Physics Exam  >  Physics Notes  >  Kinetic Theory & Thermodynamics  >  Basics of Thermodynamics

Basics of Thermodynamics | Kinetic Theory & Thermodynamics - Physics PDF Download

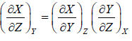
Mathematical Formulations of Thermodynamics

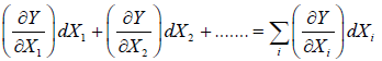
Y = Y(X1, X2 ,......Xn)

then differential dY is said to be exact and one can write

dY = Basics of Thermodynamics | Kinetic Theory & Thermodynamics - Physics

dY = c1dX1+ c2dX2 + ........

dY = Basics of Thermodynamics | Kinetic Theory & Thermodynamics - Physics

and its corresponding ci Xi are said to be conjugate to each other.

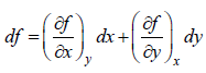
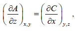
It is given that df = Adx + Bdy + Cdz If f is perfect differential then

Basics of Thermodynamics | Kinetic Theory & Thermodynamics - Physics

Basics of Thermodynamics | Kinetic Theory & Thermodynamics - Physics

Basics of Thermodynamics | Kinetic Theory & Thermodynamics - Physics

Some Important Formulas

1. Basics of Thermodynamics | Kinetic Theory & Thermodynamics - Physics

2. Basics of Thermodynamics | Kinetic Theory & Thermodynamics - Physics

3. Basics of Thermodynamics | Kinetic Theory & Thermodynamics - Physics

4. Basics of Thermodynamics | Kinetic Theory & Thermodynamics - Physics

5. Basics of Thermodynamics | Kinetic Theory & Thermodynamics - Physics

6. dX = Basics of Thermodynamics | Kinetic Theory & Thermodynamics - Physics

Basics of Thermodynamics | Kinetic Theory & Thermodynamics - Physics

System

A system can be any object, region of space etc, selected for study and set apart (mentally) from everything else. All other thing except system is identified as surrounding. The system of interest in thermodynamics are finite and macroscopic rather than microscopic. The imaginary envelope which encloses a system and separate it from its surrounding is called the boundary of the system.Basics of Thermodynamics | Kinetic Theory & Thermodynamics - Physics

Open system: 

When Heat and Mass flowing across the boundary the system is identified as open system.Basics of Thermodynamics | Kinetic Theory & Thermodynamics - Physics

For boiling water without a lid, heat is transferred into the air and at same time steam (which is matter) also mixed into the air.

Closed system: 

When Heat can be exchanged across the boundary but Mass can not flow across the boundary the system is identified as closed system. Example is electric bulb.Basics of Thermodynamics | Kinetic Theory & Thermodynamics - Physics

Isolated System: 

It cannot exchange either matter or energy with the surrounding. Example: Thermal flask, Universe.Basics of Thermodynamics | Kinetic Theory & Thermodynamics - Physics

Thermodynamical State

A thermodynamic state is a set of values of properties of a thermodynamic system that must be specified to represent the system. 

Thermodynamic state is the macroscopic condition of a thermodynamic system as described by its particular thermodynamic parameter, such as temperature (T), pressure

(P), volume (V) and density(ρ).

State function

State function also called “State variable” are those thermodynamic variables that describe the momentary condition of thermodynamic system. For a continuous process,

such variable are exact differential also fully determined by their initial and final

thermodynamic states, which is also known as thermodynamic property.

A thermodynamic system can be completely defined when certain parameters (State

Variable) are completely defined. These system parameters are called thermodynamic

properties. The position (state) of a system can be shown on a property diagram.

For example, the system comprises of Ideal gas confined in a cylinder with a frictionless

piston. When the system gets heat the gas expands and piston moves out i.e., pressure

will change from P1 tp P2 and volume expands from V1 to V2.

Property diagram of Ideal gas in P - V diagram when it is heating.

Basics of Thermodynamics | Kinetic Theory & Thermodynamics - Physics Basics of Thermodynamics | Kinetic Theory & Thermodynamics - Physics

Property Diagram of Ideal gas when it is cooling. If we cool the system the piston will

move in opposite direction and gas is compressed .

Basics of Thermodynamics | Kinetic Theory & Thermodynamics - PhysicsBasics of Thermodynamics | Kinetic Theory & Thermodynamics - Physics

When piston is compressed then pressure increased from P2 to P1 and volume decrease from V2 to V1. and V here are properties of system parameters.

Thermodynamic properties are macroscopic properties, they are mainly

Pressure (P) : Pressure is the force applied perpendicular to the surface of an object

per unit area over which that force is distributed. The SI unit of pressure N /m2

Volume (V) : Volume is the quantity of three-dimensional space enclosed by a closed

surface, for example, the space that a substance or shape occupies or contains. Volume is

often quantified numerically using the SI derived unit, the cubic meter. The volume of a

container is generally understood to be the capacity of the container; i.e., the amount

of fluid (gas or liquid) that the container could hold

Temperature (T): Temperature is a physical quantity expressing hot and cold. It is a proportional measure of the average kinetic energy of the random motions of the constituent particles of matter (such as atoms and molecules) in a system.

Entropy (S) : Entropy is the measure of randomness of a system.

If heat Q is transferred to a system at temperature T , entropy increases and if Heat is

transferred from body then entropy decreases.

The change in entropy ∫dS = Basics of Thermodynamics | Kinetic Theory & Thermodynamics - Physicsor S2 - S2 = Q/T

dS = dQ/T is used for reversible process But for irreversible process dS > dQ/T.
Internal Energy (U) : Internal energy of a system which comprises of Potential

energy, kinetic energy, vibration energy, rotational energy etc. of the system particles.

For an ideal gas internal energy is only function of temperature,U = f (T)

Internal energy will also defined Specific heat at constant volume which is given by 

Cv = Basics of Thermodynamics | Kinetic Theory & Thermodynamics - Physics

Hence internal energy is point function then their change are measured by difference in initial and final state only. 

ΔU = U2 - U1. For close path Basics of Thermodynamics | Kinetic Theory & Thermodynamics - Physics

Basics of Thermodynamics | Kinetic Theory & Thermodynamics - Physics

Enthalpy (H) - Enthalpy of a gas o a fluid is defined as H = U + PV where U is Specific heat at constant pressure Cp = dH/dT.
ΔH = H1 - H2
Change in enthalpy H2 - H1 = (U2 + P2 + V2) - (U1 - P1 - V1) of fluid.
For ideal gas U= f(T) and PV = RT
So for Ideal Gas, enthalpy is also only function of temperature i.e., H = f(T)
Helmtloltz Free Energy (F) - The Helmholtz free energy is given by F = U - TS is the measure of potential between any two points during a process (Chemical or flow) which tells about possibility of the process on forward direction. The Helmholtz free energy is measurement of Available energy for work.
Basics of Thermodynamics | Kinetic Theory & Thermodynamics - Physics

Gibbs Energy (G) - Gibbs energy determines the spontaneity of a process.
G = H - TS
ΔG = ΔH - TΔS (For isothermal) process of
ΔG > 0 Non spontaneous ⇒  ΔH > TΔS or ΔH/T > ΔS
ΔG < 0 Spontaneous ⇒ or ΔH/T < ΔS
ΔG = 0 Spontaneous or ΔH/T = ΔS

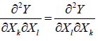
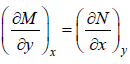
Mathematical condition for state function

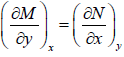
If f (x, y) is state function (thermodynamic property) or path independent then with variable x and y then
Basics of Thermodynamics | Kinetic Theory & Thermodynamics - Physics  ⇒ df Md x Mdy where M = Basics of Thermodynamics | Kinetic Theory & Thermodynamics - Physics N = Basics of Thermodynamics | Kinetic Theory & Thermodynamics - Physics
If f (x, y) is exact differential, thenBasics of Thermodynamics | Kinetic Theory & Thermodynamics - Physics
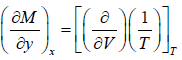
Example 1: If f(T,V) = Basics of Thermodynamics | Kinetic Theory & Thermodynamics - Physics then prove that f(T,V) is path independent or State function or thermodynamic property.

Here M = 1/T, N = P/T and x = T and y = V
Basics of Thermodynamics | Kinetic Theory & Thermodynamics - Physics = 0 and Basics of Thermodynamics | Kinetic Theory & Thermodynamics - Physics
Since,Basics of Thermodynamics | Kinetic Theory & Thermodynamics - Physics, the given expression is not an exact differential, and hence not a thermodynamic property.

Example 2: If function f (P,V) is defined as f (P,V) = Basics of Thermodynamics | Kinetic Theory & Thermodynamics - Physics then prove that
f (P,V) is thermodynamic property or State function.

f (P,V) = Basics of Thermodynamics | Kinetic Theory & Thermodynamics - Physics 

M = V/T = R/p and N = p/T = R/V x = P and y = V

Basics of Thermodynamics | Kinetic Theory & Thermodynamics - Physics

Basics of Thermodynamics | Kinetic Theory & Thermodynamics - Physics
Since, Basics of Thermodynamics | Kinetic Theory & Thermodynamics - Physics, the given expression is an exact differential, and hence thermodynamic property or state function

Intensive and extensive properties

Intensive properties: It is a physical property of a system that does not depend on the system size or the amount of material in system. It is scale invariant.

Example: Chemical potential, density, viscosity, resistivity, specific heat capacity, pressure, elasticity, magnetization, velocity, acceleration, temperatures, etc.

Extensive Properties: It is additive for independent non-interacting subsystem. It is directly proportional to the amount of material in the system.

Example: Energy, Entropy, Gibbs energy, mass momentum, volume, change, weight,
Note: If f and g are arbitrary intensive variable, then Basics of Thermodynamics | Kinetic Theory & Thermodynamics - Physics and f + g will also be

intensive variables.
If F and G are two arbitrary extensive variables, then F + G will be an extensive variable, but F/G and dF/dG will be intensive.
If F is extensive variable and f is intensive variable, the dF, F/f and dF/df will be extensive variables.

Reversible and irreversible process

The process in which the system and surroundings can be restored to the initial state from the final state without producing any changes in the thermodynamics properties of the universe is called a reversible process, otherwise the process is irreversible. dS = dQ/T

is used for reversible process But for irreversible process dS > dQ/T .

Quasi static process

A quasi-static process is a thermodynamic process slow enough that system to remain in internal equilibrium. The volume of a system changes at a slow rate enough to allow the pressure to remain uniform and constant throughout the system. Any reversible process is also a quasi-static one, but the converse is not true.

Thermodynamic equilibrium

In thermodynamic equilibrium there are no net macroscopic flows of matter or of energy, either within a system or between systems. In thermodynamic equilibrium the system will have uniform temperature.

Equation of State

In thermodynamics, an equation of state is a thermodynamic equation relating state variables which describe the state of matter under a given set of physical conditions, such as pressure, volume, temperature (P,V,T) , or internal energy.

Equation of State for Ideal Gas

The Ideal gas law in the equation of state of a hypothetical Ideal gas. It is derived from kinetic theory and satisfies the Boyle’s and Charles’ law.
The state of an amount (number of mole n ) of ideal gas is determined by its pressure

(P) , volume (V) and temperature (T).
The Ideal gas equation of state for n mole is given by PV = nRT , where R is gas

constant and is equal to 8.314 J.K-1mole-1

Equation of state for Real gases (van der Waal equation)

The state of an amount of Real gas (number of mole n ) is determined by its pressure (P) , volume (V) and temperature (T).
Basics of Thermodynamics | Kinetic Theory & Thermodynamics - Physics

The document Basics of Thermodynamics | Kinetic Theory & Thermodynamics - Physics is a part of the Physics Course Kinetic Theory & Thermodynamics.
All you need of Physics at this link: Physics
6 videos|20 docs|32 tests

FAQs on Basics of Thermodynamics - Kinetic Theory & Thermodynamics - Physics

1. What is the mathematical formulation of thermodynamics?
Ans. The mathematical formulation of thermodynamics involves the use of equations and mathematical expressions to describe and analyze the behavior of thermodynamic systems. It includes the use of equations of state, such as the ideal gas law, and various mathematical relationships that govern the transfer of energy and heat in thermodynamic processes.
2. What is the difference between intensive and extensive properties in thermodynamics?
Ans. Intensive properties are independent of the size or amount of the system, while extensive properties depend on the size or amount of the system. For example, temperature is an intensive property as it does not change with the size of the system, whereas mass is an extensive property as it depends on the amount of substance present.
3. What is a reversible process in thermodynamics?
Ans. A reversible process in thermodynamics is a process that can be reversed by an infinitesimal change in the conditions, without any loss or dissipation of energy. In a reversible process, the system and its surroundings can return to their initial states without any irreversibilities. It is an idealized concept that helps in the analysis and understanding of thermodynamic systems.
4. What is the meaning of thermodynamic equilibrium?
Ans. Thermodynamic equilibrium refers to a state in which a system is in a stable and unchanging condition with respect to its thermodynamic properties. In this state, the system is internally balanced and there is no net exchange of energy, matter, or any other property with its surroundings. It is a state of maximum entropy and minimum free energy.
5. What is an equation of state in thermodynamics?
Ans. An equation of state in thermodynamics is a mathematical relationship that describes the behavior of a thermodynamic system in terms of its state variables. It relates the pressure, volume, and temperature of a system to each other, along with other relevant variables. Examples of equations of state include the ideal gas law, van der Waals equation, and the Peng-Robinson equation.
Related Searches

shortcuts and tricks

,

Exam

,

pdf

,

Basics of Thermodynamics | Kinetic Theory & Thermodynamics - Physics

,

Summary

,

past year papers

,

Important questions

,

study material

,

Objective type Questions

,

Semester Notes

,

Extra Questions

,

Sample Paper

,

Previous Year Questions with Solutions

,

mock tests for examination

,

Free

,

ppt

,

Viva Questions

,

MCQs

,

practice quizzes

,

Basics of Thermodynamics | Kinetic Theory & Thermodynamics - Physics

,

Basics of Thermodynamics | Kinetic Theory & Thermodynamics - Physics

,

video lectures

;