Chemistry Exam  >  Chemistry Notes  >  Physical Chemistry  >  Arrhenius Equation & Activation Energy

Arrhenius Equation & Activation Energy | Physical Chemistry PDF Download

Arrhenius Equation (Expression)

The following empirical relationship between temperature (T), rate constant (k) and activation energy (Ea) is known as the Arrhenius expression:

K = Ae-Ea / RT

A is constant known as the frequency factor or Arrhenius pre-exponential factor.
A & Ea is temperature independent.
The unit of A is always equal to the unit of rate constant (k) k = Ae-Ea / RT ..................(1)
taking natural log of this equation, we get ln

Arrhenius Equation & Activation Energy | Physical Chemistry…(2)

or       Arrhenius Equation & Activation Energy | Physical Chemistry   …(3)
 

Problem. Prove that on increasing the activation energy, the rate constant will be decreasing and on increasing the temperature, the rate constant will be increasing.
 Sol:

k = Ae-Ea / RT

Arrhenius Equation & Activation Energy | Physical Chemistry

when Ea increase then the value of Arrhenius Equation & Activation Energy | Physical Chemistryncreases and the value of ln k i.e. k will be decreases.
i.e. Arrhenius Equation & Activation Energy | Physical Chemistry

When T increase then the value of Arrhenius Equation & Activation Energy | Physical Chemistrydecreases and the value of ln k i.e. k will be increase.
i.e.  Arrhenius Equation & Activation Energy | Physical Chemistry

The graph of ln k vs Arrhenius Equation & Activation Energy | Physical Chemistry is given below 

 Arrhenius Equation & Activation Energy | Physical Chemistry

Arrhenius Equation & Activation Energy | Physical Chemistry
Arrhenius Equation & Activation Energy | Physical Chemistry

y = –m. x + C

Problem.  Using the given equation find the value of A & Ea.

 Arrhenius Equation & Activation Energy | Physical Chemistry

Sol. We know that 

  Arrhenius Equation & Activation Energy | Physical Chemistry

i.e.           ln A = 2.3
&        A = e2.3 = 9.974

 Arrhenius Equation & Activation Energy | Physical Chemistry

E= 100 × R = 100 × 8.314

Ea = 831.4 J mol–1
 

Problem.  When temperature is increased then t1/2 of reaction will be 

(a) Remains constant               (b) Increased 

(c) Decreased                           (d) First increase and then decrease
 

Sol. We know that

 Arrhenius Equation & Activation Energy | Physical Chemistry

&               k = Ae-Ea / RT

Arrhenius Equation & Activation Energy | Physical Chemistry
Arrhenius Equation & Activation Energy | Physical Chemistry

i.e. on increasing T, eEa / RT decrease then we can say that on increasing temperature (T), the t 1/2 of the reaction will decrease. i.e.  Arrhenius Equation & Activation Energy | Physical Chemistry

i.e. The correct answer is (C).

Variation of rate constant with temperature 

We know that k = Ae-Ea / RT 

  Arrhenius Equation & Activation Energy | Physical Chemistry

If k1 and k2 be the value of rate constant at temperature Tand T2, we can derive

 Arrhenius Equation & Activation Energy | Physical Chemistry

or Arrhenius Equation & Activation Energy | Physical Chemistry

Temperature Coefficient.

The ratio of rate constant of a reaction at two different temperature differing by 10 degree is know as temperature coefficient.
i.e. Temperature coefficient = Arrhenius Equation & Activation Energy | Physical Chemistry

Standard Temperature coefficient = Arrhenius Equation & Activation Energy | Physical Chemistry

                                                         = 2 to 3

 Arrhenius Equation & Activation Energy | Physical Chemistry

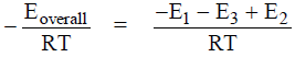
Problem.  In the reaction mechanism

 Arrhenius Equation & Activation Energy | Physical Chemistry

Find the overall rate constant (koverall) and Activation energy Ea (overall).
 Sol.
From the above reaction, the ate of format ion of product is 

 Arrhenius Equation & Activation Energy | Physical Chemistry                      ......(1)

Arrhenius Equation & Activation Energy | Physical Chemistry = k1[X][Y] – k2[Z] – k3[Z]
= k1[X][Y] – (k2 + k3)[Z]
0 = k1[X][Y] – k2[Z]                                                             [∵ k2 >> k3]

SSA on intermediate.
then

Arrhenius Equation & Activation Energy | Physical Chemistry

then we find,

  Arrhenius Equation & Activation Energy | Physical Chemistry
Arrhenius Equation & Activation Energy | Physical Chemistry
Arrhenius Equation & Activation Energy | Physical Chemistry
i.e. Arrhenius Equation & Activation Energy | Physical Chemistry                    …(2)
Arrhenius Equation & Activation Energy | Physical Chemistry
Arrhenius Equation & Activation Energy | Physical Chemistry
i.e. Arrhenius Equation & Activation Energy | Physical Chemistry
and Arrhenius Equation & Activation Energy | Physical Chemistry
i.e. Arrhenius Equation & Activation Energy | Physical Chemistry

Eoverall = E1 + E3 – E2

Problem.  What is the energy of activation of the reaction if it rate doubles when temperature is raised .290 to 300 K.
 Sol.
We know that

 Arrhenius Equation & Activation Energy | Physical Chemistry
Arrhenius Equation & Activation Energy | Physical Chemistry
Arrhenius Equation & Activation Energy | Physical Chemistry

Ea = 50145.617 J
Ea = 50.145 kJ

Problem. A plot of log k versus 1/T gave a straight line of which the slope was found to be –1.2 × 104 K. What is the activation energy of the reaction.
 Sol.

 Arrhenius Equation & Activation Energy | Physical Chemistry
Arrhenius Equation & Activation Energy | Physical Chemistry
Arrhenius Equation & Activation Energy | Physical Chemistry

y = m x + C

where             m = slope of line
then

 Arrhenius Equation & Activation Energy | Physical Chemistry

E= –2.303 R (slope) = –2.303 × 8.314 × (–1.2 × 104 K)
= 1.0 × 105 J mol–1

Fast Reaction.

Fast reactions are studies by following methods
(1)  Stopped-Flow technique: For reaction that occur on timescales as short at 1 ms (10–3 s)
(2) Flash photolysis technique: Reaction that can be triggered by light are studied using flash photolysis.
(3)  Perturbation-relaxation methods: A chemical system initially at equilibrium is perturbed such that the system is not longer at equilibrium. By following the relaxation of the system back toward equilibrium, the rate constant for the reaction can be determined.
The temperature perturbation or T-jump are most important type of perturbation.

 

Problem. Using the T-jump method find out the relaxation time (ζ) of the following reaction,

 Arrhenius Equation & Activation Energy | Physical Chemistry

Sol.  Let a be the total concentration of (A + B) and x the concentration of B at any instant. Then rate 

  Arrhenius Equation & Activation Energy | Physical Chemistry 

If xe is the equilibrium concentration, then
Δx = x - xe or x = Δx + xe
Since

Arrhenius Equation & Activation Energy | Physical Chemistry

 Arrhenius Equation & Activation Energy | Physical Chemistry
at equilibrium, Arrhenius Equation & Activation Energy | Physical Chemistry= 0 and x = xe. Hence

k1(a – xe) = k–1 xe 

  then              Arrhenius Equation & Activation Energy | Physical Chemistry
                          = -krΔx
where              k= k1 + k-1
                    = relaxat ion rate constant
then

 Arrhenius Equation & Activation Energy | Physical Chemistry
Arrhenius Equation & Activation Energy | Physical Chemistry
Arrhenius Equation & Activation Energy | Physical Chemistry

Then reciprocal of kr i.e. kr-1 is called relaxat ion time.
It is represented by ζ

 Arrhenius Equation & Activation Energy | Physical Chemistry

Arrhenius Equation & Activation Energy | Physical Chemistry

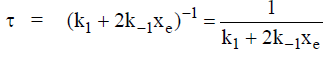
Problem.  Find the relaxation time for the following reaction.

 Arrhenius Equation & Activation Energy | Physical Chemistry

Sol. Let a be the total concentration and x the concentration of B which is equal to the concentration of C. Then, the rate law is given by

 Arrhenius Equation & Activation Energy | Physical Chemistry

 Now             Δx = x – xe

xe = equilibrium concentration of x

 Arrhenius Equation & Activation Energy | Physical Chemistry
Arrhenius Equation & Activation Energy | Physical Chemistry

at equilibrium,

 Arrhenius Equation & Activation Energy | Physical Chemistry= 0, hence

we get  Arrhenius Equation & Activation Energy | Physical Chemistry

 Arrhenius Equation & Activation Energy | Physical Chemistry

Δx is very small than (Δx)2 is neglected,

 Arrhenius Equation & Activation Energy | Physical Chemistry

where               kr = k1 + 2k–1 xe
is the relaxation rate constant.
and 

Arrhenius Equation & Activation Energy | Physical Chemistry
Arrhenius Equation & Activation Energy | Physical Chemistry

Arrhenius Equation & Activation Energy | Physical Chemistry
Arrhenius Equation & Activation Energy | Physical Chemistry

The relaxat ion time ζ in this case is

 Arrhenius Equation & Activation Energy | Physical Chemistry

Problem.  The relaxation time for the fast reaction   Arrhenius Equation & Activation Energy | Physical Chemistry    is 10 µs and the equilibrium constant is 1.0 × 10–3. Calculate the rate constant for the forward and the reverse reactions.
 Sol.

 Arrhenius Equation & Activation Energy | Physical Chemistry
K = equilibrium constant = 1.0 × 10–3 =Arrhenius Equation & Activation Energy | Physical Chemistry

∴ k1 = 1.0 × 10–3 k–1

Arrhenius Equation & Activation Energy | Physical Chemistry
Arrhenius Equation & Activation Energy | Physical Chemistry
Arrhenius Equation & Activation Energy | Physical Chemistry
Arrhenius Equation & Activation Energy | Physical Chemistry

The document Arrhenius Equation & Activation Energy | Physical Chemistry is a part of the Chemistry Course Physical Chemistry.
All you need of Chemistry at this link: Chemistry
84 videos|142 docs|67 tests

FAQs on Arrhenius Equation & Activation Energy - Physical Chemistry

1. What is the Arrhenius equation and how is it used to calculate activation energy?
Ans. The Arrhenius equation is a mathematical formula that relates the rate constant of a chemical reaction to the temperature and activation energy. It is expressed as k = A * e^(-Ea/RT), where k is the rate constant, A is the pre-exponential factor, Ea is the activation energy, R is the gas constant, and T is the temperature. By measuring the rate constant at different temperatures and solving the equation, the activation energy can be determined.
2. How does temperature affect the rate of a chemical reaction according to the Arrhenius equation?
Ans. According to the Arrhenius equation, the rate of a chemical reaction increases exponentially with an increase in temperature. This is because higher temperatures provide more kinetic energy to the reactant molecules, allowing them to overcome the activation energy barrier more easily. As a result, the rate constant and consequently the reaction rate increase as the temperature rises.
3. Is the Arrhenius equation applicable to all chemical reactions?
Ans. The Arrhenius equation is a simplified model that assumes a single-step reaction mechanism and does not account for complex reaction pathways. Therefore, it may not be directly applicable to all chemical reactions. However, it is still widely used as a valuable tool for analyzing the temperature dependence of many reactions, especially those that follow simple kinetics.
4. Can the Arrhenius equation be used to predict the rate of a reaction at a specific temperature?
Ans. Yes, the Arrhenius equation can be used to predict the rate of a reaction at a specific temperature if the values of the pre-exponential factor (A) and the activation energy (Ea) are known. By plugging in the temperature into the equation and solving for the rate constant, the rate of the reaction at that temperature can be calculated.
5. How can the activation energy of a reaction be determined experimentally?
Ans. The activation energy of a reaction can be determined experimentally by measuring the rate constant at different temperatures and then using the Arrhenius equation to solve for Ea. This can be achieved by conducting the reaction under various temperature conditions and measuring the reaction rate at each temperature. By plotting the natural logarithm of the rate constant against the reciprocal of the temperature, the activation energy can be obtained from the slope of the resulting graph.
Related Searches

Sample Paper

,

pdf

,

practice quizzes

,

video lectures

,

Extra Questions

,

MCQs

,

Important questions

,

Semester Notes

,

Free

,

study material

,

Arrhenius Equation & Activation Energy | Physical Chemistry

,

Objective type Questions

,

Previous Year Questions with Solutions

,

Viva Questions

,

Arrhenius Equation & Activation Energy | Physical Chemistry

,

shortcuts and tricks

,

Exam

,

ppt

,

mock tests for examination

,

Arrhenius Equation & Activation Energy | Physical Chemistry

,

Summary

,

past year papers

;