A RL high-pass filter can be represented by the circuit where R is the internal resistance of the inductor

The frequency at which
is _____Hz
The doping material for an N-type semiconductor is
A device whose characteristics are very close to that of an ideal voltage source is a
______ is the maximum reverse voltage that can be applied to the pn junction ______ to the junction.
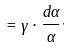
The common collector current gain (γ) of BJT is 10. Now if the common-base current gain (α) charges 0.5% from its nominal value, then the percentage change in the common-emitter current gain (β) will be
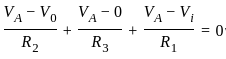
Find the node voltage at node 1 in the following circuit.

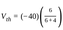
What values of Rth and Vth will cause the circuit of figure (B) to be the equivalent circuit of figure (A)?

Check the system with characteristic equation F(s) = s4 + 3s3 + 2s2 + s + 1 for stability.
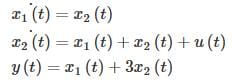
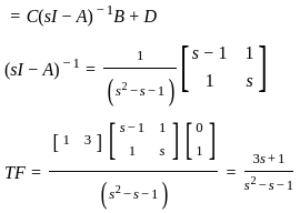
A linear time invariant system with input u(t) and output y(t) is described by the state space representation as given below.

The transfer function of the system is
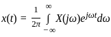
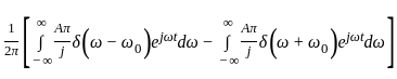
The Fourier transform of a signal is as shown:

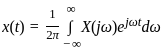
The signal in the time domain is:
Which of the following signals are continuous and can vary in wide range of values?
The circuit shown in the figure below works as a 2-bit analog to digital converter for 0 ≤ Vin ≤ 3 V.
The MSB of the output Y1, expressed as a Boolean function of the inputs X1, X2, X3 is given by

A state diagram of a logic gate which exhibits delay in the output is shown in the figure, where X is the don’t care condition and Q is the output representing the state

The logic gate represented by the state diagram is
In which type of power amplifier does the output current flow for the entire cycle of input signal?
Match List-I (Scheme of Feedback) with List-II (Performance Measure) and select the correct answer using the code given below:

The reflection coefficient has minimum magnitude at _________

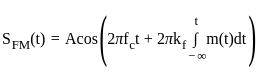
An FM modulation with frequency sensitivity constant kf = 25 Hz/V has the message signal shown below:

The plot for frequency deviation is:
The average age of 30 students is 9 years. If the age of their teacher is included, the average age becomes 10 years, The age of the teacher (in years) is _____.
Directions: In the following question, some part of the sentence may have errors. Find out which part of the sentence has an error and select the appropriate option. If a sentence is free from error, select 'No Error'.
Neither Rohit nor his friend/(A) was doing their/(B) work properly./(C) No Error(D)Which of the following is not true about the water made available through dams?
Select the most appropriate synonym of the given word.
Prosper
In the following question, select the odd letter/letters from the given alternatives.
Direction: In the following question from the given alternatives select the word which cannot be formed using the letters of the given word.
'GRASSHOPPER'
In the following question below some statements are given followed by some conclusions. Taking the given statements to be true even if they seem to be at variance from commonly known facts, read all the conclusions, and then decide which of the given conclusions logically follows the given statements.
Statements:
Some A are B.
All B are C.
No A are D.
Conclusions:
I. Some A are C.
II. Some B are D.
III. Some D are A.
IV. Some C are not D.