Chemistry Exam  >  Chemistry Notes  >  Physical Chemistry  >  Adiabatic Process & Degrees of Freedom

Adiabatic Process & Degrees of Freedom | Physical Chemistry PDF Download

ADIABATIC PROCESS

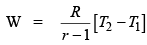
Adiabatic reversible work, heat and energy 

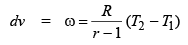
We know that         PVr = constant = K

 Adiabatic Process & Degrees of Freedom | Physical Chemistry

we know,

 Adiabatic Process & Degrees of Freedom | Physical Chemistry
Adiabatic Process & Degrees of Freedom | Physical Chemistry

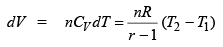
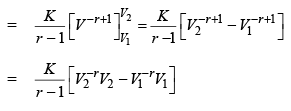
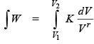
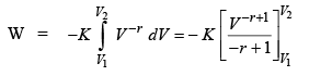
Because process is reversible than integration will possible from V1 to V2

 Adiabatic Process & Degrees of Freedom | Physical Chemistry
Adiabatic Process & Degrees of Freedom | Physical Chemistry
Adiabatic Process & Degrees of Freedom | Physical Chemistry
Adiabatic Process & Degrees of Freedom | Physical Chemistry
Adiabatic Process & Degrees of Freedom | Physical Chemistry

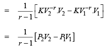
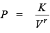
PV= K
P1V1r = K
P2V2r = K
P1 = KV1–r
P2 = KV2–r
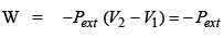
P1V1 = RT1
and P2V2 = RT2

Another way to find the work done in adiabatic process.

 We know that d∵ = dU – ω
d∵ = 0 because process is adiabatic
dU = ω
⇒ ω = dV = CVdT
and

 Adiabatic Process & Degrees of Freedom | Physical Chemistry
Adiabatic Process & Degrees of Freedom | Physical Chemistry

(B)  Adiabatic reversible heat:

d∵ = dU – w
d∵ = 0 for adiabat ic process

(C) Adiabatic reversible energy:
From first law
dq = dU – ω
∵ dq = 0
⇒ 0 = dU– ω

⇒ Adiabatic Process & Degrees of Freedom | Physical Chemistry
Adiabatic Process & Degrees of Freedom | Physical Chemistry

and Adiabatic Process & Degrees of Freedom | Physical Chemistry
Adiabatic Process & Degrees of Freedom | Physical Chemistry
Adiabatic Process & Degrees of Freedom | Physical Chemistry

 

Problem. A gas expands isothermally against a constant external pressure of 1 atm from a volume of 10 dm3 to a volume of 20 dm3. In this process it absorbs 800 J of thermal energy from its surrounding calculate DU for the process in joules (because process is irreversible) 

Sol.
W = –P(V2 – V1)
= –1 atm (20 dm3 – 10 dm3) = –10 dm3 atm
∵ R = 8.314 JK–1 mol–1 = 8.02 × 10–2 dm3 atm K–1 mol–1
∴ 1 dm3 atm =  Adiabatic Process & Degrees of Freedom | Physical Chemistry

1 dm3 atm = 1.013 × 102 J

Put this value in equation we get

W = – 10 dm3 atm
= – 10 × 1.013 × 10J = –1013 J
i.e. W = –1013 J
 

Problem.  (a)  2.0 mole of an ideal diatomic gas at 300 K and 0.507 MPa are expanded adiabatically to a final pressure of 0.203 MPa against a constant pressure of 0.101 MPa. Calculate the final temperature, q, w, ΔU & ΔH.
 Sol.
(a) For an adiabat ic process q = 0

Adiabatic Process & Degrees of Freedom | Physical ChemistryAdiabatic Process & Degrees of Freedom | Physical Chemistry
Adiabatic Process & Degrees of Freedom | Physical Chemistry

i.e.Adiabatic Process & Degrees of Freedom | Physical Chemistry Adiabatic Process & Degrees of Freedom | Physical Chemistry

CV for a diatomic molecule =   Adiabatic Process & Degrees of Freedom | Physical Chemistry

(assuming no contribution for vibration)

 Adiabatic Process & Degrees of Freedom | Physical Chemistry
Adiabatic Process & Degrees of Freedom | Physical Chemistry

Substituting the values, we get

 Adiabatic Process & Degrees of Freedom | Physical ChemistryAdiabatic Process & Degrees of Freedom | Physical Chemistry

Solving for T2, we get

 T2 = 270 K

thus 

Adiabatic Process & Degrees of Freedom | Physical Chemistry(270 K -300 K)

= –1247.1 J

Adiabatic Process & Degrees of Freedom | Physical Chemistry

= –1247.1 J + 2 mol × 8.314 JK–1 mol–1 (–30 K)
= –1745.9 J

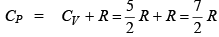
or              CP – CV = R

Adiabatic Process & Degrees of Freedom | Physical Chemistry
Adiabatic Process & Degrees of Freedom | Physical Chemistry
andAdiabatic Process & Degrees of Freedom | Physical Chemistry
Adiabatic Process & Degrees of Freedom | Physical Chemistry

= –1745.9 J

 

Note 

Degree of freedom: There are three types of degree of freedom

(1) Translat ional (2) Rotational (3) Vibrational

⇒ If total no. of atoms are N then no. of degree of freedo m is 3 N.
⇒ For any atom or molecule the degree of freedom for translat ional is three (3).
⇒ For any atom or linear mo lecule the degree o f freedom for is 2 (two) and for non linear it is three (3).
⇒ For any atom or linear mo lecule the degree of freedom for vibrat ional is (3N – 5) and for non linear it is (3N – 6).
⇒ The energy contribution for each degree of freedom is 1/2 KT/molecule or 1/2 RT/mole.
⇒ The vibrational degree of freedo m is affected by temperature and it is 0.2 RT at room temperature and RT at high temperature.

 

Problem.  Calculate CV for Na, Cl2 & SO2?
 Sol.
Total internal energy (U) for linear mo lecule is:
Adiabatic Process & Degrees of Freedom | Physical Chemistry (at high temperature)
Adiabatic Process & Degrees of Freedom | Physical Chemistry (at room temperature)

Total energy (U) for non linear molecular is:
Adiabatic Process & Degrees of Freedom | Physical Chemistry (at high temperature)
Adiabatic Process & Degrees of Freedom | Physical Chemistry (at room temperature)

We know that
⇒     Adiabatic Process & Degrees of Freedom | Physical Chemistry

 CV for Na:

Adiabatic Process & Degrees of Freedom | Physical Chemistry
Adiabatic Process & Degrees of Freedom | Physical Chemistry

CV for Cl2 

Adiabatic Process & Degrees of Freedom | Physical Chemistry(for linear molecule)

= 2.7 RT
CV = 2R

 

Cfor SO2

Adiabatic Process & Degrees of Freedom | Physical Chemistryfor non linear molecule)
= 3.3 RT
CV = 3.3 R

 

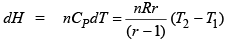
Problem.  20 gm of N2 at 300 K is compressed reversible and adiabatically from 20 dm3 to 10 dm3. Calculate the final temperature, q, w, ΔH & ΔU.
 Sol. 
Amount of

 Adiabatic Process & Degrees of Freedom | Physical Chemistry

i.e., n = 0.714 mol
T1 = 300 K
V= 20 dm3
V2 = 10 dm3
T= ?
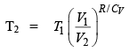
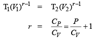
For adiabatic reversible process:

T1(V1)r-1 = T2 (V2)r -1

 Adiabatic Process & Degrees of Freedom | Physical Chemistry
Adiabatic Process & Degrees of Freedom | Physical Chemistry
Adiabatic Process & Degrees of Freedom | Physical Chemistry

Thus   Adiabatic Process & Degrees of Freedom | Physical Chemistry

and for linear molecule  Adiabatic Process & Degrees of Freedom | Physical Chemistry

Thus
Adiabatic Process & Degrees of Freedom | Physical Chemistry

T1 = 300 K × 1.32 = 396 K
Hence, 

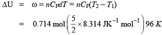
 Adiabatic Process & Degrees of Freedom | Physical Chemistry

= 1424.69 J
ΔH = nCP(T2 - T1)

= 0.714 mol Adiabatic Process & Degrees of Freedom | Physical Chemistry 96 K

= 1994.56 J

The document Adiabatic Process & Degrees of Freedom | Physical Chemistry is a part of the Chemistry Course Physical Chemistry.
All you need of Chemistry at this link: Chemistry
84 videos|142 docs|67 tests

FAQs on Adiabatic Process & Degrees of Freedom - Physical Chemistry

1. What is an adiabatic process?
Ans. An adiabatic process refers to a thermodynamic process in which there is no transfer of heat or mass between a system and its surroundings. This means that the system is completely isolated, and any change in its internal energy is solely due to work done on or by the system.
2. How does an adiabatic process differ from an isothermal process?
Ans. An adiabatic process differs from an isothermal process in terms of heat transfer. In an adiabatic process, there is no heat exchange between the system and its surroundings, whereas in an isothermal process, the temperature of the system remains constant, and heat is exchanged to maintain this temperature.
3. What are degrees of freedom in thermodynamics?
Ans. In thermodynamics, degrees of freedom refer to the independent variables that can be varied to describe the state of a system. It represents the number of parameters that can be independently changed without violating any constraints imposed on the system.
4. How are degrees of freedom related to the number of particles in a system?
Ans. The degrees of freedom in a system are related to the number of particles through the equipartition theorem. According to this theorem, each particle in a system has an average energy of kT/2, where k is the Boltzmann constant and T is the temperature. The total energy of the system is then distributed among the different degrees of freedom, such as translational, rotational, and vibrational motion.
5. Can an adiabatic process have a change in temperature?
Ans. Yes, an adiabatic process can have a change in temperature. Although there is no heat transfer in an adiabatic process, work done on or by the system can result in a change in the internal energy and, subsequently, the temperature. This change in temperature is due to the conversion of mechanical work into internal energy.
Related Searches

Adiabatic Process & Degrees of Freedom | Physical Chemistry

,

Viva Questions

,

Adiabatic Process & Degrees of Freedom | Physical Chemistry

,

Semester Notes

,

practice quizzes

,

shortcuts and tricks

,

Exam

,

pdf

,

MCQs

,

Summary

,

past year papers

,

Important questions

,

study material

,

video lectures

,

Sample Paper

,

Objective type Questions

,

Adiabatic Process & Degrees of Freedom | Physical Chemistry

,

Extra Questions

,

mock tests for examination

,

ppt

,

Free

,

Previous Year Questions with Solutions

;