Chemistry Exam  >  Chemistry Notes  >  Physical Chemistry  >  Angular Momentum - Atomic Structure

Angular Momentum - Atomic Structure | Physical Chemistry PDF Download

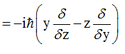
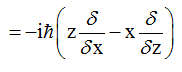
ANGULAR MOMENTUM

The classical definition of angular momentum L= r X p depends on six numbers rx, ry, px, py and  pz

Translating this into quantum mechanical terms, the Heisenberg uncertainty principle tells us that "it is not possible for all six of these numbers to be measured simultaneously with arbitrary precision ."

Therefore , there are limits to what can be known or measured about a particles angular momentum . It turns out that the best that one can do is to simultaneously measure both the angular momentum vectors magnitude and its component along one axis. 

Mathematically, angular momentum in quantum mechanics is defined like momentum not as a quantity but as an operator on the wave function.
 L= r X p

Where and p are position and momentum operators respectively.

Angular Momentum - Atomic Structure | Physical Chemistry

Angular Momentum - Atomic Structure | Physical Chemistry
Angular Momentum - Atomic Structure | Physical Chemistry
Angular Momentum - Atomic Structure | Physical Chemistry
Angular Momentum - Atomic Structure | Physical Chemistry
Angular Momentum - Atomic Structure | Physical Chemistry
Angular Momentum - Atomic Structure | Physical Chemistry
Angular Momentum - Atomic Structure | Physical Chemistry
 

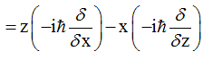
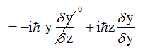
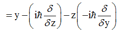
Q.    Show that  Angular Momentum - Atomic Structure | Physical Chemistry

Proof: 
Angular Momentum - Atomic Structure | Physical Chemistry
Angular Momentum - Atomic Structure | Physical Chemistry

The IInd term become zero because the operator is commute. A function that are dependent on three
co-ordinates x,y,z is always given the value zero because commutation  is possible in three inter dependent co-ordinate.

Angular Momentum - Atomic Structure | Physical Chemistry
Angular Momentum - Atomic Structure | Physical ChemistryAns.

VALANCE BOND THEORY

 Valance Bond Theory was the first quantum mechanical theory of chemical bond proposed by Heither and London in 1927, Slater and Pauling in 1930. It is collectively known as HLSP or HSPL. The theory propose that:

Covalent bond is formed by the shared pair of electron, i.e. Lewis concept. The theory makes the perfect pairing of approximation in which it is assumed that structures with electron paired in all possible way dominated the wave function of the molecule.

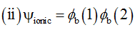
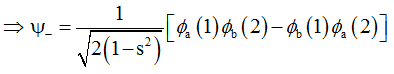
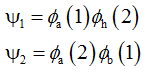
Let the 2 electron of H2 designated by (1) and (2) and the 2 nuclei a and b. the wave function of the molecule: Angular Momentum - Atomic Structure | Physical Chemistry
Angular Momentum - Atomic Structure | Physical Chemistry

ϕ are the atomic orbitals;ψis the wave function corresponding to situation, where electron (1) on the atomic orbital Angular Momentum - Atomic Structure | Physical Chemistry centered on the nucleus (a) and electron (2) is on the atomic orbital Angular Momentum - Atomic Structure | Physical Chemistry centered on nucleus B. Heilter and London remove C1 and C2  by putting a common value of N as normalization function.

Bonding M.O.= Angular Momentum - Atomic Structure | Physical Chemistry

Antibonding M.O.= Angular Momentum - Atomic Structure | Physical Chemistry

Let us normalize Angular Momentum - Atomic Structure | Physical Chemistry we get, the value of Angular Momentum - Atomic Structure | Physical Chemistry

Angular Momentum - Atomic Structure | Physical Chemistry
Angular Momentum - Atomic Structure | Physical Chemistry
Angular Momentum - Atomic Structure | Physical Chemistry
Angular Momentum - Atomic Structure | Physical Chemistry
Angular Momentum - Atomic Structure | Physical Chemistry
Angular Momentum - Atomic Structure | Physical Chemistry

Similarly, we get normalization constant

Angular Momentum - Atomic Structure | Physical Chemistry

Normalized wave functions:

Angular Momentum - Atomic Structure | Physical Chemistry
Angular Momentum - Atomic Structure | Physical Chemistry

  Q.Write down the valence bond wave function for HF molecule (assuming that it is formed from 1s orbital of H and 2pz orbital of F) in the following three cases.

 (i)HF is purely covalent.                    (ii) HF is purely ionic.                        (iii) HF is 80% civalent and 20% ionic.

 Sol.      @

Angular Momentum - Atomic Structure | Physical ChemistryAngular Momentum - Atomic Structure | Physical Chemistry
Angular Momentum - Atomic Structure | Physical ChemistryAngular Momentum - Atomic Structure | Physical Chemistry

Angular Momentum - Atomic Structure | Physical Chemistry         

Angular Momentum - Atomic Structure | Physical Chemistry
Angular Momentum - Atomic Structure | Physical Chemistry

Total probability Angular Momentum - Atomic Structure | Physical Chemistry             (if inspection is 100)

Angular Momentum - Atomic Structure | Physical Chemistry

 In ionic Ψ, probability= Angular Momentum - Atomic Structure | Physical Chemistry

 Operator are not fixed for an eigen value equation and a function is not always eigen function, both are independent.

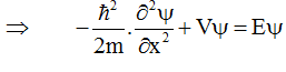
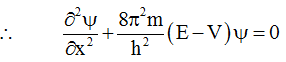
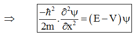
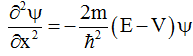
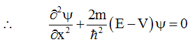
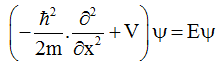
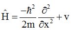
Schrodinger Wave Equation

Schrodinger equation in a eigen value equation, i.e. the wave function is an eigen function and the energy is an eigen value of the hamiltanian operator.

Thus suggests a coresponce between the hamiltanian operator and the energy and this is the fundamental approach to the formation of quantum mechanism.

To prove Schrodinger equation quantum mechanically. An eigen value equation:

Angular Momentum - Atomic Structure | Physical ChemistryAngular Momentum - Atomic Structure | Physical Chemistry
Angular Momentum - Atomic Structure | Physical Chemistry
Angular Momentum - Atomic Structure | Physical Chemistry
Angular Momentum - Atomic Structure | Physical Chemistry
Angular Momentum - Atomic Structure | Physical Chemistry
Angular Momentum - Atomic Structure | Physical Chemistry
Angular Momentum - Atomic Structure | Physical Chemistry Angular Momentum - Atomic Structure | Physical Chemistry

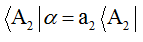
The eigenvalue equation:For the linear operator α , consider the equation

Angular Momentum - Atomic Structure | Physical Chemistry

Where an is an arbitrary complex number. Equation(30) represents an eigenvalue equation; Angular Momentum - Atomic Structure | Physical Chemistry is said to be an eigenket of the operator α, an being the corresponding eigenvalues. It can be easily seen that Angular Momentum - Atomic Structure | Physical Chemistry (where c is an arbitrary complex number) is also an eigenket belonging to the same eigenvalue an Now, if there is more than one ket (and they are not linearly dependent on each other ) belonging to the same eigenvalue, ie. If

Angular Momentum - Atomic Structure | Physical Chemistry.............(31)
Angular Momentum - Atomic Structure | Physical Chemistry....................(32)

Then the state is said to be a degenerate state, if there are ‘g’ linearly independent kets belonging to the same eigenvalue then the state is said to be g- fold degenerate. For the sake of simplicitly, let us consider a two-fold degenerate state describe by equation (31) and (32). If we multiply equation (31) by C1 and equation (32) by c2 and add we would get

Angular Momentum - Atomic Structure | Physical Chemistry

here Angular Momentum - Atomic Structure | Physical Chemistry Implying that the linear combination  Angular Momentum - Atomic Structure | Physical Chemistry is also an eigenket belonging to the same eigenvalu.

Orthogonality of eigenfunctions: When α is real, it can easily be shown that all the eigenvalues are real and for two different eigenvalues Angular Momentum - Atomic Structure | Physical Chemistry the corresponding eigenfunctions are necessarily orthogonal, i.e.

Angular Momentum - Atomic Structure | Physical Chemistry     for  Angular Momentum - Atomic Structure | Physical Chemistry     ....(33)

Further, one can always normalize the kets and choose an appropriate linear combination for the kets belonging to a degenerate state such that

Angular Momentum - Atomic Structure | Physical Chemistry...........(34)   

The proof is very simple, Premultiplying equation (30) by Angular Momentum - Atomic Structure | Physical Chemistry  we get

Angular Momentum - Atomic Structure | Physical Chemistry

Now, Angular Momentum - Atomic Structure | Physical Chemistry is always real and not a null ket [otherwise equation (30) has no meaning]. Further, since α is real

Angular Momentum - Atomic Structure | Physical Chemistry Implying that Angular Momentum - Atomic Structure | Physical Chemistry is also real and hence an must be real. Father, in order to prove equation (33) we consider.

Angular Momentum - Atomic Structure | Physical Chemistry        ................(35)

Also,    Angular Momentum - Atomic Structure | Physical Chemistry..............(36)

If we put Angular Momentum - Atomic Structure | Physical Chemistry  , then

Angular Momentum - Atomic Structure | Physical Chemistry

Also,   Angular Momentum - Atomic Structure | Physical Chemistry     

Because ais real. Thus

Angular Momentum - Atomic Structure | Physical Chemistry ......(37)       

Premultiplying equation (35) by Angular Momentum - Atomic Structure | Physical Chemistry and postmultiplying equation (37) by Angular Momentum - Atomic Structure | Physical Chemistrygives

Angular Momentum - Atomic Structure | Physical Chemistry             

Which immediately gives the orthogonality given by equation (33)

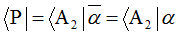
 Since the formalism is symmetrical with respect to bras and kets we also have the iegen value equation

Angular Momentum - Atomic Structure | Physical Chemistry          

Where Angular Momentum - Atomic Structure | Physical Chemistry are the eigenbras and bn the corresponding eigenvalues. It can be easily seen that when α is a real operator and if Angular Momentum - Atomic Structure | Physical Chemistry is an eigenket, then Angular Momentum - Atomic Structure | Physical Chemistry is an eigenbra belonging to the same eigenvalue. Equation (37) tells us that Angular Momentum - Atomic Structure | Physical Chemistryis an eigenbra of the operator α belonging to the same eigenvalue a2 .

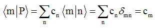
The completeness condition: We have just stated that the eigenkets of an observable from a complete set. Let Angular Momentum - Atomic Structure | Physical Chemistry denote these eigenkets and let Angular Momentum - Atomic Structure | Physical Chemistry denote an arbitrary ket. Thus

Angular Momentum - Atomic Structure | Physical Chemistry

Where ∑ denote a sum over the discrete states and an integration over the continuum states. Since the eigenkets can be assumed to form an orthogonal set Angular Momentum - Atomic Structure | Physical Chemistrywe have

     Angular Momentum - Atomic Structure | Physical Chemistry..........(38)

Thus,  Angular Momentum - Atomic Structure | Physical Chemistry...............(39)

Since, the above equation holds for an arbitrary ket Angular Momentum - Atomic Structure | Physical Chemistry , the quantity inside the curely brackets must be a unit operator

 Angular Momentum - Atomic Structure | Physical Chemistry

Which is usually reffered to the completeness condition. The above equation may be compared with the completeness condition of the Schrodinger wavefunctions

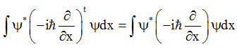
HERMITIAN ADJOINT OF OPERATORS

Angular Momentum - Atomic Structure | Physical Chemistry
Angular Momentum - Atomic Structure | Physical Chemistry

Here Angular Momentum - Atomic Structure | Physical Chemistry under operator and transpose change function.

If Angular Momentum - Atomic Structure | Physical Chemistry, Then it is Hermitian.

If A is Hermitian        Angular Momentum - Atomic Structure | Physical Chemistry      

If px is Hermitian        Angular Momentum - Atomic Structure | Physical Chemistry

Angular Momentum - Atomic Structure | Physical Chemistry               Angular Momentum - Atomic Structure | Physical Chemistry            

This shows px is Hermitian and Angular Momentum - Atomic Structure | Physical ChemistryAngular Momentum - Atomic Structure | Physical Chemistry

Angular Momentum - Atomic Structure | Physical Chemistry

Now prove it,
Angular Momentum - Atomic Structure | Physical Chemistry

General property:
Angular Momentum - Atomic Structure | Physical Chemistry
Angular Momentum - Atomic Structure | Physical Chemistry
Angular Momentum - Atomic Structure | Physical Chemistry
Angular Momentum - Atomic Structure | Physical Chemistry
Angular Momentum - Atomic Structure | Physical ChemistryA is Hermitian.
Angular Momentum - Atomic Structure | Physical ChemistryA is antihermitian.
Angular Momentum - Atomic Structure | Physical Chemistry

The document Angular Momentum - Atomic Structure | Physical Chemistry is a part of the Chemistry Course Physical Chemistry.
All you need of Chemistry at this link: Chemistry
84 videos|142 docs|67 tests

FAQs on Angular Momentum - Atomic Structure - Physical Chemistry

1. What is angular momentum in the context of atomic structure?
Ans. In atomic structure, angular momentum refers to the rotational motion and spin of an electron around the nucleus of an atom. It plays a crucial role in determining the energy levels and behavior of electrons within an atom.
2. How is angular momentum related to the Schrodinger Wave Equation?
Ans. The Schrodinger Wave Equation describes the behavior of electrons in an atom, taking into account their wave-like properties. Angular momentum is a key component of this equation, as it influences the probability distribution of finding an electron in a specific region of space.
3. How does the Valence Bond Theory explain the concept of angular momentum in chemical bonding?
Ans. The Valence Bond Theory describes chemical bonding as the overlap of atomic orbitals to form covalent bonds. Angular momentum of electrons in these orbitals plays a crucial role in determining the geometry and stability of molecules.
4. What is the significance of the Hermitian adjoint of operators in the context of angular momentum?
Ans. The Hermitian adjoint of operators is important in quantum mechanics, including the study of angular momentum. It allows for the calculation of observable quantities related to angular momentum, such as the spin of an electron.
5. How does understanding angular momentum aid in predicting the properties of atoms and molecules?
Ans. By understanding angular momentum in atomic structure, scientists can predict various properties of atoms and molecules, such as their magnetic behavior, chemical reactivity, and overall stability. This knowledge is essential for advancements in chemistry and materials science.
Related Searches

study material

,

Summary

,

Objective type Questions

,

Free

,

Extra Questions

,

ppt

,

shortcuts and tricks

,

practice quizzes

,

Angular Momentum - Atomic Structure | Physical Chemistry

,

Important questions

,

Exam

,

Angular Momentum - Atomic Structure | Physical Chemistry

,

video lectures

,

past year papers

,

Viva Questions

,

Angular Momentum - Atomic Structure | Physical Chemistry

,

mock tests for examination

,

MCQs

,

Semester Notes

,

Sample Paper

,

Previous Year Questions with Solutions

,

pdf

;