Electronics and Communication Engineering (ECE) Exam  >  Electronics and Communication Engineering (ECE) Tests  >  BEL Trainee Engineer Electronics Mock Test - 4 - Electronics and Communication Engineering (ECE) MCQ

BEL Trainee Engineer Electronics Mock Test - 4 - Electronics and Communication Engineering (ECE) MCQ


Test Description

30 Questions MCQ Test - BEL Trainee Engineer Electronics Mock Test - 4

BEL Trainee Engineer Electronics Mock Test - 4 for Electronics and Communication Engineering (ECE) 2025 is part of Electronics and Communication Engineering (ECE) preparation. The BEL Trainee Engineer Electronics Mock Test - 4 questions and answers have been prepared according to the Electronics and Communication Engineering (ECE) exam syllabus.The BEL Trainee Engineer Electronics Mock Test - 4 MCQs are made for Electronics and Communication Engineering (ECE) 2025 Exam. Find important definitions, questions, notes, meanings, examples, exercises, MCQs and online tests for BEL Trainee Engineer Electronics Mock Test - 4 below.
Solutions of BEL Trainee Engineer Electronics Mock Test - 4 questions in English are available as part of our course for Electronics and Communication Engineering (ECE) & BEL Trainee Engineer Electronics Mock Test - 4 solutions in Hindi for Electronics and Communication Engineering (ECE) course. Download more important topics, notes, lectures and mock test series for Electronics and Communication Engineering (ECE) Exam by signing up for free. Attempt BEL Trainee Engineer Electronics Mock Test - 4 | 100 questions in 120 minutes | Mock test for Electronics and Communication Engineering (ECE) preparation | Free important questions MCQ to study for Electronics and Communication Engineering (ECE) Exam | Download free PDF with solutions
BEL Trainee Engineer Electronics Mock Test - 4 - Question 1

Resolution of a pulsed radar can be improved by

Detailed Solution for BEL Trainee Engineer Electronics Mock Test - 4 - Question 1

Concept:

Resolution of a pulsed radar is defined as:

 

Where,

ΔR = Resolution of pulsed Radar

C = Speed of light

τ = pulse width

Observation: We can observe that the resolution of a pulsed radar can be increased by increasing

the pulse width.

Important Point:

  • The resolution of a pulsed radar system is the ability to distinguish the target on the same bearing but at a different range.
  • It generally depends on the pulse width, the types and size of the transmitted targets, and the efficiency of the receiver and indicator
BEL Trainee Engineer Electronics Mock Test - 4 - Question 2

What is the resistance of the coil whose time constant is 2 and value of its inductor is 15 H?

Detailed Solution for BEL Trainee Engineer Electronics Mock Test - 4 - Question 2

Concept:

The coil is a circuit with Resistance and Inductance connected in series as shown:

The time constant is defined as the time required for the circuit to reach 63% of the final value (steady-state value).

The time constant of the above L-R circuit is:

Calculation:

Given,

L = 15 H

τ = 2 sec

With 

R = 7.5 Ω 

Note:

For a series RC circuit, the time constant (τ) is given by:

τ = RC

BEL Trainee Engineer Electronics Mock Test - 4 - Question 3

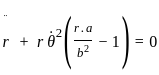
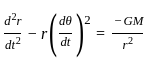
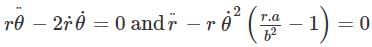
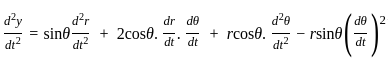
Pair of differential equations that describes the motion of planet about sun using first two laws of Kepler is given as:

Detailed Solution for BEL Trainee Engineer Electronics Mock Test - 4 - Question 3

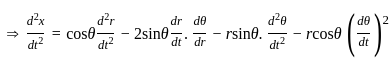
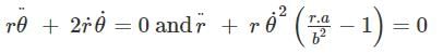
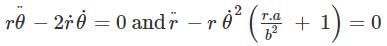
The differential equation describing the motion of the planet are bets analyzed in a polar coordinate system.

The velocity v of the planet can now be analyzed into a component Vr along the vector r and a component Vo perpendicular to Vr. The relationship between Cartesian and polar coordinates for the position of the particle, as shown in the figure, is described by the following equations.

x = r cos θ ----(1)

y = r sin θ ----(2)

The first and second derivatives of the above two results in the following relationships:

 ----(3)

 ----(4)

Differentiating equation (3) again we get

 ----(5)

Similarly differentiation equation (4),

 ----(6)

Substituting equations (5) and (6) into equation (3) and (4) we get

 ----(7)

 ----(8)

To simplify equation (7) and (8) we multiply (7) by cos θ and equation (8) by sin θ. Then summing them up we get:

 ----(9)

Now, we multiply equation (7) by sin θ and (8) by cos θ and then subtracting them we get;

For an elliptical orbit, equation (9) will become;

So, Option (1) is correct.

BEL Trainee Engineer Electronics Mock Test - 4 - Question 4
The band gap in a material is 1 eV; the corresponding wavelength emitted is ______.
Detailed Solution for BEL Trainee Engineer Electronics Mock Test - 4 - Question 4

Concept:

The freq. and wavelength are related by the relation:

 

Also, the energy of a photon with wavelength (λ) is given by:

 

Where,

h : Planck’s constant = 6.626 × 10-34 Js

c : 3 × 108 m/sec

 

 

      ------(1)

Calculation:

Given:

E = 1 eV

From equation (1)

 

λ = 1.24 μm

BEL Trainee Engineer Electronics Mock Test - 4 - Question 5


The control system illustrated in the figure is an example of a/an:

Detailed Solution for BEL Trainee Engineer Electronics Mock Test - 4 - Question 5

Man–machine control system is a system in which the functions of a human operator (or a group of operators) and a machine are integrated. A manual system consists of hand tools and other aids which are coupled by a human operator who controls the operation. Operators of such systems use their own physical energy as the power source. In given figure we can see Mans hand and foot are working as actuator. An actuator is a component of a machine that is responsible for moving and controlling a mechanism or system or an actuator is a device that uses a form of power to convert a control signal into mechanical motion. Through hand we are controlling the steering motion and through foot we are controlling accelerometer and brake system. Since in this system controlling action is performed by man so it is Man controlled system.

BEL Trainee Engineer Electronics Mock Test - 4 - Question 6

Consider a rectangular waveguide along z-axis with b much greater than a, where a is the width along x-axis and b is height along the y-axis. In TEmm mode three field components are significant. They are

Detailed Solution for BEL Trainee Engineer Electronics Mock Test - 4 - Question 6

There are two types of waves in a hollow waveguide with only one conductor:

  • Transverse electric waves (TE-waves). E = (Ex, Ey, 0) and H = (Hx, Hy, Hz).
  • Transverse magnetic waves (TM-waves). E = (Ex, Ey, Ez) and H = (Hx, Hy, 0).
  • They need to satisfy Maxwell’s equations and boundary conditions. The boundary conditions are that the tangential components of the electric field and the normal derivative of the tangential components of the magnetic field is zero at the boundary.

For TE-waves, when Ez is zero, the electromagnetic fields are obtained from Hz. The spatial dependence of these components are:

For ‘b > a’ we can observe that only Ey, Hx, and Hz components are significant and Ex and Hy are negligible (sin of very small value gives a small value).

BEL Trainee Engineer Electronics Mock Test - 4 - Question 7

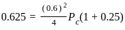
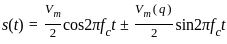
A VSB transmitter that transmits 25% of the other sideband along with the wanted sideband radiates 0.625 kW when the modulation percentage is 60%. If we want to transmit the same message by an AM transmitter then the carrier power (in kW) required is 

Detailed Solution for BEL Trainee Engineer Electronics Mock Test - 4 - Question 7

Concept:

VSB modulation is the process where a part of a signal called vestige is modulated along with one of the sidebands.

A VSB signal is plotted as shown in the following figure:

A guard band is a very small frequency width used to avoid interference.

The mathematical representation of the VSB wave is:

Vm, q = Quardature component of Vm.

fc = Carrier frequency

Power relation in VSB wave:

F = represents a fraction

K = modulation index

Calculation:

Given that:

PVSB = 0.625, K = 60% = 0.6, F = 25% = 0.25

PC = ?

Then:

Option (2) correct.

More information:

BEL Trainee Engineer Electronics Mock Test - 4 - Question 8
In a carrier system, the frequency frogging is used to ________
Detailed Solution for BEL Trainee Engineer Electronics Mock Test - 4 - Question 8

Frequency Frogging :

The interchanging of the frequencies of carrier channels to accomplish following purposes

  • Prevent feedback
  • Reduce Crosstalk
  • Prevent Oscillations
  • Correct high frequency responses

Frequency frogging is accomplished by modulators.

It provides constant attenuation.

Hence correct option is "1" 

BEL Trainee Engineer Electronics Mock Test - 4 - Question 9

The performance of a self-bias circuit can be improved by selecting:

Detailed Solution for BEL Trainee Engineer Electronics Mock Test - 4 - Question 9

The correct answer is option 3): (Rb/Re<<1)

Concept:

Voltage divider bias or self-bias provides a highly stable operating point compared to all the other biasing circuits. It will make the collector current to be independent of temperature, base-to-emitter voltage, and β.

The goal of transistor biasing is to establish a known quiescent operating point or Q-point for the bipolar transistor to work efficiently and produce an undistorted output signal. β of a transistor is affected by temperature and other factors. This results in a change in the collector current, which shifts the operating point of the transistor.

For self-bias,

Stability factor S

The extent to which the collector current Ic is stabilized with varying IcoIC is measured by a stability factor S.

S = 

The value of S is equal to one if the ratio RB/RE is very small as compared to 1.

As this ratio becomes comparable to unity, and beyond towards infinity, the value of the stability factor goes on increasing till S = 1 + β.

This improvement is the stability up to a factor equal to 1 is achieved at the cost of power dissipation.
(1+β)(1+RBRE)(1+β+RBRE)

BEL Trainee Engineer Electronics Mock Test - 4 - Question 10
The characteristic of an LTI system is completely characterized by its
Detailed Solution for BEL Trainee Engineer Electronics Mock Test - 4 - Question 10

The impulse response and frequency response are two attributes that are useful for characterizing the linear Time invariant (LTI) system.

A continuous-time LTI system is usually shown as:

y(t) = x(t) * h(t)

* - represents the convolution

  • LTI system theory is also used in ‘image processing’ and “field theory”, where the LTI system has spatial dimensions instead of or in addition to the temporal dimension.
  • The fundamental result in LTI system theory is that only the LTI system can be characterized entirely by a single function called the system’s “impulse response”.
  • LTI systems can also be characterized in the frequency domain by the system’s transfer function which is the Laplace transform for continuous & z-transform in the case of a discrete system.
  • For all LTI systems, the eigenfunction and the basis functions of the transforms, are “complex exponentials”.
BEL Trainee Engineer Electronics Mock Test - 4 - Question 11
The sampling rate to reproduce analog signal should be at least
Detailed Solution for BEL Trainee Engineer Electronics Mock Test - 4 - Question 11

Sampling is the process of recording the values of a signal at given points in time. For A/D converters, these points in time are equidistant. The number of samples taken during one second is called the sample rate.

The Sampling Theorem states that a signal can be exactly reproduced if it is sampled at a frequency F, where F is greater than twice the maximum frequency in the signal.

The sampling rate for an analog signal must be at least two times as high as the highest frequency in the analog signal in order to avoid aliasing.

Conversely, for a fixed sampling rate, the highest frequency in the analog signal can be no higher than a half of the sampling rate.

Any part of the signal or noise that is higher than a half of the sampling rate will cause aliasing.

In order to avoid this problem, the analog signal is usually filtered by a low pass filter prior to being sampled, and this filter is called an anti-aliasing filter.

Sometimes the reconstruction filter after a digital-to-analog converter is also called an anti-aliasing filter.

BEL Trainee Engineer Electronics Mock Test - 4 - Question 12
A file is downloaded in a home computer using a 56 kbps MODEM connected to an Internet Service Provider. If the download of file completes in 2 minutes, what is the maximum size of data downloaded?
Detailed Solution for BEL Trainee Engineer Electronics Mock Test - 4 - Question 12

Concept:-

An Internet service provider (ISP) is a company that provides web access to both businesses and consumers. ISPs may also provide other services such as email services, domain registration, web hosting, and browser services.

Bandwidth is the data transfer capacity of a computer network in bits per second (Bps). The term may also be used colloquially to indicate a person's capacity for tasks or deep thoughts at a point in time.

Analysis:

A file is downloaded to a home computer using 56 kbps. Bandwidth=56 kbps.

i.e the Speed of MODEM is B = 56 kbps

2 minutes = 2 * 60 seconds 

Formula:

File Size= Time * Speed of Modem or Bandwidth

Calculation:

File Size= 2* 60* 56 K bits

File Size= 6720 k bits

File Size= 6720 /1024 M bits (converting kb to Mb by dividing 1024 )

File size= 6.56 M bits.

Hence the correct answer is 6.72 Mbits.

Additional Information

  • 1-Bit = 1 Bit
  • 1-Nibble = 4 Bits
  • 1-Byte =8 Bits
  • 1-Kilobyte=  1024 Bytes
  • 1-Megabyte = 1024 Kilobytes
  • 1-Gigabyte = 1024 Megabytes
  • 1-Terrabyte = 1024 Gigabytes
  • 1-Petabyte = 1024 Terabytes
  • 1-Exabyte = 1024 Petabytes
  • 1-Zettabyte =1024 Exabytes
  • 1-Yottabyte = 1024 Zettabytes
BEL Trainee Engineer Electronics Mock Test - 4 - Question 13
Which of the following is true about PLC and SCADA:
Detailed Solution for BEL Trainee Engineer Electronics Mock Test - 4 - Question 13

PLC and SCADA:

  • The primary difference between a PLC (Programmable Logic Controller) and SCADA (Supervisory Control and Data Acquisition) is that a PLC is hardware and SCADA is software.
  • PLCs are designed to control complex industrial processes, such as controlling electrical machines.
  • They are simple to program and fully scalable to an operation’s requirements.
  • They’re also used to collect data from the systems they control.
  • SCADA is a central system used to monitor and run the processes.
  • SCADA is typically software installed on a computer, and one of its major functions is to act as an interface with industrial machines (or Human-Machine Interface, or HMI).
  • SCADA systems are often used in conjunction with PLCs and other devices.
  • Data from PLCs and Remote Terminal Units (RTUs) are relayed to the system, and commands are entered into the HMI to make adjustments to the processes they control.
BEL Trainee Engineer Electronics Mock Test - 4 - Question 14

In the circuit shown below, the reading of the ideal ammeter and voltmeter, respectively, will be:

Detailed Solution for BEL Trainee Engineer Electronics Mock Test - 4 - Question 14

The correct answer is option 2):(2 A and 0 V)

Concept:

The resistance of the ideal ammeter is zero

When two resistors are connected in series the total resistance will be the sum of individual resistors

The current I =

Calculation:

Given

R =  2+ 3 = 5

I = 

= 10/5 = 2A

The voltmeter is connected across the ammeter so there is a voltage drop in the ammeter because The resistance of the ideal ammeter is zero

Voltmeter reads zero.

In the circuit shown below, the reading of the ideal ammeter and voltmeter, respectively, will be 2 A and 0 V.

BEL Trainee Engineer Electronics Mock Test - 4 - Question 15
The two basic components of a CPU are: 
Detailed Solution for BEL Trainee Engineer Electronics Mock Test - 4 - Question 15

The correct answer is option 2.

Concept:

The two basic components of a CPU are the Arithmetic Logic Unit and Control Unit.

arithmetic logic unit (ALU):

The arithmetic logic unit (ALU) is responsible for the computer's arithmetic and logical functions. The input data is held in the A and B registers, and the result of the operation is received in the accumulator. The instructions for the ALU are stored in the instruction register.

Control unit:

A control unit, or CU, is circuitry within a computer's CPU that guides operations. It instructs the logic unit, memory, and both input and output devices of the computer on how to respond to program instructions. CPUs and GPUs are examples of devices that use control units.

Hence the correct answer is Arithmetic Logic Unit and Control Unit.

BEL Trainee Engineer Electronics Mock Test - 4 - Question 16
As compared to parallel adder, serial adder
Detailed Solution for BEL Trainee Engineer Electronics Mock Test - 4 - Question 16

Parallel Adder:

  • Parallel adder is a combinational circuit that adds every bit position of operand at the same time using 'n' full adders.
  • It requires no clock pulse. It uses registers with parallel out capacity.

Serial Adder:

  • Serial adder is a sequential circuit that adds one bit at a time, hence slower.
  • It requires one full adder, shift register to load bits one by one.
BEL Trainee Engineer Electronics Mock Test - 4 - Question 17

Direction: Out of four alternatives,choose the one which can be substituted for the given words/sentence.

A person coming to a foreign land to settle there

Detailed Solution for BEL Trainee Engineer Electronics Mock Test - 4 - Question 17

immigrant : a person who has come to live permanently in a country

BEL Trainee Engineer Electronics Mock Test - 4 - Question 18

Direction: In the following questions choose the word opposite in meaning to the given word.

Appreciation

Detailed Solution for BEL Trainee Engineer Electronics Mock Test - 4 - Question 18

The meaning of word Appreciation (Noun) is: Thankfulness. It’s antonym should be: Aspersions, e.g, to criticize harshly.

BEL Trainee Engineer Electronics Mock Test - 4 - Question 19

No word must ever leak out about this plan! It has to be a clandestine operation in order to succeed. Which word is a synonym of "clandestine"?

Detailed Solution for BEL Trainee Engineer Electronics Mock Test - 4 - Question 19

Clandestine means kept secret or done secretively, especially because illicit

The clandestine meeting took place in his house in the dead of night
The retailers also engaged in clandestine hoarding of pulses to artificially increase its price

BEL Trainee Engineer Electronics Mock Test - 4 - Question 20

India's Founding Fathers strongly believed in women's suffrage. In other countries, only men could vote until mid 20th century. What is “suffrage”?

Detailed Solution for BEL Trainee Engineer Electronics Mock Test - 4 - Question 20

Suffrage means "the right to vote in political elections"

She also was involved in the national temperance and women's suffrage movements
The system of universal suffrage did not exist in the United Kingdom until 1928

BEL Trainee Engineer Electronics Mock Test - 4 - Question 21

Direction: In this question, you need to replace the bold part of the sentence with the most suitable idiom / expression given as option.

The Chairman of our company takes care of the ordinary workers in the company.

Detailed Solution for BEL Trainee Engineer Electronics Mock Test - 4 - Question 21

The Chairman of our company takes care of the ordinary workers in the company.

The best idiom to replace ordinary workers is rank and file. This term refers to the regular members of an organisation, specifically those who are not in leadership or management roles.

  • Rank and file represents the majority of employees.
  • This phrase highlights the importance of these workers.
  • It is commonly used in discussions about workforce dynamics.

Thus, the Chairman’s consideration for the rank and file shows his commitment to the entire workforce.

BEL Trainee Engineer Electronics Mock Test - 4 - Question 22

Speed of Internet is measured in

Detailed Solution for BEL Trainee Engineer Electronics Mock Test - 4 - Question 22

Speed of Internet is measured in Gbps. 1 Gbps or “a gig” is 10 times faster and equal to 1,000 Mbps.

Key Points

  • Speed of Internet is measured in Megabits per second.
  • A megabit is 1 million bits of information.
  • This is a standard measure of internet speed and 1 Mbps is 1,000 times faster than 1 Kbps.
  • Not to be confused with megabytes (MB) which is a measure of size rather than bandwidth.
  • Because a megabyte is larger than a megabit, and to avoid confusion, MB/s is not used to denote internet speeds.
  • Breaking it down, a Giga speed connection means that you can download 1000 megabits of data per second, which is 100x faster than your average broadband connection.

Hence, Option 2 is the correct answer.

BEL Trainee Engineer Electronics Mock Test - 4 - Question 23

MS-PowerPoint 2016 has several tools to help you manage and organize the content on your slides. Which of the following are such tools?

(i) Ruler

(ii) Gridlines

Detailed Solution for BEL Trainee Engineer Electronics Mock Test - 4 - Question 23

The correct answer is Both (i) and (ii)

Key PointsRuler and Gridlines are tools offered in MS-PowerPoint 2016 to help users manage and organize the content on their slides. The ruler is used to measure and line up objects, while gridlines help position text and media objects with greater accuracy by providing a visual grid on the slides.

BEL Trainee Engineer Electronics Mock Test - 4 - Question 24

An audio output unit

Detailed Solution for BEL Trainee Engineer Electronics Mock Test - 4 - Question 24
An audio output unit
An audio output unit refers to a device that produces sound or audio output. Here are some key points to understand about audio output units:
1. Can speak out small range of digits and specified words:
- Audio output units are capable of producing sound in the form of spoken words and digits.
- They can be programmed to speak out specific words or digits, such as phone numbers, addresses, or other predetermined information.
2. Is not used in information system:
- This statement is incorrect. Audio output units are commonly used in information systems to provide auditory feedback or instructions to users.
- For example, automated phone systems often use audio output units to provide instructions or read out options to callers.
3. Is very expensive and is thus not used:
- This statement is also incorrect. Audio output units come in a wide range of prices, depending on their complexity and capabilities.
- While some high-end audio output units may be expensive, there are also many affordable options available in the market.
4. Is normally used to give only background music:
- This statement is incorrect. While audio output units can be used to play background music, their functionality extends far beyond that.
- They are commonly used in various applications such as multimedia systems, gaming consoles, public announcement systems, and more.
In conclusion, an audio output unit is a versatile device used for producing sound or audio output. It can speak out a small range of digits and specified words, is commonly used in information systems, comes in a wide range of prices, and can be used for various purposes beyond playing background music.
BEL Trainee Engineer Electronics Mock Test - 4 - Question 25

What is the name for a web page address?

Detailed Solution for BEL Trainee Engineer Electronics Mock Test - 4 - Question 25

URL is the name for a web page address.

  1. URL stands for Uniform Resource Locator.
  2. Every web page that is displayed on the Internet has a specific address associated with it. This address is known as the URL. It tells us the location of the web page being displayed and other related information.
  3. As the postal address is required to reach a letter to a person staying anywhere on earth, a unique location (address) of a web element which may be a website or a web page is required in the World Wide Web to view it in the browser. This unique address of the web elements is referred to as a URL.
  4. The URL consists of four basic parts, namely, server type, hostname, the folder name, and the filename. Each one of these has a specific function.
  5. The “server type” indicates the type of Internet server (Protocol) being accessed. The server type is always followed by “://” and the hostname.
  6. The hostname is the Internet address of a remote computer on which the files reside.
  7. The folder name indicates the name of the directory in which the files are located.
  8. The filename specifies the name of the specific document to be displayed in the browser. The filename itself consists of two pieces of information, the name of the file to be displayed and the file extension, which specifies the file type (.htm for HTML file, .txt for a text file, .bmp for a bitmap image, etc.) 
  9. The structure of a URL can be represented as follows: Server type://Hostname/directory/sub-directory/.../filename
  10. Example Of URL: www.testbook.com

Thus, option 4 is the correct answer.

 Additional Information

Directory

  • A web directory or link directory is an online list or catalog of websites.
  • That is, it is a directory on the World Wide Web of (all or part of) the World Wide Web.
  • Historically, directories typically listed entries on people or businesses, and their contact information; such directories are still in use today.
  • A web directory includes entries about websites, including links to those websites, organized into categories and subcategories.
  • Besides a link, each entry may include the title of the website and a description of its contents. In most web directories, the entries are about whole websites, rather than individual pages within them (called "deep links"). Websites are often limited to inclusion in only a few categories.

Folder:

  •  A digital folder has the same purpose as a physical folder – to store documents.
  • Computer folders can also store other types of files, such as applications, archives, scripts, and libraries. Folders can even store other folders, which may contain additional files and folders. Folders are designed for organizing files.
  • For example, you might store your digital photos in a "Pictures" folder, your audio files in a "Music" folder, and your word processing documents in a "Documents" folder.

Domain

  • A domain contains a group of computers that can be accessed and administered with a common set of rules.
  • For example, a company may require all local computers to be networked within the same domain so that each computer can be seen from other computers within the domain or located from a central server.
  • Setting up a domain may also block outside traffic from accessing computers within the network, which adds an extra level of security.
BEL Trainee Engineer Electronics Mock Test - 4 - Question 26

Direction: Study the following information and answer the given questions carefully.
There are 8 persons, P, Q, R, S, T, U, V and W sitting around a rectangular table in such a way that four of them sit at four corners of the table while four sit in the middle of each of four sides. Persons who sit at the corners face outside the centre while those who sit in the middle of the side face inside.
Q sits second to the right of P. R sits third to the left of W. R faces inside. T sits third to the left of U. V sits second to the left of U. R is not an immediate neighbor of P.
Q. Four of the following five are alike in some manner hence belong to a group. Find the one that doesn’t belong to that group.

Detailed Solution for BEL Trainee Engineer Electronics Mock Test - 4 - Question 26

From the final arrangement, we get, R doesn’t belong to that group as except for R, all the others are facing outside.
Hence, Option D is correct.
References:
Q sits second to the right of P.
Inferences:
From the above reference, we get two different cases:
In case 1, P sits at the corner or in the middle of the side of the table.

References:
R is not an immediate neighbor of P.
R faces inside.
R sits third to the left of W.
Inferences:
From the above references, we get different cases for R, in case 1(a) in which R faces P and in case 1(b) R faces Q.

References:
T sits third to the left of U.
V sits second to the left of U.
Inferences:
So, from this case 1(b) and case 2 will be eliminated as there is no possible place for V in these cases after placing U and T. Hence, we get our final arrangement in which S sits on the immediate left of P and V sits on the immediate right of R.
Final arrangement:

BEL Trainee Engineer Electronics Mock Test - 4 - Question 27

Directions: Each of the following consists of a question and two statements numbered I and II given below it. You have to decide whether the data provided in the statements are sufficient to answer the question:

Among six boxes – S, T, U, V W, and X were placed from top to bottom in rack where the bottom-most rack is numbered 1. Which box is placed on the 3rd from the bottom?
Statement I:
S is placed 3 boxes above V. One box is placed between U and W, which is placed in even rack. As many boxes are above U is below T, which is not placed in the bottom rack.
Statement II: As many boxes are placed above W is same as below X. U is placed immediately above T and immediately below S.
 

Detailed Solution for BEL Trainee Engineer Electronics Mock Test - 4 - Question 27

From Statement I:  From this statement, we have three possible scenarios as shown:


Clearly, Statement I alone is insufficient to answer the question.

From Statement II:

From this statement, we get the following table


Clearly, Statement II alone is not sufficient to answer the question.

Now combining both the statements, we get,


Hence, option D is the correct answer.

BEL Trainee Engineer Electronics Mock Test - 4 - Question 28

If a Paper (Transparent Sheet ) is folded in a manner and a design or pattern is drawn. When unfolded this paper appears as given below in the answer figure. Choose the correct answer figure given below.

Which one of the four boxes given below is created by folding the given key design in the question figure?

Question Figure

Answer Figure

Detailed Solution for BEL Trainee Engineer Electronics Mock Test - 4 - Question 28

BEL Trainee Engineer Electronics Mock Test - 4 - Question 29

If ROSE is coded as 6821, CHAIR is coded as 73456 and PREACH is coded as 961473, then what will be the code for SEARCH?

Detailed Solution for BEL Trainee Engineer Electronics Mock Test - 4 - Question 29

The logic followed is:

ROSE is coded as 6821

CHAIR is coded as 73456

PREACH is coded as 961473

Therefore SEARCH will be written as

Hence, the correct answer is "214673".

BEL Trainee Engineer Electronics Mock Test - 4 - Question 30

Which one of the answer figures shall complete the given question figure?

Detailed Solution for BEL Trainee Engineer Electronics Mock Test - 4 - Question 30

View more questions
Information about BEL Trainee Engineer Electronics Mock Test - 4 Page
In this test you can find the Exam questions for BEL Trainee Engineer Electronics Mock Test - 4 solved & explained in the simplest way possible. Besides giving Questions and answers for BEL Trainee Engineer Electronics Mock Test - 4, EduRev gives you an ample number of Online tests for practice
Download as PDF