169 cm2.

Formula used:

Area of square = (side)2

The Perimeter of the square = 4 × side

Length of diagonal of square = √2 × side

Calculation:

Let the length of side of square be a cm

Given, the area of square = 169 cm2

So, a2 = 169

⇒ a = 13

The length of diagonal = √2 × 13

⇒ 13√2 cm

The length of side of new square is 13√2 cm

The perimeter of new square is 4 × 13√2

∴ The perimeter of new square is 52√2 cm.

HPCL Electrical Engineer Mock Test - 1 - Question 13
Find the HCF of the given polynomials: 6x3 + 19x2 + x – 6, 2x2 + 9x – 5, and 6x3 + 23x2 – 5x –4.
Detailed Solution for HPCL Electrical Engineer Mock Test - 1 - Question 13

Given:

Polynomials are 6x3 + 19x2 + x – 6, 2x2 + 9x – 5, and 6x3 + 23x2 – 5x – 4

Concept used:

HCF of two polynomials ≤ Difference of the polynomials

Calculation:

As we know that HCF ≤ Difference of polynomial

⇒ HCF ≤ 6x3 + 23x2 – 5x – 4 – (6x3 + 19x2 + x – 6)

⇒ HCF ≤ 6x3 + 23x2 – 5x – 4 – 6x3 – 19x2 – x + 6

⇒ HCF ≤ 4x2 – 6x + 2

⇒ HCF ≤ 4x2 – 4x – 2x + 2

⇒ HCF ≤ 4x × (x – 1) – 2 × (x – 1)

⇒ HCF ≤ (4x – 2) × (x – 1) = 2 × (2x – 1) × (x – 1)

Now check weather (2x – 1) and (x – 1) are factor of 6x3 + 19x2 + x – 6 and 6x3 + 23x2 – 5x – 4 or not

We will check for 2x – 1 = 0

For x = 1/2, 6x3 + 19x2 + x – 6 = 0, and

For x = 1/2, 6x3 + 23x2 – 5x – 4 = 0

Now check for x – 1 = 0

For x = 1, 6x3 + 19x2 + x – 6 = 19 and,

For x = 1, 6x3 + 23x2 – 5x – 4 = 20

(2x – 1) is a factor of both 6x3 + 19x2 + x – 6 and 6x3 + 23x2 – 5x – 4

Now we have to check weather (2x – 1) is a factor of the third polynomial or not

For x = 1/2, 2x2 + 9x – 5 will be

⇒ 2 × (1/2)2 + 9 × (1/2) – 5

⇒ 1/2 + 9/2 – 5 = 0

⇒ 2x – 1 is a factor of 2x2 + 9x – 5

∴ HCF is 2x – 1

HPCL Electrical Engineer Mock Test - 1 - Question 14

In a certain code language, “dom pull ta” means - “bring hot food”, “pull tir sop” means “food is good” and “tak da sop” means “good bright boy”. Which of the following means “hot” in the same code language?

Detailed Solution for HPCL Electrical Engineer Mock Test - 1 - Question 14

According to the given information:

Code for "hot" is dom or ta.

As none of the options is dom or ta so we cannot determine exactly whether the code is dom or ta.

Hence, the correct answer is "Can not be accessed".

HPCL Electrical Engineer Mock Test - 1 - Question 15

If P denotes '+', Q denotes '-', R denotes '×' and S denotes '÷', then which of the following is correct?

Detailed Solution for HPCL Electrical Engineer Mock Test - 1 - Question 15

After replacing the Letter by their meaning we get,

Option 1:-

=16 x 12 + 49 ÷ 7 - 9

=16 x 12 + 7 - 9

=192 +7-9

=190 200

= L.H.S R.H.S

Option 2:-

= 32 ÷ 8 x 9 = 160 - 12 x 12

= 4 x 9 = 160 -12 x 12

= 36 = 160 - 144

= 36 16

= L.H.S R.H.S

Option 3:-

8 X 8 + 8 ÷ 8 - 8

= 8 X 8 + 1 -8

= 64 -7

=57

Here, L.H.S = R.H.S.

Hence, the correct answer is Option 3.

HPCL Electrical Engineer Mock Test - 1 - Question 16

Match the following:

Instrument type

P) Permanent magnet moving coil

Q) Moving iron connected through current transformer

R) Rectifier

S) Electrodynamometer

Used for

1. DC only

2. AC only

3. DC and AC

Detailed Solution for HPCL Electrical Engineer Mock Test - 1 - Question 16
  • Permanent Magnet Moving Coil (PMMC) is only used for DC measurements.
  • Moving Iron (MI) type instruments can be used for both AC & DC measurements. But Moving Iron connected through current Transformer block DC supply. So that Moving Iron connected through current Transformer are only used for AC measurements.
  • Rectifier type instruments are used for both AC & DC measurements.
  • Induction type instruments are only used for AC measurements.
HPCL Electrical Engineer Mock Test - 1 - Question 17
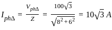
A wound rotor induction motor runs with a slip of 0.05 when developing full load torque. Its rotor resistance is 0.45 Ω per phase. If an external resistance of 0.50 Ω per phase is connected across the slip rings, what is the slip for full torque?
Detailed Solution for HPCL Electrical Engineer Mock Test - 1 - Question 17

Concept:

Rotor resistance method of speed control:

Under load condition torque approximately

T ∝ (sV12) / (R2 + Re)

  • In this method, some external resistance is inserted under the load conditions.
  • Then the slip of the induction motor increases to maintain the load torque constant.
  • As slip is increased, the speed of the motor will be reduced to below the rated speed.
  • In this method, the motor acts as a constant torque variable power drive.

For torque constant(T = k)

Calculation:

For induction motor, the torque in rotor resistance control methods is given as

For full load torque

= 0.1055
HPCL Electrical Engineer Mock Test - 1 - Question 18
A balanced RYB-sequence, Y-connected (star connected) source with VRN = 100 volts is connected to a Δ-connected (delta connected) balanced load of (8 + j6) ohms per phase. Then the phase current and line current values respectively, are
Detailed Solution for HPCL Electrical Engineer Mock Test - 1 - Question 18

Concept:

In star connection,

IL = Iph

In delta connection,

VL = Vph

Calculation:

VRN = 100 V

VphY = 100 V

VLY = 100√3 V

V= 100√3 V

VphΔ = 100√3 V

Load impedance, ZL = (8 + j6) Ω/phase

I= √3 IphΔ = 30 A
HPCL Electrical Engineer Mock Test - 1 - Question 19

The scalar product of two non zero vectors will be zero, if and only if the angle between two vectors is:

Detailed Solution for HPCL Electrical Engineer Mock Test - 1 - Question 19

The correct answer is (option 2) i.e. 90 degree

Concept:

  • Scalar product of two vectors is defined as the product of the magnitudes of two vectors and cosine of angle between them.
  • It is denoted by (dot)
  • It is also known as dot product or inner product.

Let, and are two vectors and is angle between them,
then,

Calculation:

So when vectors are non-zero and the angle between them is 90°

Then, cos 90° = 0

So The answer is 90°

HPCL Electrical Engineer Mock Test - 1 - Question 20

In the figure shown above, if AOB is the conductor, A and B are points of supports. Then which of the following is expression to calculate sag? (assume all other quantities with usual notations)

Detailed Solution for HPCL Electrical Engineer Mock Test - 1 - Question 20

The Correct Answer is option (1)

Detailed Explanation:

Sag in a Transmission Line:

  • It is defined as the vertical difference in level between points of support (most commonly transmission towers) and the lowest point of the conductor.
  • The calculation of sag and tension in a transmission line depends on the span of the overhead conductor.
  • Sag is mandatory in transmission line conductor suspension because it protects the conductor from excessive tension.
  • In order to permit a safe level of tension in the conductor, conductors are not fully stretched; rather they are allowed to have sagged.
  • If the conductor is stretched fully during installation, wind exerts pressure on the conductor, hence the conductor gets a chance to be broken or detached from its end support. Thus sag is allowed to have during conductor suspension.

When calculating sag in a transmission line, two different conditions need to be considered:

When supports are at equal level

Fig: Supports are at the same level

Let us suppose: AOB is the conductor. A and B are points of supports.

Point O is the lowest point and the midpoint.

Let, L = length of the span, i.e. AB

w is the weight per unit length of the conductor

T is the tension in the conductor.

We have chosen any point on the conductor, say point P.

The distance of point P from the Lowest point O is x.

y is the height from point O to point P.

Equating two moments of two forces about point O as per the figure above we get,

Now, ---1

When y = S and x = L / 2

Substituting value of y and x in equation (1) we get,

HPCL Electrical Engineer Mock Test - 1 - Question 21

An Op-amp based circuit is shown in figure below. Current I0 is

Detailed Solution for HPCL Electrical Engineer Mock Test - 1 - Question 21

Concept:

  • For negative feedback OP-AMP, the virtual ground concept is applicable (VNI = VI).
  • The input current in an OP-AMP is zero due to infinite input resistance.

Calculation:

From circuit,

HPCL Electrical Engineer Mock Test - 1 - Question 22

False turn-on of SCR by large dv/dt can be prevented by using a _______ with the SCR.

Detailed Solution for HPCL Electrical Engineer Mock Test - 1 - Question 22

dv/dt Protection:

  • When the SCR is forward biased, junctions J1 and J3 are forward biased and junction J2 is reverse biased. This reverse biased junction J2 exhibits the characteristics of a capacitor.
  • If the rate of forward voltage applied is very high across the SCR, charging current flows through the junction J2 is high. This current is enough to turn ON the SCR even without any gate signal.
  • This is called as dv/dt triggering of the SCR. This can be reduced by using RC snubber network across the SCR.
  • A snubber circuit consists of a series combination of resistance Rs and capacitance Cs in parallel with the thyristor.
  • False turn – ON of an SCR by large dv/dt, even without application of gate signal can be prevented by using a snubber circuit.

HPCL Electrical Engineer Mock Test - 1 - Question 23

Detailed Solution for HPCL Electrical Engineer Mock Test - 1 - Question 23

The Correct Answer is option (3)

Generally, the diameter of the conductor can be calculated by,

D = (2n - 1)d

Where D = Diameter of n-layered stranded conductor

d = Diameter of each strand.

HPCL Electrical Engineer Mock Test - 1 - Question 24

A 4-pole, 3-phase star connected alternator has 48 slots. The coil span is 120 electrical degrees. Determine the coil span factor.

Detailed Solution for HPCL Electrical Engineer Mock Test - 1 - Question 24

Coil span factor or pitch factor (Kp):

  • The coil span factor or pitch factor is defined as the ratio of the voltage generated in the short-pitch coil to the voltage generated in the full-pitch coil.
  • When the coil span is equal to 180° electrical, it is known as the full pitched coil.
  • When the coil span is less than 180° electrical, it is known as the short-pitched coil.

The coil span factor is given by:

where, α = short pitching angle

Calculation:

α = 180° - 120°

α = 60°

KP = 0.866

HPCL Electrical Engineer Mock Test - 1 - Question 25

Gas-insulated substation is smaller than conventional substation because of:

1. high insulation property of SF6 gas

2. high dielectric property of SF6 gas

3. high electronegative property of SF6 gas

Detailed Solution for HPCL Electrical Engineer Mock Test - 1 - Question 25

Gas-insulated substation:

A gas-insulated substation (GIS) is a high voltage substation in which the major conducting structures are contained within a sealed environment with a dielectric gas known as SF6, or sulfur hexafluoride gas as the insulating medium.

The total space required for a GIS is roughly one-tenth of that needed for a conventional substation.

The gas-insulated substation is smaller than the conventional substation because of:

  1. The high insulation property of SF6 gas
  2. The high dielectric property of SF6 gas
  3. The high electronegative property of SF6 gas
HPCL Electrical Engineer Mock Test - 1 - Question 26

A two-input logic gate is giving low output when both the inputs are low. For all other input conditions, the output is high. Select the correct logic gate.

Detailed Solution for HPCL Electrical Engineer Mock Test - 1 - Question 26

The correct answer is option '1'.

Concept:

OR GATE:

The output is low only when all the inputs are low.

Symbol:

Truth Table:

Output Equation: Y = A + B

For a three-input OR gate, if one of the inputs is high, the output is high.

HPCL Electrical Engineer Mock Test - 1 - Question 27

Match the following:

Detailed Solution for HPCL Electrical Engineer Mock Test - 1 - Question 27

AC Waveform:

  • AC waveform is a representation of how alternating current (AC) varies with time.
  • The most familiar AC waveform is the sine wave, which derives its name from the fact that the current or voltage varies with the sine of the elapsed time.
  • So it can be defined as a Quantity that varies sinusoidally with time.
  • The sine wave is unique in that it represents energy entirely concentrated at a single frequency.
  • Other common AC waveforms are the square wave, the ramp, the sawtooth wave, and the triangular wave.
  • Their general shapes are shown below.

Skin Effect:

  • The non-uniform distribution of electric current over the surface or skin of the conductor carrying alternating current is called the skin effect.
  • In other words, the skin effect can be defined as the tendency of a high-frequency current to crowd towards the surface of a conducting material.
  • The ohmic resistance of the conductor is increased due to the concentration of current on the surface of the conductor.

  • Skin effect increases with the increase in frequency.
  • At low frequencies, such as 50 Hz, there is a small increase in the current density near the surface of the conductor; but, at high frequencies, such as radio frequency, practically the whole of the currents flows on the surface of the conductor.
  • If d.c current (frequency = 0 Hz) is passed in a conductor, the current is uniformly distributed over the cross-section of the conductors.

 

Phasor:

  • Phasor Diagrams are a graphical way of representing the magnitude and directional relationship between two or more alternating quantities with time.
  • Sinusoidal waveforms of the same frequency can have a Phase Difference between themselves which represents the angular difference between the two sinusoidal waveforms.
  • Also, the terms “lead” and “lag”, as well as “in-phase” and “out-of-phase”, are commonly used to indicate the relationship of one sinusoidal waveform to another.
  • The generalized sinusoidal expression given as A(t) = Am sin(ωt ± Φ) represents the sinusoid in the time-domain form.
  • The phasor diagram of a sinusoidal waveform is shown below

  • The phasor diagram is drawn corresponding to time zero (t = 0) on the horizontal axis.
  • The lengths of the phasors are proportional to the values of the voltage, (V) and the current, (i) at the instant in time that the phasor diagram is drawn.
  • The current phasor lags the voltage phasor by the angle, Φ, as the two phasors rotate in an anticlockwise direction as stated earlier, therefore the angle, Φ is also measured in the same anticlockwise direction.
HPCL Electrical Engineer Mock Test - 1 - Question 28
Which of the following with regard to an ideal transformer is INCORRECT?
Detailed Solution for HPCL Electrical Engineer Mock Test - 1 - Question 28

Ideal Transformer:

The transformer which is free from all types of losses is known as an ideal transformer. It is an imaginary transformer that has no core loss, no ohmic resistance, and no leakage flux. The ideal transformer has the following important characteristics.

  • The resistance of their primary and secondary winding becomes zero
  • The core of the ideal transformer has infinite permeability
  • The infinite permeable means less magnetizing current requires for magnetizing their core
  • The leakage flux of the transformer becomes zero, i.e. the whole of the flux induces in the core of the transformer links with their primary and secondary winding
  • The ideal transformer has 100 percent efficiency, i.e., the transformer is free from hysteresis and eddy current loss.
HPCL Electrical Engineer Mock Test - 1 - Question 29

The magnetic flux Φ(in Web) linked with a single turn coil at an instant of time t (in second) is given by Φ(t) = 2t2 – 20t + 40. The induced EMF in the coil at the instant t = 2 seconds is

Detailed Solution for HPCL Electrical Engineer Mock Test - 1 - Question 29

Concept:

Faraday's laws of Electromagnetic Induction;

Statement1: There should be a change in flux linkage with the coil in order to induce emf in it.

Statement2: The magnitude of the induced emf is proportional to the rate of change of flux linkage.

Mathematically given by,

But  ⇒ flux linkages (Wb – turns)

∴ 

Where,

 = Rate of changes in flux (Wb/sec)

N = Number of turns

e = induced emf in the coil (volt)

The negative sign is due to the Lenz’s law

Dynamically induced emf: Examples are Motors and generators

Statistically induced emf: Examples are Transformers

Calculation:

Given:

Φ(t) = 2t2 – 20t + 40, N = 1 turn

Emf generated

E = 20 - 4t

At t = 2 sec

E = 20 - 8 = 12V

HPCL Electrical Engineer Mock Test - 1 - Question 30

Match the following:

Instrument type

P) Permanent magnet moving coil

Q) Moving iron connected through current transformer

R) Rectifier

S) Electrodynamometer

Used for

1. DC only

2. AC only

3. DC and AC

Detailed Solution for HPCL Electrical Engineer Mock Test - 1 - Question 30
  • Permanent Magnet Moving Coil (PMMC) is only used for DC measurements.
  • Moving Iron (MI) type instruments can be used for both AC & DC measurements. But Moving Iron connected through current Transformer block DC supply. So that Moving Iron connected through current Transformer are only used for AC measurements.
  • Rectifier type instruments are used for both AC & DC measurements.
  • Induction type instruments are only used for AC measurements.
View more questions
Information about HPCL Electrical Engineer Mock Test - 1 Page
In this test you can find the Exam questions for HPCL Electrical Engineer Mock Test - 1 solved & explained in the simplest way possible. Besides giving Questions and answers for HPCL Electrical Engineer Mock Test - 1, EduRev gives you an ample number of Online tests for practice
Download as PDF