Chemistry Exam  >  Chemistry Notes  >  Physical Chemistry  >  Surface Area of Adsorbent & Gibbs Adsorption Equation

Surface Area of Adsorbent & Gibbs Adsorption Equation | Physical Chemistry PDF Download

11. Determination of Surface Area of the Adsorbent 

Since the molar volume of an ideal gas at STP in 22.414 dm3, the number of molecules N adsorbed corresponding to the volume vmono is 

Surface Area of Adsorbent & Gibbs Adsorption Equation | Physical Chemistry

Where 6.023 × 1023 mol–1 is Avogadro constant. Now if the area of cross-section of a single molecule is known, it can be multiplied by the above number to give the total surface area of the adsorbent. 

If ρ is the density, then the volume ν occupied by a single molecule (assuming the adsorbate to be highly packed with no void volume) is given by 

Surface Area of Adsorbent & Gibbs Adsorption Equation | Physical Chemistry

Assuming the molecule to be spherical, its cross-sectional area can be computed as follows. If r is the radius of the molecule, it follows that 

Surface Area of Adsorbent & Gibbs Adsorption Equation | Physical Chemistry

The obtained value of r (or πr2) is only an approximate value since it lacks the information regarding the exact nature of packing at the surface of the adsorbent. Even in the above method, the presence of void volume in the crystal lattice has been neglected. However, the latter can be accounted for provided crystal lattice of the solidified adsorbate is known.

 

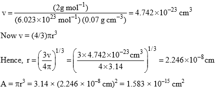
Illustration: In adsorption of hydrogen over a sample of copper, monolayer-formation volume per gram of powder was found to be 1.36 cm3 measured at STP. Calculate the specific surface area of copper. Liquid hydrogen has a density of 0.07 g cm–3.           

Solution: Number of molecule of hydrogen in 1.36 cmat STP is 

Surface Area of Adsorbent & Gibbs Adsorption Equation | Physical Chemistry

If liquid hydrogen is assumed to be closely packed (ignoring void volume), then the molar volume of hydrogen will be equal to N, where NA is Avogdro constant and ν is the volume of one molecule. If ρ is the density of liquid hydrogen, it is obvious that

Surface Area of Adsorbent & Gibbs Adsorption Equation | Physical Chemistry

Substituting the value of M(H2), NA and ρ, we get

Surface Area of Adsorbent & Gibbs Adsorption Equation | Physical Chemistry

Specific area of copper = N’A = (3.6 × 1019) (1.583 × 10–15 cm2) = 5.70 × 10cm2 

12. Gibbs Adsorption Equation 

The concentration of a solute at the surface of a solution may be different from that present in the bulk. The surface tension of a liquid, the surface tends to decrease its surface area in order to obtain a minimum value of surface free energy. The latter arises because of the unbalanced molecular forces experienced by the molecules at the surface. The surface tension is numerically equal to the surface energy per unit area of the surface. Now if the added solute has a surface tension lower than that of the liquid, then it has a tendency to accumulate more at the surface of the liquid since this way the surface tension of the liquid (or the surface free energy per unit area of the surface) is decreased. A quantitative expression which relates the excessive concentration of the solute at the surface (or the extent of adsorption) and the change in surface tension of the liquid (solvent) due to the addition of the solute was derived by J.W. Gibbs and is thus known as Gibbs adsorption equation. The latter can be derived as follows.

Following the additively, rule, the free energy of a system consisting of two components is given by   G = n1μ1 + n2μ    ………………………(1)  

Where n1 and n2 are the amounts and μ1 and μare the chemical potentials of the two components, respectively. 

Since in the present case we are dealing with the change in the surface free energy, we must also add a factor corresponding to surface energy in eq. (1). If γ is the interfacial tension (or the interfacial energy per unit area) and s is the surface area, then the surface free energy is equal to γs. Thus eq. (1). In the present case, modifies, to 

G = n1μ+ n2μ2 + γs     …………………..(2) 

The complete differential of eq. (2) is given by 

dG = n11 + n22 + μ2dn2 + γds + sdγ  …………………..(3) 

The function G will now depend on five independent variables, namely, T, p, n1, nand s, i.e. 

G = f(T, p, n1, n2, s) 

The total differential of G will be given by 

Surface Area of Adsorbent & Gibbs Adsorption Equation | Physical Chemistry

At constant temperature and pressure, eq. (6) reduces to 

Surface Area of Adsorbent & Gibbs Adsorption Equation | Physical Chemistry

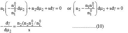
From eq. (7) and (3), we get 

n11 + n22 + sdγ = 0    …………..(8) 

The corresponding expression for the bulk of the liquid is 

Surface Area of Adsorbent & Gibbs Adsorption Equation | Physical Chemistry

Where n01 and n02 are the respective amount of the liquid and solute in the bulk phase. 

Now since the system is at equilibrium, the chemical potential of each of the components in both phases (surface and bulk) must be identical. When the system is slightly disturbed and it attains the new equilibrium, then the changes in chemical potential must be identical in both the phase, i.e., the differentials dμ1 and dμ2 in eq. (8) and (9) are identical. Eliminating dμ1 from these two equations, we get 

Surface Area of Adsorbent & Gibbs Adsorption Equation | Physical Chemistry

The expression within the bracket of eq. (10) gives the amount of solute that would be associated with the amount n1 of the liquid in the bulk phase. Since n2 is the amount of solute that is associated with the amount nof the liquid at the surface, the numerator on the right-hand side of eq. (10) gives the excessive amount of solute that is present in the surface of the liquid. Dividing this quantity with s gives the excess concentration of solute per unit area of surface. This quantity is represented by the symbol  

Surface Area of Adsorbent & Gibbs Adsorption Equation | Physical Chemistry

Equation (11) is the required Gibbs adsorption equation. If we eliminate dμinstead of dμ2 instead to dμ1 from eqs. (8) and (9), we would have got the Gibbs adsorption equation as applicable to the liquid. It has a form 

Surface Area of Adsorbent & Gibbs Adsorption Equation | Physical Chemistry

 WhereSurface Area of Adsorbent & Gibbs Adsorption Equation | Physical Chemistryis the surface excessive concentration of the solvent at the surface of liquid. 

 The chemical potential of the solute is given by 

Surface Area of Adsorbent & Gibbs Adsorption Equation | Physical Chemistry

where μ2* (1) is the chemical potential of pure solute in liquid phase. Hence 

2 = RT d ln a2   ………………(13) 

Substituting eq. (13) in eq. (11), we get
Surface Area of Adsorbent & Gibbs Adsorption Equation | Physical Chemistry

From a dilute solution, we have  

 Surface Area of Adsorbent & Gibbs Adsorption Equation | Physical Chemistry  (where c0 issaturated unit concentration)

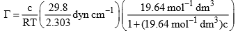
Example:    According to Szyszkowski, the surface tension of an aqueous solution of butyric acid is related at 291 K to the bulk concentration c by the empirical relation. 

Surface Area of Adsorbent & Gibbs Adsorption Equation | Physical Chemistry

where γ* is the surface tension of pure water. Apply the Gibbs adsorption equation to calculate the excess concentration Surface Area of Adsorbent & Gibbs Adsorption Equation | Physical Chemistry of solute per square centimeter of surface when c = 0.01 mol dm–3. What would be the value of Surface Area of Adsorbent & Gibbs Adsorption Equation | Physical Chemistry when c becomes infinite:

Solution: The Gibbs adsorption equation is Surface Area of Adsorbent & Gibbs Adsorption Equation | Physical Chemistry

The expression of dγ/dc can be determined from the given empirical relation 

Surface Area of Adsorbent & Gibbs Adsorption Equation | Physical Chemistry

Hence, Eq. (1) becomes 

Surface Area of Adsorbent & Gibbs Adsorption Equation | Physical Chemistry

Substituting the given, data, we get 

Surface Area of Adsorbent & Gibbs Adsorption Equation | Physical Chemistry

= 8.78 × 10–11 mol cm–2 

The value of Surface Area of Adsorbent & Gibbs Adsorption Equation | Physical Chemistry when c becomes infinite will be given by

Surface Area of Adsorbent & Gibbs Adsorption Equation | Physical Chemistry

Thus, we have  

 Surface Area of Adsorbent & Gibbs Adsorption Equation | Physical Chemistry

13. Surface-Active Substances 

 Surface Area of Adsorbent & Gibbs Adsorption Equation | Physical Chemistry is positive if (dγ/dc2) is negative. In other words, if the surface tension of a solvent is decreased as a result of adding a solute, then the latter has relatively more concentration at the surface than in the bulk of the solutions. Substances which produce a marked reduction in surface tension are known as surface-active substances or surfactants. The limiting value of the decrease of surface tension with concentration, i.e., the quantity Surface Area of Adsorbent & Gibbs Adsorption Equation | Physical Chemistry is called the surface activity.

14. Surface-Inactive Substances 

For surface-inactive substances dγ/dc is positive, i.e., an increase in the concentration of a surfaceinanctive substance in a solution causes an increase in the surface tension of the solution. From Gibbs equation, it follows that the value of Surface Area of Adsorbent & Gibbs Adsorption Equation | Physical Chemistry  in such cases in negative indicating that the substance has larger concentration in the bulk in comparison to that present at the surface. This type of behaviour is known as negative adsorption. Examples include most of inorganic salts, sugar, etc.

The document Surface Area of Adsorbent & Gibbs Adsorption Equation | Physical Chemistry is a part of the Chemistry Course Physical Chemistry.
All you need of Chemistry at this link: Chemistry
90 videos|144 docs|67 tests

FAQs on Surface Area of Adsorbent & Gibbs Adsorption Equation - Physical Chemistry

1. What is the surface area of an adsorbent and why is it important in adsorption processes?
Ans. The surface area of an adsorbent refers to the total area available for adsorption to occur. It is important because a larger surface area provides more sites for adsorption to take place, leading to higher adsorption capacity and efficiency.
2. How is the surface area of an adsorbent determined experimentally?
Ans. The surface area of an adsorbent can be determined experimentally using techniques such as the Brunauer-Emmett-Teller (BET) method, which involves measuring the adsorption of a gas on the adsorbent surface. Other methods, such as the Langmuir method or the single-point BET method, can also be used depending on the specific adsorption system.
3. What is the Gibbs adsorption equation and how is it used in adsorption studies?
Ans. The Gibbs adsorption equation relates the surface excess concentration of an adsorbate to the pressure or concentration of the adsorbate in the bulk solution. It is used to quantify the adsorption behavior and determine parameters such as the surface excess concentration, the surface pressure, and the Gibbs adsorption isotherm.
4. How does the surface area of an adsorbent affect the adsorption capacity?
Ans. The surface area of an adsorbent directly affects the adsorption capacity. A larger surface area provides more available sites for adsorption, allowing more adsorbate molecules to be adsorbed. Therefore, adsorbents with higher surface areas generally have higher adsorption capacities.
5. Can the surface area of an adsorbent be modified or enhanced for specific adsorption applications?
Ans. Yes, the surface area of an adsorbent can be modified or enhanced for specific adsorption applications. Techniques such as activation, impregnation, or functionalization can be employed to increase the surface area or introduce specific functional groups to enhance adsorption selectivity. These modifications can tailor the adsorbent's surface properties to target specific adsorbates or optimize the adsorption process.
Related Searches

Extra Questions

,

pdf

,

ppt

,

past year papers

,

Summary

,

video lectures

,

Surface Area of Adsorbent & Gibbs Adsorption Equation | Physical Chemistry

,

practice quizzes

,

Exam

,

Surface Area of Adsorbent & Gibbs Adsorption Equation | Physical Chemistry

,

study material

,

Important questions

,

Free

,

Semester Notes

,

MCQs

,

Sample Paper

,

shortcuts and tricks

,

Viva Questions

,

mock tests for examination

,

Objective type Questions

,

Surface Area of Adsorbent & Gibbs Adsorption Equation | Physical Chemistry

,

Previous Year Questions with Solutions

;