Chemistry Exam  >  Chemistry Notes  >  Physical Chemistry  >  Clausius Clapeyron Equations

Clausius Clapeyron Equations | Physical Chemistry PDF Download

Clausirs Clapeyron Equation: The two phases in equilibrium may be any of the following types:

(i)  Solid and Liquid, S Clausius Clapeyron Equations | Physical Chemistry L, at the melt ing point of the solid.

(ii)  Liquid and vapour, LClausius Clapeyron Equations | Physical Chemistry V, at the boiling point of the liquid.

(iii)  Solid and vapour, S Clausius Clapeyron Equations | Physical Chemistry V; at the sublimat ion temperature of the solid. “The equal amounts of a given substance must have exactly the same free energy in the two phases at equilibrium with each other.”

Consider t ype equation A Clausius Clapeyron Equations | Physical Chemistry B at the given temperature and pressure. If G& GB be the free energy per mole of the substance A & B in initial.
Then, G= GB
Hence ΔG = GB - GA = 0 ΔG = GB - GA = 0
If temperature of the system raise from T to T + dT then pressure raise from P to P + dt, in order to maintain the equilibrium. The free energy of substance raise from GA to GA + dGand GB + dGB. Since the two phase are still in equilibrium hence,
CA = dGA = GB + dG                                            [∵ GA = GB]
then dGA = dGB                                          …(a)

According to thermodynamics, dG = VdP – SdT 
then dGA = VAdP – SAdT                            …(b)

dGB = VBdP – SBdT

Using equation (a) and (b)

we get: 

dGA = dGB

VAdP – SAdT = VBdP – SBdT 

 Clausius Clapeyron Equations | Physical Chemistry
Clausius Clapeyron Equations | Physical Chemistry 

V& VB be the volume of A and B.

 If q heat exchanged reversibly per mo le of substance during the phase transformat ion at temperature t, then change in entropy. Δ

Clausius Clapeyron Equations | Physical Chemistry
Hence, Clausius Clapeyron Equations | Physical Chemistry
Thus, Clausius Clapeyron Equations | Physical Chemistry

This is Clapeyron equation.
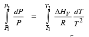
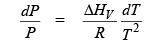
Claypeyron equation for liquid Clausius Clapeyron Equations | Physical Chemistry vapour equilibrium 

Clausius Clapeyron Equations | Physical Chemistry

where       

 ΔH= heat of vapourisation
Vg = volume of gas
Vl = volume of liquid
 ⇒  Clausius Clapeyron Equations | Physical Chemistry                                           [∵ Vg >> Vl]
& PV = RT (per mole)

Clausius Clapeyron Equations | Physical Chemistry

⇒ Clausius Clapeyron Equations | Physical Chemistry
⇒ Clausius Clapeyron Equations | Physical Chemistry
⇒ Clausius Clapeyron Equations | Physical Chemistry
⇒ Clausius Clapeyron Equations | Physical Chemistry
⇒ Clausius Clapeyron Equations | Physical Chemistry

This is Clasusius-Clapeyron equation.
Claypeyron equation for solid Clausius Clapeyron Equations | Physical Chemistry vapour equilibria
 Solid Clausius Clapeyron Equations | Physical Chemistry Vapour 

ΔHS = heat of sublimation

 Clausius Clapeyron Equations | Physical Chemistry

Vg >> V&Clausius Clapeyron Equations | Physical Chemistry

Similarly the above equation, we get

Clausius Clapeyron Equations | Physical Chemistry
Clausius Clapeyron Equations | Physical Chemistry

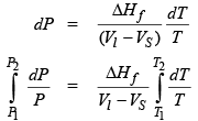
Claypeyron equation for solid Clausius Clapeyron Equations | Physical Chemistry liquid equilibria

Solid Clausius Clapeyron Equations | Physical Chemistry Liquid 

ΔH= heat of fusion

 Clausius Clapeyron Equations | Physical Chemistry
Clausius Clapeyron Equations | Physical Chemistry
Clausius Clapeyron Equations | Physical Chemistry

The document Clausius Clapeyron Equations | Physical Chemistry is a part of the Chemistry Course Physical Chemistry.
All you need of Chemistry at this link: Chemistry
84 videos|142 docs|67 tests

FAQs on Clausius Clapeyron Equations - Physical Chemistry

1. What is the Clausius Clapeyron equation?
Ans. The Clausius Clapeyron equation is a thermodynamic equation that relates the vapor pressure of a substance to its temperature. It is typically used to determine the phase transition temperature and the change in vapor pressure with temperature.
2. How is the Clausius Clapeyron equation derived?
Ans. The Clausius Clapeyron equation is derived from the principles of thermodynamics and the assumption of an ideal gas. It involves integrating the ideal gas law and the heat of vaporization equation to obtain an expression that relates the vapor pressure and temperature.
3. What are the applications of the Clausius Clapeyron equation?
Ans. The Clausius Clapeyron equation has various applications in chemistry and meteorology. It is used to determine the boiling points and vapor pressures of substances, predict changes in these properties with temperature, and study phase transitions such as evaporation, condensation, and sublimation.
4. Can the Clausius Clapeyron equation be applied to all substances?
Ans. The Clausius Clapeyron equation is applicable to substances that obey the ideal gas law and have a constant heat of vaporization over the temperature range of interest. It is most accurate for substances with low vapor pressures and moderate temperature ranges.
5. How can the Clausius Clapeyron equation be used to estimate the vapor pressure of a substance?
Ans. To estimate the vapor pressure of a substance using the Clausius Clapeyron equation, one needs to know the vapor pressure and temperature at a reference point. By rearranging the equation and plugging in the known values, the vapor pressure at a different temperature can be calculated. This estimation assumes that the heat of vaporization remains constant over the temperature range.
Related Searches

Clausius Clapeyron Equations | Physical Chemistry

,

practice quizzes

,

Previous Year Questions with Solutions

,

Sample Paper

,

MCQs

,

Summary

,

pdf

,

Important questions

,

Objective type Questions

,

mock tests for examination

,

video lectures

,

past year papers

,

Clausius Clapeyron Equations | Physical Chemistry

,

Extra Questions

,

Exam

,

Clausius Clapeyron Equations | Physical Chemistry

,

Free

,

study material

,

shortcuts and tricks

,

Viva Questions

,

Semester Notes

,

ppt

;