Commerce Exam  >  Commerce Notes  >  Economics Class 11  >  CBSE Class 11 Economics Sample Paper - 5

CBSE Class 11 Economics Sample Paper - 5 | Economics Class 11 - Commerce PDF Download

Time : 3 Hours
Maximum Marks : 80

General Instructions:

  1. This question paper contains two sections:
    Section A – Statistics for Economics Section B – Introductory Micro Economics
  2. This paper contains 20 Multiple Choice Questions type questions of 1 mark each.
  3. This paper contains 4 Short Answer Questions type questions of 3 marks each to he answered in 60 to 80 words.
  4. This paper contains 6 Short Answer Questions type questions of 4 marks each to he answered in 80 to 100 words.
  5. This paper contains 4 Long Answer Questions type questions of 6 marks each to he answered in 100 to 150 words.
"Section – A"

Q1: Read the following statements and choose the correct alternative: [1 Mark]
Statement – I Statistics plays an important role in the field of economics.
Statement – II Statistics help in analysing different economic problems which needs immediate attention.
(a)
Statement I is true and Statement II is false.
(b) Statement I is false and Statement II is true.
(c) Both Statements I and II are true.
(d) Both Statements I and II are false.
Ans: (c)
Statistics plays an important role in the field of economics. It is an important tool which helps in solving different economic problems. Statistics help in analyzing different economic problems which needs immediate attention.


Q2: Primary data can be collected by: [1 Mark]
(a)
Personal investigation
(b) Telephone interview
(c) Mailing questionnaire
(d) All of the above
Ans: (d)
Primary data is collected through investigation, interview, questionnaire, local correspondents, etc.


Q3: An index which is based on the relative importance of commodity is called: [1 Mark]
(a) 
Weighted
(b) Simple aggregative
(c) Simple price relative
(d) All of the these
Ans: (a)
An index number which accounts for the relative importance of the items is known as weighted index.

Q4: Identify the correct pair of terms with their common symbols from the following Columns I and II: [1 Mark]CBSE Class 11 Economics Sample Paper - 5 | Economics Class 11 - Commerce

(a) A – 1
(b) B – 2
(c) C – 3
(d) D – 4
Ans: (c)
The symbol for frequency is f, Assumed mean is A and mean is X.


Q5: Identify the following diagram and choose the correct alternative: [1 Mark]

CBSE Class 11 Economics Sample Paper - 5 | Economics Class 11 - Commerce(a) Simple Bar Chart
(b) Multiple Bar Chart
(c) Pie Chart
(d) Histogram
Ans: (a)
The given diagram is a Simple Bar Chart. In the given diagram, a bar chart illustrates comparisons among individual items.


Q6: In less than cumulative frequency distribution, the omitted limit is: [1 Mark]
(a)
Lower
(b) Upper
(c) Middle
(d) All of the these
Ans: (a)
“Less than “cumulative frequency distribution: A downward cumulation results in a list presenting the number of frequency “less than” any given value as revealed by the lower limit of succeeding class-interval.


Q7: Sushila wants to know the average of marks obtained in six different subjects. The tool that she will use is ……………. . [1 Mark]
(a) 
Arithmetic Mean
(b) Median
(c) Mode
(d) Geometric Mean
Ans: (a)
As she wants to calculate the average of marks, so the extreme value needs to affect the central tendency. In such a case the best average for her will be Arithmetic Mean.


Q8: Median is that value of the series which is: [1 Mark]
(a) 
In the middle
(b) Average
(c) Whose frequency is highest
(d) None of the above
Ans: (a)
The median divides the series into two equal halves, so it is the most middle value.


Q9: Read the following Assertion (A) and Reason (R) and choose the correct alternative: [1 Mark]
Assertion (A): While calculating Median of the series, the items need to be arranged in either ascending order or descending order.
Reason (R): In median, the central item is to be found which divides the series into two equal parts.
(a)
Both Assertion (A) and Reason (R) are true, and Reason (R) is the correct explanation of Assertion (A).
(b) Both Assertion (A) and Reason (R) are true, but Reason (R) is not the correct explanation of Assertion (A).
(c) Assertion (A) is true, but Reason (R) is false.
(d) Assertion (A) is false, but Reason (R) is true.
Ans: (a)
Median is that value of the variable which divides the group into two equal parts, one part comprising all values greater than the median value and the other part comprising all the values smaller than the median value.


Q10: If the total cost of three models of refrigerator are subdivided into 10 heads ?6400, ?100 and ?10,000 which diagram will be constructed for the comparative analysis? [1 Mark]
(a)
Sub-divided bar diagrams
(b) Sub-divided rectangles
(c) Angular or sector diagram
(d) None of the above
Ans: (c)
As the division is made in sectors so the angular diagram will be constructed.


Q11: ‘The degree of closeness of scatter points and their overall direction gives us an idea of the nature of the relationship between variables.’ [3 Marks]
Do you agree with the given statement? Give valid reason in support of your answer.
Ans: 
Yes, I agree with this statement. Scatter diagram is a graphic method of studying correlation. To construct a scatter diagram, X variable is taken on X-axis and Y variable is taken on Y-axis. The cluster of points, so plotted is referred to as a scatter diagram. In a scatter diagram, the degree of closeness of scatter points and their overall direction gives us an idea of the nature of the relationship.

  1. If the dots move from left to right wards, correlation is said to be positive whereas the movement of dots from left to right downwards indicates negative correlation.
  2. Dots in a straight line indicate perfect correlation.
  3. Dots falling close to each other in a straight line indicate high degree of correlation.


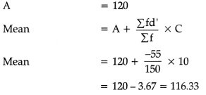
Q12: The average marks of 100 students in a class are 48. But while calculating it, the marks of a student were written 73 instead of 53. Find out the corrected arithmetic mean. [3 Marks]

OR

Following information pertains to the daily income of 150 families. Calculate the arithmetic mean:CBSE Class 11 Economics Sample Paper - 5 | Economics Class 11 - CommerceAns: Incorrect ΣX = N × X
= 100 × 48 = 4,800
Correct ΣX = 4,800 – 73 + 53 = 4,780
Mean = ΣX/N
Mean = 4780/100 = 47.8

OR

CBSE Class 11 Economics Sample Paper - 5 | Economics Class 11 - Commerce

CBSE Class 11 Economics Sample Paper - 5 | Economics Class 11 - Commerce


Q13: The marks obtained by 25 students in a class are as follows: [4 Marks]
22,28, 30,32,35,37,40,41,43,44,45,45,48,49,52,53,54,56,56,58,60,62,65,68,69
(a) Arrange the above data as frequency distribution taking class-interval:
20-29,30-39,40-49,50-59,60-69
(b) Form the cumulative frequency distribution also.
Ans: 
Here, we can convert given data into frequency distribution and cumulative frequency distribution by using tally bar and inclusive series:
(a) The frequency distribution of given data is shown below:CBSE Class 11 Economics Sample Paper - 5 | Economics Class 11 - Commerce(b) The cumulative frequency distribution of the given data is shown below:

CBSE Class 11 Economics Sample Paper - 5 | Economics Class 11 - CommerceCBSE Class 11 Economics Sample Paper - 5 | Economics Class 11 - Commerce


Q14: Find out the median for the data given below: [4 Marks]

CBSE Class 11 Economics Sample Paper - 5 | Economics Class 11 - Commerce

OR

Does zero correlation means independence?
Ans:
CBSE Class 11 Economics Sample Paper - 5 | Economics Class 11 - CommerceMedian = Size of N/2th item
= Size of 60/2th item
= Size of 30th item
This lies in 60 – 80 group
Thus, Median Value = CBSE Class 11 Economics Sample Paper - 5 | Economics Class 11 - Commerce

= 60 + 30 − 25 / 6 × 20
= 60 + 16.6
= 76.6

OR

No, zero correlation does not mean independence. If there is zero correlation, it means the two variables are not correlated and there is no linear relation between them. However, other types of relation may be there and they may not be independent.


Q15: What are the desirable properties of the base period? [4 Marks]
Ans: 
The base period should have the following desirable properties:
(i) The base year should not be either too short or too long: It should not be either less than a month or more than a year for calculation purpose.
(ii) The base year should not belong to too near or too far: Statisticians compare the current year’s conditions with the conditions in the base year. So, if the base year is too far from the current year, then the comparison becomes meaningless. Similarly, if the base year is too near to the current year, then comparison fails to capture the change in the taste, preferences, fashion, etc. Thus, in order to conduct a meaningful comparison, the base year should not be either too far or too near to the current year.
(iii) The base year should be so selected that the data for the same should be available: The data for a year should be available in order to regard that particular year to be the base year. This enables one to draw conclusions, inferences and for making comparisons.
(iv) The base period should be constantly updated: The base year should be constantly updated due to the changes in taste, preferences and fashion otherwise; the comparison becomes misleading or inconclusive.


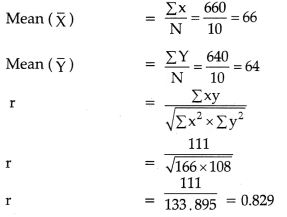
Q16: (a) From the following data, calculate Karl Pearson’s coefficient of correlation: [3 Marks]CBSE Class 11 Economics Sample Paper - 5 | Economics Class 11 - Commerce(b) Do you agree that classified data is better than raw data? [3 Marks]

OR

(a) ‘Statistics are figures, but all figures are not statistics’. Justify the statement. [3 Marks]
(b) If the points in a scatter diagram tend to cluster in a straight line which makes an angle of 30° with the X-axis, what would you say about the strength of association between X and Y ? [3 Marks]
Ans: 
(a)

CBSE Class 11 Economics Sample Paper - 5 | Economics Class 11 - Commerce

CBSE Class 11 Economics Sample Paper - 5 | Economics Class 11 - Commerce

(b) The classified data has following advantages over the raw data:

  1. Comprehensive: Raw data are large and entangled, whereas classified data are comprehensive and easily manageable.
  2. Quick Information: It is troublesome to pick up information from unclassified data. Information can be easily collected from the classified data.
  3. Conclusions: Classification facilitates comparisons and helps in drawing fast conclusions or inferences.
  4. Saves Time and Energy: Classified data not only save our time but also our energy, which would otherwise be utilised in searching from entire lot of things.
OR

(a) Statistics is often regarded as being a means by which observations are expressed numerically in order to investigate casual relationship between the variables. Any fact, to be called statistics must be numerically expressed (so that it can be counted, divided or be subject to mathematical analysis) and should be placed in relation to each other. But qualitative data cannot be included in statistics unless they are quantified by assigning some figures for assessment. However, not all numbers are comparable and measurable. For example: The fact that height of a student is five feet tells nothing unless it is comparable. Thus, for figures to be included in statistics, they must be aggregate of facts and not individual figures. That is why it is rightly said that statistics are figures but all figures are not statistics.
(b) If the points in a scatter diagram tend to cluster in a straight line which makes an angle of 30° with the X-axis, it means that the change in the value of Y is less proportionate than the change in the value of X. Thus, the strength of association between X and Y is moderate.


Q17: Calculate the value of median, first quartile (Q1), and third quartile (Q3) for the following data: [6]

CBSE Class 11 Economics Sample Paper - 5 | Economics Class 11 - Commerce

Ans: Calculation of First and Third Quartile and MedianCBSE Class 11 Economics Sample Paper - 5 | Economics Class 11 - Commerce

CBSE Class 11 Economics Sample Paper - 5 | Economics Class 11 - Commerce

CBSE Class 11 Economics Sample Paper - 5 | Economics Class 11 - Commerce

CBSE Class 11 Economics Sample Paper - 5 | Economics Class 11 - Commerce

= 50 + 1.1= 51.1

"Section – B"


Q18: If MR is more than MC at a particular level of output, then producer will:
(a) 
Reduce production
(b) Increase production
(c) Keep the production at current level
(d) None of these
Ans: (b)
If MR is more than the MC, the producer will increase production as he will be wanting to increase his profits.


Q19: Which of the following statement is true: [1 Mark]
(a)
When MU is negative, TU will be increasing. 
(b) When MU is positive, TU will be decreasing.
(c) When MU is zero, TU is maximum.
(d) None of these
Ans: (c)
When MU is negative, TU is decreasing. When MU is positive, TU is increasing.


Q20: If a good takes up significant share of consumers’ budget, it will be: [1 Mark]
(a)
Less elastic
(b) Highly elastic
(c) Unitary elastic
(d) Perfectly elastic
Ans: (b)
If a good takes up significant share of consumers’ budget, it will be highly elastic


Q21: Study the following curve. Point E should be identified as which of the following alternative [1 Mark]

CBSE Class 11 Economics Sample Paper - 5 | Economics Class 11 - CommerceIdentify the point E in above curve?
(a)
AP = MP
(b) MP > AP
(c) MP < AP
(d) None of these
Ans: (a)
Point E in above curve expresses the point where MP is equal to AP.


Q22: Read the statements Assertion (A) and Reason (R) and choose the correct alternative: [1 Mark]
Assertion (A): Rare commodities like antiques do not follow the law of diminishing marginal utility.
Reason (R): Law of marginal utility states that as more and more units of a commodity are consumed, marginal utility derived from additional unit must decline.
(a)
Both Assertion (A) and Reason (R) are correct, and Reason (R) is the correct explanation of Assertion (A).
(b) Both Assertion (A) and Reason (R) are correct, but Reason (R) is not the correct explanation of Assertion (A).
(c) Assertion (A) is true but Reason (R) is false.
(d) Assertion (A) is false but Reason (R) is true.
Ans: (b)
Rare commodities like antiques do not follow the law of diminishing marginal utility as the utility derived from the consumption of more units of the commodity increases.


Q23: If TR is ₹1,00,000 when 20,000 units are sold, then AR is equal to: [1 Mark]
(a) 
₹1, 00,000
(b) ₹20,000
(c) ₹5
(d) ₹1, 20,000
Ans: (c)
AR = TR/Q = ₹1;00,000/20,000 = ₹5


Q24: Which of the following is a cause of a rightward shift of demand curve: [1 Mark]
I – Increase in the income of the consumer.
II – Price of substitute goods has increased.
III – Price of complementary goods has fallen.
(a) 
Only I
(b) Both I and II
(c) I, II and III
(d) None of these
Ans: (c)
The main causes of rightward shift of demand curve are increase in the income of the consumer, price of substitute goods has increased and price of the complementary goods has fallen.


Q25: Under perfect competition, the firm earns normal profit in the long run because of : [1 Mark]
(a) 
Large number of buyers and sellers
(b) Absence of selling cost
(c) Free entry and exit
(d) Homogeneous commodity
Ans: (c)
The firm in the perfect competition earns normal profit in the long run as the firms are allowed to enter or exit the market freely without any restriction imposed on them. Thus, when there are losses, some firms will exit the market leading to the decrease in supply and so the prices will rise at the equilibrium level.


Q26: There are two statements given below, marked as Statement (I) and Statement (II). Read the statements and
choose the correct option. [1 Mark]
Statement -1: In the short run, the firm cannot vary the fixed factors of production.
Statement – II: The expenditure incurred by the producer in fixed assets are known as fixed factor.
In light of the given statements, choose the correct alternative from the following:
(a)
Statement I is true and Statement II is false
(b) Statement I is false and Statement II is true
(c) Both statements I and II are true
(d) Both statements I and II are false
Ans: (c)
Fixed cost is the cost which is incurred by a firm in order to acquire the services of the fixed factors for production.


Q27: Identify the correct pair of items from the following Columns I and II: [1 Mark]CBSE Class 11 Economics Sample Paper - 5 | Economics Class 11 - Commerce(a) A – I
(b) B – II
(c) C – III
(d) D – IV
Ans: (b)
Price ceiling is the maximum price, the producers of goods or services are allowed to charge.


Q28: Explain the implications of the feature “homogeneous product” in a perfectly competitive market. [3 Marks]

OR

What is minimum price ceiling? Explain its implications.
Ans: 
A product being perfectly homogeneous implies that all units of a commodity are identical in size, quality, shape, colour, weight, etc. In a state of perfect competition, a perfectly homogeneous product is sold in the market at a uniform price. If ever an individual firm tries to charge higher price, it would lose all its buyers to a large number of other sellers in the market. In a perfectly competitive environment, homogeneous product does not allow a firm any control over its price. Accordingly, firm’s demand curve (under perfect competition) becomes a horizontal straight line.

OR

For certain goods and services, government sets minimum price. This minimum price is called minimum price ceiling. This price is normally set at a level higher than the equilibrium price. This leads to excess supply. Since producers are not able to sell all they want to sell, they illegally sell the goods or services below the minimum price.

Q29: An individual is both the owner and the manager of shop taken on rent. Identify implicit cost and explicit cost
from this information. Explain. [3 Marks]
Ans:
In the given case, rent paid for a shop is explicit cost because it is the expense incurred by the producer for purchasing the inputs from market. As a manager, the owner is rendering his own services. Managerial services are not hired from the market. So they are implicit cost as these costs are incurred on the use of self-owned inputs.


Q30: Consider the demand for goods. At price ₹4, the demand for the goods is 25 units. Suppose price of the goods increases to ₹5, and as a result, the demand for the goods falls to 20 units. Calculate the price elasticity. [4 Marks]
Ans: 
Elasticity of demand = %Change in Q.D  / %Change in Price 
= (-) ΔQ / Δ× P / Q
Given P = ₹4, Q = 25 units, P1 = ₹5, Q1 = 20 units
ΔP = ₹1, ΔQ = (-) 5 units
= (-) ΔQ / Δ× P / Q
= (-) 5× 425
= 45 = 0.8 (Inelastic demand)

Q31: Calculate Marginal Cost at each level of output: [4 Marks]CBSE Class 11 Economics Sample Paper - 5 | Economics Class 11 - Commerce

OR

State whether the following statements are true or false. Give reasons for your answer.
(a) Average product increases only when marginal product increases.
(b) Total cost can never be constant.
(c) Total revenue increases with every increase in output.
Ans: 
CBSE Class 11 Economics Sample Paper - 5 | Economics Class 11 - CommerceOR

(a) False, because AP increases so long as MP is greater than AP whether MP is rising or falling.
(b) True, because TC can be constant only when MC is zero, which is not possible.
(c) False, because when a firm can sell more only by lowering the price, it is possible that TR falls after a level of output.


Q32: Short run costs are represented in following curve. Discuss how are they related? [4 Marks]CBSE Class 11 Economics Sample Paper - 5 | Economics Class 11 - CommerceAns: Relationship between TC, TFC, and TVC

  1. TFC curve remains constant throughout all the levels of output as fixed factors is constant in short run.
  2. TVC rises as the output is increased by employing more of labour units. Till point Z, TVC rises at a decreasing rate, and so the TC curve also follows the same pattern.
  3. The difference between TC and TVC is equivalent to TFC.
  4. After point Z, TVC rises at an increasing rate and therefore TC also rises at an increasing rate.
  5. Both TVC and TFC is derived from TC, i.e., TC = TVC + TFC.

Q33: (a) Explain the problem of ‘what to produce’ with the help of an example. Does it arise in every economy? Explain. [3 Marks]
(b) The following table shows the total cost schedule of a firm. What is the total fixed cost schedule of the firm. Calculate the TVC, AFC, AVC, SAC and SMC schedules of the firm. [3 Marks]

CBSE Class 11 Economics Sample Paper - 5 | Economics Class 11 - CommerceOR

(a) Assuming that no resources are equally efficient in production of all goods name the curve which shows production potential of an economy. Explain, giving reasons, its properties. [3 Marks]
(b) The following table gives the total cost schedule of a firm. It is also given that the average fixed cost at 4 units
of output is ₹5. Find the TVC, TFC, AVC, AFC, SAC and SMC schedules of the firm for the corresponding values of output. [3 Marks]CBSE Class 11 Economics Sample Paper - 5 | Economics Class 11 - CommerceAns: (a)
Every economy faces the problem of what to produce. Because resources are scarce, we cannot produce everything in whatever quantity we wish to, we are bound to face the problems of what to produce and how much. Illustration: Let us assume that resources available are worth ?5 crore. Assuming technology to be constant, we can utilise resources entirely for the production of (say) guns and produce 500 guns, or utilise these resources entirely for the production of (say) bread and produce 500 tons of bread. We need guns for the defence and bread for the masses. Accordingly, both the guns and bread are to be produced. How much of each is to be produced depends on the wisdom of the planners in a planned economy, also upon the market forces of demand and supply in a free economy.

(b) 

CBSE Class 11 Economics Sample Paper - 5 | Economics Class 11 - Commerce

OR

(a) The curve is called Production Possibility Curve. Production Possibility Curve (PPC) is the locus of various combinations of two goods that an economy can produce when the resources are fully and efficiently employed at a given level of technology.CBSE Class 11 Economics Sample Paper - 5 | Economics Class 11 - CommerceCBSE Class 11 Economics Sample Paper - 5 | Economics Class 11 - Commerce

Properties of PPC:
(i) PPC is downward sloping, which means that if the country wants to produce more of one good it has to produce less of the other good since resources are limited.
(ii) PPC is a concave-shaped curve because of increasing MOC. This is explained as: We know that resources are not equally efficient in the production of both the goods: guns and butter. If initially all the resources are being used for the production of guns, then we are at point A on the PPC. If the producer now wants to shift some resources from the production of guns to butter, he would shift the least efficient resources. Thus, the amount of butter sacrificed will be less. If the producer wants to shift some more resources from the production of guns to butter, more efficient resources will then be shifted. Thus, the amount sacrificed of guns will be more. This implies that MOC will increase.
(b)CBSE Class 11 Economics Sample Paper - 5 | Economics Class 11 - Commerce

Q34: Read the passage given below and answer the questions that are followed:
The resources of an economy are limited in comparison to what the people in the economy want to have. The scarce resources have alternative usages and every society has to decide on how much of each of the resources to use in the production of different goods and services. So, every society has to determine how to allocate its scarce resources to different goods and services. An allocation of the scarce resources of the economy gives rise to a particular combination of different goods and services. Given the total amount of resources, it is possible to allocate the resources in many different ways and, achieving different mixes of all possible goods and services. The collection of all possible combinations of the goods and services that can be produced from a given amount of resources and a given stock of technological knowledge is called the production possibilities of the economy. 
On the basis of the given text and common understanding, answer the following questions:
(a) What will likely be the impact of large scale outflow of foreign capital on Production Possibility Curve of
the economy and why? [2 Marks]
(b) What will be the impact of recently launched ‘Clean India Mission’ (Swachh Bharat Mission) on the
Production Possibility Curve of the economy and why? [2 Marks]
(c) Explain the central problem ‘how to produce’. [2 Marks]

Ans: (a) Large scale outflow of foreign capital from the economy will reduce resources and thus, production potential of the country will fall. Fall in production potential in turn will shift the PPC downwards or PPC will shift to left.
(b) Cleanliness reduces chances of people falling ill and thus can ensure better health. This inturn will reduce forced absenteeism from work, raise efficiency level and thus, raise country’s production potential. Rise in this potential shifts PPC to the right.
(c) ‘How to produce’ means which technique of production to be used. The broad choice is between the labour intensive technique and capital intensive technique. Labour intensive- technique uses more labour and less capital. Capital intensive technique uses more of capital and less of labour.

The document CBSE Class 11 Economics Sample Paper - 5 | Economics Class 11 - Commerce is a part of the Commerce Course Economics Class 11.
All you need of Commerce at this link: Commerce
59 videos|222 docs|43 tests

FAQs on CBSE Class 11 Economics Sample Paper - 5 - Economics Class 11 - Commerce

1. What are the main topics covered in the CBSE Class 11 Economics syllabus?
Ans.The main topics covered in the CBSE Class 11 Economics syllabus include Introduction to Economics, Consumer Behavior, Producer Behavior, Market Structures, and National Income. Students also learn about different economic systems and basic economic problems.
2. How can I effectively prepare for the CBSE Class 11 Economics exam?
Ans.To effectively prepare for the CBSE Class 11 Economics exam, students should start by understanding the syllabus and marking important topics. Regularly reviewing notes, practicing sample papers, and focusing on numerical problems related to concepts like elasticity and national income are essential. Group study sessions can also help clarify doubts.
3. What is the format of the CBSE Class 11 Economics sample paper?
Ans.The format of the CBSE Class 11 Economics sample paper typically includes various types of questions such as multiple-choice questions, short answer questions, and long answer questions. The sample paper is designed to assess understanding of theoretical concepts as well as practical applications.
4. Are there any important chapters in Class 11 Economics that carry more weight in the exam?
Ans.Yes, certain chapters in Class 11 Economics carry more weight in the exam. Topics such as Consumer Behavior, Producer Behavior, and National Income are crucial, as they often have more questions related to concepts and applications. Students are advised to focus more on these chapters while preparing.
5. How can I score well in the CBSE Class 11 Economics exam?
Ans.To score well in the CBSE Class 11 Economics exam, students should ensure they have a clear understanding of all concepts and theories. Regular practice with sample papers, time management during the exam, and revision of key formulas and definitions can significantly enhance performance. Additionally, participating in discussions and seeking help for difficult topics can be beneficial.
Related Searches

practice quizzes

,

Exam

,

video lectures

,

pdf

,

ppt

,

CBSE Class 11 Economics Sample Paper - 5 | Economics Class 11 - Commerce

,

CBSE Class 11 Economics Sample Paper - 5 | Economics Class 11 - Commerce

,

Sample Paper

,

Important questions

,

Semester Notes

,

Summary

,

study material

,

Extra Questions

,

CBSE Class 11 Economics Sample Paper - 5 | Economics Class 11 - Commerce

,

mock tests for examination

,

Viva Questions

,

Objective type Questions

,

Free

,

shortcuts and tricks

,

MCQs

,

past year papers

,

Previous Year Questions with Solutions

;