Physics Exam  >  Physics Notes  >  Kinetic Theory & Thermodynamics  >  Basic Definition & Postulates of Statistical Mechanics

Basic Definition & Postulates of Statistical Mechanics | Kinetic Theory & Thermodynamics - Physics PDF Download

Introduction

Statistical mechanics is a branch of physics that applies probability theory, which contains mathematical tools for dealing with large population, to study of the thermodynamic behavior of systems composed of a large number particles. 

It provides a framework for relating the microscopic properties of individual atoms and molecules to the macroscopic bulk properties of materials that can be observed in everyday life.

  • Micro state: A microstate is a specific microscopic configuration of a thermodynamic system that occupy with a certain property in the course of its thermal fluctuation. The position ( x ), momentum ( p ), energy ( E ), and spin ( s, sz ) of individual atom are the example of microstate of system.
  • Macro state: A macro state refers to macroscopic properties of system such as temperature (T ), pressure ( P ), free energy ( F ), entropy ( S ). A macro state is characterized by a probability distribution of possible state across a certain statistical ensemble of all microstates, and distribution describes the probability of finding the system in certain microstate.
  • Accessible state: Any microstate in which a system can be found without contradicting the macroscopic information available about the system.
  • Statistical Ensemble: an assembly of large number of mutually non interacting systems, each of which satisfies the same conditions as those known to be satisfied by a particular system under condition. There are three type of ensemble (a) micro canonical ensemble, (b) canonical ensemble, (c) grand canonical ensemble. An ensemble is said to be time independent ensemble if number of system exhibiting any particular property is the same at a time.
  • Probability: The probability pr of occurrence of an event r in a system is defined with respect to statistical ensemble of N such a systems. If Nr systems in the ensemble exhibit the event r then Basic Definition & Postulates of Statistical Mechanics | Kinetic Theory & Thermodynamics - Physics
  • Probability density: The probability density ρ (u) is defined by the property that ρ (u)du yields the probability of finding the continuous variable u in the range between u and u + du .
  • Mean value: The mean value of u is denoted by (u) as defined as Basic Definition & Postulates of Statistical Mechanics | Kinetic Theory & Thermodynamics - Physics where the sum is over all possible value values uof the variable u and pis denotes the probability of occurrence of the particular value ur .Above definitionis for discrete variable. For continuous variable u Basic Definition & Postulates of Statistical Mechanics | Kinetic Theory & Thermodynamics - Physics
  • Dispersions (or variance): The dispersion of u is defined as Basic Definition & Postulates of Statistical Mechanics | Kinetic Theory & Thermodynamics - Physics which is equivalent to Basic Definition & Postulates of Statistical Mechanics | Kinetic Theory & Thermodynamics - Physics
  • Stirling formula: Stirling’s approximation (or Stirling’s formula) is an approximation for large factorials. It is named after James Stirling. The formula as typically used in applications is Basic Definition & Postulates of Statistical Mechanics | Kinetic Theory & Thermodynamics - Physics

Postulates of statistical mechanics

If an isolated system is found with equal probability in each of its accessible state, it is in equilibrium, which is popularly known as postulates of equal a priori probabilities. Suppose that we were asked to pick a card at random from a well-shuffled pack. It is accepted that we have an equal probability of picking any card in the pack. There is nothing which would favor one particular card over all of the others. So, since there are fifty-two cards in a normal pack, we would expect the probability of picking the Ace of Spades, say, to be 1/52.

We could now place some constraints on the system. For instance, we could only count red cards, in which case the probability of picking the Ace of Hearts, say, would be Basic Definition & Postulates of Statistical Mechanics | Kinetic Theory & Thermodynamics - Physics , by the same reasoning. In both cases, we have used the principle 

of equal a priori probabilities. People really believe that this principle applies to games

of chance such as cards, dice.

In statistical mechanics, we treat a many particle system a bit like an extremely large game of cards. Each accessible state corresponds to one of the cards in the pack. The

interactions between particles cause the system to continually change state. This is equivalent to constantly shuffling the pack. Finally, an observation of the state of the system is like picking a card at random from the pack. The principle of equal a priori probabilities then boils down to saying that we have an equal chance of choosing any particular card.

Example 1: If there are four identical molecule in one dimensional container and it is given that molecule can be found only either right or left end of container .

(a) What are possible configuration and no of ways to arrange these configuration? what are corresponding probability of each configuration?

(b) What is most probable configuration?

(c) If some one is doing the experiment in which he observed molecule position to right of container what is mean value of particle being in right?

(d) How postulates of a priori probability apply on the experiment?

The number of different ways of arranging N molecules with n on one side

and N - n on the other side is given by Basic Definition & Postulates of Statistical Mechanics | Kinetic Theory & Thermodynamics - Physics, where ! represents the factorial function. The total number of possible ways of arranging the molecules is Basic Definition & Postulates of Statistical Mechanics | Kinetic Theory & Thermodynamics - Physics

(a) 

Basic Definition & Postulates of Statistical Mechanics | Kinetic Theory & Thermodynamics - Physics

(b) Most probable configuration is the one in which half the molecules are on one side and half on the other, i.e. the molecules are uniformly distributed over the space. Most probable configuration is configuration ( L, L ) and ( R, R ) which has maximum probability.

(c) Basic Definition & Postulates of Statistical Mechanics | Kinetic Theory & Thermodynamics - Physics

(d) We will now apply a fundamental postulate of statistical mechanics which states that an isolated system which can be in any one of a number of accessible states (=16 in this example) is equally likely to be in any one of these states at equilibrium. Therefore, the probability that the molecules are distributed in any one of these 16 possible ways is simply 1/16 . But there are 4 ways in which the molecules can be arranged so that 3 are on the left side and 1 on the right side, and therefore, the probability of finding that configuration is 4/16 . Similarly, other configuration can be weighted.


Example 2: Suppose we know 3 particle being spin 1/2 kept into homogeneous magnetic field B at temperature T .

(a) Show all possible microstate and corresponding probability .

(b) Find average value of z component of spin.

(c) If μ0 is magnetic moment which configuration has maximum energy what is corresponding probability.

(a) There is total 8 microstate is possible they are

Basic Definition & Postulates of Statistical Mechanics | Kinetic Theory & Thermodynamics - Physics

(b) Average value of Basic Definition & Postulates of Statistical Mechanics | Kinetic Theory & Thermodynamics - Physics

(c) The energy is given by E = -μ0B the magnetic moment of configuration in which all three are down ↓↓↓ have magnetic moment - 3μ0 so this configuration has maximum energy which is equal to 3μ0B the corresponding probability is given by 1/8

Ensemble is collection of particle

Micro canonical ensemble

Micro canonical ensemble is theoretical tool used to analyze an isolated thermo dynamic system. The microstate of the system has fixed given energy (E), fixed number of particle (N)and fixed volume (V).All accessible micro state has same probability .

Popularly it is known as NVE ensemble.

Schematically the system can be shown as

Basic Definition & Postulates of Statistical Mechanics | Kinetic Theory & Thermodynamics - Physics

In above table each cell consider as each microstate. Energy, volume and no of particle is fixed in each cell.

If Ω is the number of accessible microstates, the probability that a system chosen at

random from the ensemble would be in a given microstate is simply 1/Ω.

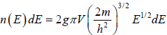
No. of accessible microstate in phase space which has energy between E to E + dE is given byBasic Definition & Postulates of Statistical Mechanics | Kinetic Theory & Thermodynamics - Physics which is given in term of energy isBasic Definition & Postulates of Statistical Mechanics | Kinetic Theory & Thermodynamics - Physics where g is degeneracy of the particle.

Entropy

From the number of accessible microstates, Ω , we can obtain the entropy (S) of the

system via ln , where Basic Definition & Postulates of Statistical Mechanics | Kinetic Theory & Thermodynamics - Physics, where kB is the Boltzmann constant. or, equivalently, 

Basic Definition & Postulates of Statistical Mechanics | Kinetic Theory & Thermodynamics - Physics Ω is equivalent to “micro canonical partition function”

Example 3: If there is N number of particle which have spin 3//2 which will interact with magnetic field B which are in equilibrium at temperature T

(a) How many no. of microstate for each particle

(b) What is entropy of the system.

(a) if 3/2 s then z component of spin i.e. sz = Basic Definition & Postulates of Statistical Mechanics | Kinetic Theory & Thermodynamics - Physics so there is 4

microstate for each particle

For the N no. of particle there will be 4N no of state.

(b) S = kB InΩ , where Ω = 4N for given system. So S = NkBIn4


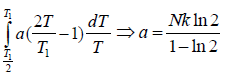
Example 4: A solid contain N magnetic atoms having spin 1/2. At sufficiently high temperature each spin is completely random oriented. At sufficiently low temperature all the spin become oriented in same direction let the heat capacity as a function of temperature T by 

Basic Definition & Postulates of Statistical Mechanics | Kinetic Theory & Thermodynamics - Physics

Find the value of "a"

at very low temperature all spins are oriented in only one direction so there is

only one possible microstate for each atoms . hence entropy isS1 = 0, at high temperature all the spin are randomly oriented and they can be either in up or down microstate so there are two microstate for each atom hence for N no of atom entropy is given by

S2 = NkIn 2

so S2 - S1 = NkIn 2 which is determined by theoretical calculation . now from the given expression of heat capacity we have relation c = Basic Definition & Postulates of Statistical Mechanics | Kinetic Theory & Thermodynamics - Physics.

Basic Definition & Postulates of Statistical Mechanics | Kinetic Theory & Thermodynamics - Physics = Basic Definition & Postulates of Statistical Mechanics | Kinetic Theory & Thermodynamics - Physics

Canonical Ensemble

The canonical ensemble occurs when a system with fixed volume (V) and number of particle (N) at constant temperature (T) . In other words we will consider an assembly of systems closed to others by rigid, diathermal, impermeable walls. The energy of the 

microstates can be fluctuate, the system is kept in equilibrium by being in contact with the heat bath at temperature T . It is also referred to as the NVT ensemble

Schematically the system can be shown as

Basic Definition & Postulates of Statistical Mechanics | Kinetic Theory & Thermodynamics - Physics

In above table each cell considers as each microstate temperature, volume and number of particle is fixed in each cell. Only value of energy is different in different cell which can be exchanged in the process.

Partition Function for Canonical Ensemble

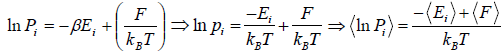
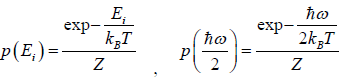
According to Gibbs, the probability of finding the system in any of its ith state at temperature T where energy of that state is Ei is given byBasic Definition & Postulates of Statistical Mechanics | Kinetic Theory & Thermodynamics - Physics where Basic Definition & Postulates of Statistical Mechanics | Kinetic Theory & Thermodynamics - Physics Basic Definition & Postulates of Statistical Mechanics | Kinetic Theory & Thermodynamics - Physics where c is proportionality constant. Hence p(Ei) is probability then

Basic Definition & Postulates of Statistical Mechanics | Kinetic Theory & Thermodynamics - Physics

The letter Z stands for the German word Zustandssumme, "sum over states" and is popularly known as partition function for canonical ensemble which is given by Z = Basic Definition & Postulates of Statistical Mechanics | Kinetic Theory & Thermodynamics - Physics

In systems with multiple quantum, we can write the partition function in terms of the

contribution from energy levels (indexed by i ) as follows:

Basic Definition & Postulates of Statistical Mechanics | Kinetic Theory & Thermodynamics - Physics

where gi is the degeneracy factor, or number of quantum states which have the same energy level defined by  Ei .

In classical statistical mechanics, it is not really correct to express the partition function as a sum of discrete terms, as we have done.

In classical mechanics, the position and momentum variables of a particle can vary continuously, so the set of microstates is actually uncountable. In this case we must describe the partition function using an integral rather than a sum. For instance, the partition function of a gas of N identical classical particles is

Basic Definition & Postulates of Statistical Mechanics | Kinetic Theory & Thermodynamics - Physics

Where pi indicate particle momenta xi  indicate particle positions

d3 is a shorthand notation serving as a reminder that the pand xi are vectors in three

dimensional space, and H is the classical Hamiltonian.

The reason for the ( N factorial): However, there is a well-known exception to this rule. If the sub-systems are actually identical particles, in the quantum mechanical sense that they are impossible to distinguish even in principle, the total partition function must be divided by a N! ( N factorial). For simplicity, we will use the discrete form of the partition function in this article. Our results will apply equally well to the continuous form.

The extra constant factor introduced in the denominator was introduced because, unlike the discrete form, the continuous form shown above is not dimensionless. To make it into a dimensionless quantity, we must divide it by where h is some quantity with units of action (usually taken to be Planck's constant).

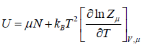
Relation Between Macroscopic Variable and Canonical Partition Function Z

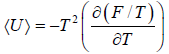
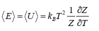
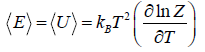
  • Relation between total energy and partition function for large no for particle average of total energy E is equivalent to average of internal energy U .Basic Definition & Postulates of Statistical Mechanics | Kinetic Theory & Thermodynamics - Physics ∴ Basic Definition & Postulates of Statistical Mechanics | Kinetic Theory & Thermodynamics - PhysicsBasic Definition & Postulates of Statistical Mechanics | Kinetic Theory & Thermodynamics - Physics ⇒ Basic Definition & Postulates of Statistical Mechanics | Kinetic Theory & Thermodynamics - Physics
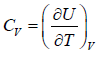
  • Relation between partition function and specific heat at constant volume Cv Basic Definition & Postulates of Statistical Mechanics | Kinetic Theory & Thermodynamics - Physics
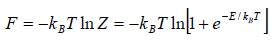
  • Relation between partition function and Helmholtz free Energy:Basic Definition & Postulates of Statistical Mechanics | Kinetic Theory & Thermodynamics - Physics and Basic Definition & Postulates of Statistical Mechanics | Kinetic Theory & Thermodynamics - Physics, Basic Definition & Postulates of Statistical Mechanics | Kinetic Theory & Thermodynamics - Physics = Basic Definition & Postulates of Statistical Mechanics | Kinetic Theory & Thermodynamics - Physics

equating the coefficient of T 2 between relation

Basic Definition & Postulates of Statistical Mechanics | Kinetic Theory & Thermodynamics - Physics and so Basic Definition & Postulates of Statistical Mechanics | Kinetic Theory & Thermodynamics - Physics so F = - kBT InZ

  • relation between partition function and other thermodynamical variable once internal energy (U ) and Helmholtz free energy ( F ) is obtained one can find

(a) entropy ( S ) S = Basic Definition & Postulates of Statistical Mechanics | Kinetic Theory & Thermodynamics - Physics

(b) pressure ( P ) P = Basic Definition & Postulates of Statistical Mechanics | Kinetic Theory & Thermodynamics - Physics

(c) enthalpy( H ) H = U + PV

(d) Gibbs free energy G  = H -TS

Relation Between Entropy and Probability

Basic Definition & Postulates of Statistical Mechanics | Kinetic Theory & Thermodynamics - Physics

Basic Definition & Postulates of Statistical Mechanics | Kinetic Theory & Thermodynamics - Physics

Basic Definition & Postulates of Statistical Mechanics | Kinetic Theory & Thermodynamics - Physics Basic Definition & Postulates of Statistical Mechanics | Kinetic Theory & Thermodynamics - Physics

S = - Basic Definition & Postulates of Statistical Mechanics | Kinetic Theory & Thermodynamics - Physics

Example 5: A system in thermal equilibrium has energies 0 and E. Calculate partition function of system.

Then calculate

(i) Helmholtz Free energy ( F )

(ii) entropy ( S )

(iii) internal energy (U )

(iv) Specific heat at constant volume Cv discuss the trend of specific heat at (a) low

temperature and (b) high temperature

Let T be the temperature of the system. The partition function Z of the system is

Basic Definition & Postulates of Statistical Mechanics | Kinetic Theory & Thermodynamics - Physics

(i) Free energy F of the system is

Basic Definition & Postulates of Statistical Mechanics | Kinetic Theory & Thermodynamics - Physics

(ii) Entropy S of the system is

S = Basic Definition & Postulates of Statistical Mechanics | Kinetic Theory & Thermodynamics - Physics = Basic Definition & Postulates of Statistical Mechanics | Kinetic Theory & Thermodynamics - Physics

(iii) Internal energy U is

U = F + ST = Basic Definition & Postulates of Statistical Mechanics | Kinetic Theory & Thermodynamics - Physics

(iv) Specific heat at constant volume Cv is

Cv = Basic Definition & Postulates of Statistical Mechanics | Kinetic Theory & Thermodynamics - Physics

(a) At a low temperature Basic Definition & Postulates of Statistical Mechanics | Kinetic Theory & Thermodynamics - Physics, and equation (3.35) reduces to

Cv = Basic Definition & Postulates of Statistical Mechanics | Kinetic Theory & Thermodynamics - Physics

Since with the decrease of T

Cv → 0, when T→ 0

(b) At a high temperature Basic Definition & Postulates of Statistical Mechanics | Kinetic Theory & Thermodynamics - Physics and equation reduces to

Cv = Basic Definition & Postulates of Statistical Mechanics | Kinetic Theory & Thermodynamics - Physics Hence, Cv → 0, when T → ∞

One Dimensional Free Particle

Example 6: The Hamiltonian of one dimensional N free particle is confine in box of length L given by E(q,p) = Basic Definition & Postulates of Statistical Mechanics | Kinetic Theory & Thermodynamics - Physics write down

(a) Expression of partition function

(b) Internal energy of system

(c) Specific heat at constant volume

ZN = Basic Definition & Postulates of Statistical Mechanics | Kinetic Theory & Thermodynamics - Physics

= Basic Definition & Postulates of Statistical Mechanics | Kinetic Theory & Thermodynamics - Physics

For evaluation of the first integral of equation let us put Basic Definition & Postulates of Statistical Mechanics | Kinetic Theory & Thermodynamics - Physics = u and Basic Definition & Postulates of Statistical Mechanics | Kinetic Theory & Thermodynamics - Physics = du

Using equations in the first integral equation we have

Basic Definition & Postulates of Statistical Mechanics | Kinetic Theory & Thermodynamics - Physics

= Basic Definition & Postulates of Statistical Mechanics | Kinetic Theory & Thermodynamics - Physics = Basic Definition & Postulates of Statistical Mechanics | Kinetic Theory & Thermodynamics - Physics and integration of second integral is L

Partition function of one particle is Z = Basic Definition & Postulates of Statistical Mechanics | Kinetic Theory & Thermodynamics - Physics

Partition function of N particle is ZN = Basic Definition & Postulates of Statistical Mechanics | Kinetic Theory & Thermodynamics - Physics

(b) the internal energy (E) = (U) = Basic Definition & Postulates of Statistical Mechanics | Kinetic Theory & Thermodynamics - Physics

(E) = (U) = Basic Definition & Postulates of Statistical Mechanics | Kinetic Theory & Thermodynamics - Physics

(c) Basic Definition & Postulates of Statistical Mechanics | Kinetic Theory & Thermodynamics - Physics

Classical Harmonic Oscillator

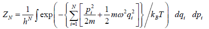
Total energy of the system of N one dimensional classical oscillators is given by

Basic Definition & Postulates of Statistical Mechanics | Kinetic Theory & Thermodynamics - Physics

(a) Write down partition

(b) Helmholtz Free energy

(c) Internal energy

(d) Specific heat at constant volume

The partition function of the system is where

Basic Definition & Postulates of Statistical Mechanics | Kinetic Theory & Thermodynamics - Physics

= Basic Definition & Postulates of Statistical Mechanics | Kinetic Theory & Thermodynamics - Physics

For evaluation of the first integral of equation let us put Basic Definition & Postulates of Statistical Mechanics | Kinetic Theory & Thermodynamics - Physics

Using equations in the first integral equation we have

Basic Definition & Postulates of Statistical Mechanics | Kinetic Theory & Thermodynamics - Physics

For evaluation of the second integral of equation, let us put

Basic Definition & Postulates of Statistical Mechanics | Kinetic Theory & Thermodynamics - Physics and Basic Definition & Postulates of Statistical Mechanics | Kinetic Theory & Thermodynamics - Physics

Basic Definition & Postulates of Statistical Mechanics | Kinetic Theory & Thermodynamics - Physics

= Basic Definition & Postulates of Statistical Mechanics | Kinetic Theory & Thermodynamics - Physics

(a) Free energy F of the system is

F = Basic Definition & Postulates of Statistical Mechanics | Kinetic Theory & Thermodynamics - Physics

Once the free energy of the system is known, we can calculate other thermo dynamical quantities of the system.

(b) Entropy S of the system is

Basic Definition & Postulates of Statistical Mechanics | Kinetic Theory & Thermodynamics - Physics

(c) Internal energy U is

U = Basic Definition & Postulates of Statistical Mechanics | Kinetic Theory & Thermodynamics - Physics

Thus, the mean energy per oscillator is kBT.

(d) Specific heat at constant volume Cv is

Basic Definition & Postulates of Statistical Mechanics | Kinetic Theory & Thermodynamics - Physics The specific heat at constant volume CV is independent of the temperature

Quantum Harmonic Oscillator

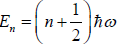
Example 7: In quantum mechanics, energy of an oscillator is quantized and the energy of the N such system is given by

Basic Definition & Postulates of Statistical Mechanics | Kinetic Theory & Thermodynamics - Physics

where ni is an integer ni = 0,1,2,3..; then find

(a) The partition function of the system

(b) Entropy

(c) Helmholtz free energy

(d) Internal energy

(e) Specific heat at constant volume, also discuss the case for lower temperature and higher temperature.

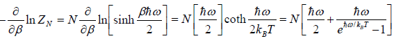
(a) Basic Definition & Postulates of Statistical Mechanics | Kinetic Theory & Thermodynamics - Physics

= Basic Definition & Postulates of Statistical Mechanics | Kinetic Theory & Thermodynamics - Physics

We know that Basic Definition & Postulates of Statistical Mechanics | Kinetic Theory & Thermodynamics - Physics....

= Basic Definition & Postulates of Statistical Mechanics | Kinetic Theory & Thermodynamics - Physics = Basic Definition & Postulates of Statistical Mechanics | Kinetic Theory & Thermodynamics - Physics

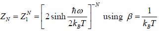
Thus, the partition function is 

ZN = Basic Definition & Postulates of Statistical Mechanics | Kinetic Theory & Thermodynamics - Physics

(b) Free energy F of the system is 

F = Basic Definition & Postulates of Statistical Mechanics | Kinetic Theory & Thermodynamics - Physics = Basic Definition & Postulates of Statistical Mechanics | Kinetic Theory & Thermodynamics - Physics

= Basic Definition & Postulates of Statistical Mechanics | Kinetic Theory & Thermodynamics - Physics

Once the free energy of the system is known, we can calculate other thermodynamical quantities of the system.

(c) Entropy S of the system is

S = Basic Definition & Postulates of Statistical Mechanics | Kinetic Theory & Thermodynamics - Physics = Basic Definition & Postulates of Statistical Mechanics | Kinetic Theory & Thermodynamics - Physics

= Basic Definition & Postulates of Statistical Mechanics | Kinetic Theory & Thermodynamics - Physics

(d) Internal energy U is U = F + ST = Basic Definition & Postulates of Statistical Mechanics | Kinetic Theory & Thermodynamics - Physics

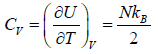
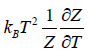
(e) Specific heat at constant volume Cv is

Basic Definition & Postulates of Statistical Mechanics | Kinetic Theory & Thermodynamics - Physics = Basic Definition & Postulates of Statistical Mechanics | Kinetic Theory & Thermodynamics - Physics= Basic Definition & Postulates of Statistical Mechanics | Kinetic Theory & Thermodynamics - Physics

At a low temperature, we have Basic Definition & Postulates of Statistical Mechanics | Kinetic Theory & Thermodynamics - Physics, and therefore, equation reduces to

Basic Definition & Postulates of Statistical Mechanics | Kinetic Theory & Thermodynamics - Physics

Since with the decrease of T, the function Basic Definition & Postulates of Statistical Mechanics | Kinetic Theory & Thermodynamics - Physics reduces much faster than the increase of the function Basic Definition & Postulates of Statistical Mechanics | Kinetic Theory & Thermodynamics - Physics , therefore Cv → 0, when T→ 0

At a high temperature, we have Basic Definition & Postulates of Statistical Mechanics | Kinetic Theory & Thermodynamics - Physics,and therefore, equation reduces to

Basic Definition & Postulates of Statistical Mechanics | Kinetic Theory & Thermodynamics - Physics

It gives Basic Definition & Postulates of Statistical Mechanics | Kinetic Theory & Thermodynamics - Physics when T→ ∞ it shows that the classical result for Cv is valid at high

temperature.

Example 7: In quantum mechanics, energy of an oscillator is quantized and the energy of the N such system is given by Basic Definition & Postulates of Statistical Mechanics | Kinetic Theory & Thermodynamics - Physics where n = 0,1,2,3,.... then

(a) Prove that partition function of the system is ZN = Basic Definition & Postulates of Statistical Mechanics | Kinetic Theory & Thermodynamics - Physics

From the expression used in (a) then find

(a) Internal energy

(b) Specific heat at constant volume, also discuss the case for lower temperature and higher temperature.

(c) Helmholtz free energy

(d) Entropy.

(a) In quantum mechanics, the energy of an oscillator is Basic Definition & Postulates of Statistical Mechanics | Kinetic Theory & Thermodynamics - Physics

Thus, the quantum mechanical partition function for one oscillator is

Basic Definition & Postulates of Statistical Mechanics | Kinetic Theory & Thermodynamics - Physics

= Basic Definition & Postulates of Statistical Mechanics | Kinetic Theory & Thermodynamics - Physics

Since, the partition function ZN of a system of N independent particles is equal to the

product of the partition function Z1 of individual particle, we have

Basic Definition & Postulates of Statistical Mechanics | Kinetic Theory & Thermodynamics - Physics

(b) the internal energy U of the system is

U = Basic Definition & Postulates of Statistical Mechanics | Kinetic Theory & Thermodynamics - Physics

(c) Specific heat at constant volume Cv is

Basic Definition & Postulates of Statistical Mechanics | Kinetic Theory & Thermodynamics - Physics

(d) The Helmohltz free energy F is

F = Basic Definition & Postulates of Statistical Mechanics | Kinetic Theory & Thermodynamics - Physics

(e) The entropy S is S = Basic Definition & Postulates of Statistical Mechanics | Kinetic Theory & Thermodynamics - Physics

Quantum Mechanical Treatment of Spin Half Paramagnetic Substance

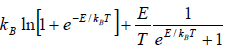
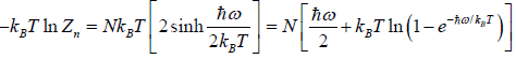
Example 8: Suppose a system comprising identical particles is placed in a uniform magnetic field H and is kept at a temperature T . When a particle having spin 1/2 is placed in a magnetic field H , its each energy level splits into two with changes in energies by μH and the particle has a magnetic moment μ or -μ along the direction of the magnetic field, respectively. Find expressions for internal energy, entropy, specific heat and total magnetic moment M of this system with the help of the canonical distribution.

As the spins of particles are independent of each other, the partition function of the total system ZN is equal to the product of the partition functions for spins of individual particle. The partition function for spins of individual particle is

Basic Definition & Postulates of Statistical Mechanics | Kinetic Theory & Thermodynamics - Physics

Thus, Basic Definition & Postulates of Statistical Mechanics | Kinetic Theory & Thermodynamics - Physics

The Helmholtz free energy is

F = Basic Definition & Postulates of Statistical Mechanics | Kinetic Theory & Thermodynamics - Physics

The entropy is

S = Basic Definition & Postulates of Statistical Mechanics | Kinetic Theory & Thermodynamics - Physics

Total energy is U = F + TS Basic Definition & Postulates of Statistical Mechanics | Kinetic Theory & Thermodynamics - Physics

Total magnetic moment is

Basic Definition & Postulates of Statistical Mechanics | Kinetic Theory & Thermodynamics - Physics

The specific heat at constant volume CV is

Basic Definition & Postulates of Statistical Mechanics | Kinetic Theory & Thermodynamics - Physics


Example 9: If Z is partition of one dimensional harmonic oscillator with energy Basic Definition & Postulates of Statistical Mechanics | Kinetic Theory & Thermodynamics - Physics where n=0,1,2,3...at equilibrium temperature T.

(a) what is probability that system has energy Basic Definition & Postulates of Statistical Mechanics | Kinetic Theory & Thermodynamics - Physics

(b) what is probability that system has energy lower than Basic Definition & Postulates of Statistical Mechanics | Kinetic Theory & Thermodynamics - Physics

(c) what is probability that system has energy greater than Basic Definition & Postulates of Statistical Mechanics | Kinetic Theory & Thermodynamics - Physics

(a) If Z is partition of system what will be probability that system has energy Basic Definition & Postulates of Statistical Mechanics | Kinetic Theory & Thermodynamics - Physics at equilibrium temperature T .

Basic Definition & Postulates of Statistical Mechanics | Kinetic Theory & Thermodynamics - Physics

(b) System has smaller than energy Basic Definition & Postulates of Statistical Mechanics | Kinetic Theory & Thermodynamics - Physics possible energy is Basic Definition & Postulates of Statistical Mechanics | Kinetic Theory & Thermodynamics - Physics

so Basic Definition & Postulates of Statistical Mechanics | Kinetic Theory & Thermodynamics - Physics

(c) Basic Definition & Postulates of Statistical Mechanics | Kinetic Theory & Thermodynamics - Physics

Basic Definition & Postulates of Statistical Mechanics | Kinetic Theory & Thermodynamics - Physics


Example 10: A particle is confined to the region x ≥ 0 by a potential which increases linearly as

U(x) = u0x. find the mean position of the particle at temperature T .

Partition function is given by Z = Basic Definition & Postulates of Statistical Mechanics | Kinetic Theory & Thermodynamics - Physics

Basic Definition & Postulates of Statistical Mechanics | Kinetic Theory & Thermodynamics - Physics

= Basic Definition & Postulates of Statistical Mechanics | Kinetic Theory & Thermodynamics - Physics

Grand canonical ensemble

In grand canonical ensemble, each element is in contact with reservoir where exchange of energy and particles is feasible. So in such type of ensemble energy (E) and number of particle (N) of system vary. This is an extension of the canonical but instead the grand canonical ensemble being modeled is allowed to exchange energy and particles with its environment. The chemical potential (μ) (or fugacity) is introduced to specify the fluctuation of the number of particles as chemical potential and particle numbers are thermodynamic conjugates. Popularly grand canonical ensemble is also known as T,V,μ .

Schematically the grand canonical ensemble can be represented as

Basic Definition & Postulates of Statistical Mechanics | Kinetic Theory & Thermodynamics - Physics

In above table each cell considers as each microstate temperature, volume and chemical potential which is fixed in each cell. Only value of energy and no of particle is different in different cell which can be exchanged in the process.

Grand canonical partition function is defined

In grand canonical ensemble for the system of interest having constant value of T,V,μ the partition function in classical system is given by

Basic Definition & Postulates of Statistical Mechanics | Kinetic Theory & Thermodynamics - Physics

Where in quantum mechanical system Basic Definition & Postulates of Statistical Mechanics | Kinetic Theory & Thermodynamics - Physics

Thermo dynamical quantities in grand canonical ensemble

Relation between Helmholtz free energy and grand canonical partition function

According to Gibbs distribution function Basic Definition & Postulates of Statistical Mechanics | Kinetic Theory & Thermodynamics - Physics

If ΔT is statistical weight which is equivalent to no of microstate Ω in micro canonical

ensemble then Basic Definition & Postulates of Statistical Mechanics | Kinetic Theory & Thermodynamics - PhysicsΔT  = 1 and ΔT = Basic Definition & Postulates of Statistical Mechanics | Kinetic Theory & Thermodynamics - Physics

So entropy is given by S = Basic Definition & Postulates of Statistical Mechanics | Kinetic Theory & Thermodynamics - Physics

So entropy S = Basic Definition & Postulates of Statistical Mechanics | Kinetic Theory & Thermodynamics - Physics

Basic Definition & Postulates of Statistical Mechanics | Kinetic Theory & Thermodynamics - Physics

Where F - μN is popularly known as grand potential popularly represented by Ω.

⇒Ω = Basic Definition & Postulates of Statistical Mechanics | Kinetic Theory & Thermodynamics - Physics

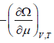
  • Pressure of the system is P = Basic Definition & Postulates of Statistical Mechanics | Kinetic Theory & Thermodynamics - Physics
  • The entropy of system is S= Basic Definition & Postulates of Statistical Mechanics | Kinetic Theory & Thermodynamics - Physics
  • The average number is N = Basic Definition & Postulates of Statistical Mechanics | Kinetic Theory & Thermodynamics - Physics
  • Helmholtz free energy F = Basic Definition & Postulates of Statistical Mechanics | Kinetic Theory & Thermodynamics - Physics
  • Internal energy U = F + TS, Basic Definition & Postulates of Statistical Mechanics | Kinetic Theory & Thermodynamics - Physics
The document Basic Definition & Postulates of Statistical Mechanics | Kinetic Theory & Thermodynamics - Physics is a part of the Physics Course Kinetic Theory & Thermodynamics.
All you need of Physics at this link: Physics
6 videos|20 docs|32 tests

FAQs on Basic Definition & Postulates of Statistical Mechanics - Kinetic Theory & Thermodynamics - Physics

1. What are the postulates of statistical mechanics?
Ans. The postulates of statistical mechanics are fundamental assumptions that serve as the basis for the theory. They include the assumption of equal a priori probabilities, the ergodic hypothesis, and the assumption of the existence of a large number of particles.
2. What is an ensemble in statistical mechanics?
Ans. In statistical mechanics, an ensemble refers to a collection of identical particles or systems that are in the same macroscopic state but may have different microscopic configurations. It allows for the statistical analysis of the properties of a system by considering the average behavior of a large number of similar systems.
3. What is the canonical ensemble in statistical mechanics?
Ans. The canonical ensemble is a statistical ensemble that represents a system in thermal equilibrium with a heat reservoir at a fixed temperature. It is used to study systems with a fixed number of particles and constant temperature, and it provides a framework for calculating thermodynamic quantities such as the partition function and average energy.
4. What is the grand canonical ensemble in statistical mechanics?
Ans. The grand canonical ensemble is a statistical ensemble that represents a system in contact with a heat reservoir and a particle reservoir, allowing for fluctuations in both energy and particle number. It is used to study systems with variable particle number, temperature, and chemical potential, making it suitable for modeling open systems or systems undergoing particle exchange with their surroundings.
5. How is the grand canonical partition function defined?
Ans. The grand canonical partition function, denoted by Ξ, is a mathematical function that describes the statistical properties of a system in the grand canonical ensemble. It is defined as the sum of the Boltzmann factors of all possible states of the system, weighted by their respective probabilities. The grand canonical partition function plays a crucial role in calculating various thermodynamic quantities in the grand canonical ensemble, such as the average particle number and the chemical potential.
Related Searches

Sample Paper

,

mock tests for examination

,

Objective type Questions

,

Semester Notes

,

MCQs

,

past year papers

,

shortcuts and tricks

,

Important questions

,

Extra Questions

,

video lectures

,

Free

,

Exam

,

Basic Definition & Postulates of Statistical Mechanics | Kinetic Theory & Thermodynamics - Physics

,

practice quizzes

,

Viva Questions

,

Summary

,

ppt

,

Basic Definition & Postulates of Statistical Mechanics | Kinetic Theory & Thermodynamics - Physics

,

pdf

,

Basic Definition & Postulates of Statistical Mechanics | Kinetic Theory & Thermodynamics - Physics

,

Previous Year Questions with Solutions

,

study material

;