A source of 10 V with an internal resistance of 5 Ω is to be connected through a converter to a load of 20 Ω. For maximum power transfer, what should be the turns ratio of the converter?
The value of transconductance at a bias voltage of 0 V for the JFET which is having IDSS= 9 mA and Vp = -3V is
Which of the following statements are correct in association with the superposition theorem?
a) It is applicable to the network having more than one source.
b) It is used to determine the current in a branch or voltage across the branch.
c) It is applicable to direct current circuits only.
d) It is applicable to networks having linear and bilateral elements.
Select the correct answer using the code given below:
For the circuit shown in the figure, the value of current i(t) is _____

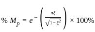
For the unit step response of second order system following statements are given:
(A) Delay time is the time required for the response to reach 60% of the final value in first attempt
(B) Settling time is the time required for the response to reach and stay within (2% or 5%) tolerance band of its final value
(C) Delay time is the time required for the response to reach 50% of the final value in first attempt
(D) Settling time is the time required for the response to reach and stay withing 15% of the final value
Which of the above are correct?
Choose the correct answer from the options given below:
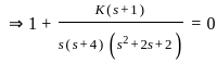
Consider a control system with characteristic equation s(s + 4) (s2 + 2s+ 2) + K(s + 1) = 0. The intercept of the asymptotes in the root loci of the given system is
A signal x(t) having a frequency component up to 20 kHz is sampled at a rate of 38 kHz and reconstructed through an LPF with unity gain and a cutoff frequency of 25 kHz. Which of the following statement is true?
How many comparators would a 12-bit flash ADC require?
Which of the following IC logic families has the highest fan-out?
Simply the following expression
A̅B̅C̅D + AB̅C̅D + BD + BCD̅
Hall effect can be used to measure
Arrange the procedure of PMOS fabrication in ascending order
A current controlled current source (CCCS) has an input impedance of 10 Ω and output impedance of 100 kΩ. When this CCCS is used in a negative feedback closed loop with a loop gain of 9, the closed loop output impedance is
Configuration of two transistors in which collectors are connected and emitter of first drives base of second, it achieves beta multiplication is called
On a transmission line with standing waves, the distance between two adjacent maxima points of any wave is:
A carrier is modulated to a depth of 40%. The percentage increase in the transmitted power is
In the communication system, if for a given rate of information transmission requires channel bandwidth, B1 and signal-to-noise ratio SNR1. If the channel bandwidth is doubled for same rate of information then a new signal-to-noise ratio will be
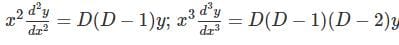
The complementary function of x² (d²y/dx²) - x (dy/dx) + y = 2x log x is _____
In the following questions, Find the similar letter from the given alternatives
GJBL : TUXF