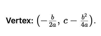
The vertex of the parabola described by ax² + bx + c can be found at the coordinates ___ and ___. | Card: 7 / 16 |
![]() Unlock all Flashcards with EduRev Infinity Plan Starting from @ ₹99 only |
For the quadratic function f(x) = ax² + bx + c, the axis of symmetry is given by the line ___. | Card: 9 / 16 |
Given roots α and β, the quadratic equation can be formed as ___ using the sum and product of roots. | Card: 11 / 16 |
If a > 0 in the quadratic function f(x) = ax² + bx + c, the extremum is a ___ value. | Card: 13 / 16 |
For the function y = ax², shifting the graph right by h and up by k results in the equation ___ and ___. | Card: 15 / 16 |








