Mechanical Engineering Exam  >  Mechanical Engineering Notes  >  Heat Transfer  >  Conduction: One Dimensional - 4

Conduction: One Dimensional - 4 | Heat Transfer - Mechanical Engineering PDF Download

Lecture 6 - Conduction: One Dimensional, Heat Transfer

2.3 Steady-state heat conduction through a variable area
It was observed in the previous discussion that for the given plane wall the area for heat transfer was constant along the heat flow direction. The plane solid wall was one of the geometries but if we take some other geometry (tapered plane, cylindrical body, spherical body etc.) in which the area changes in the direction of heat flow. Now we will consider geometrical configuration which will be mathematically simple and also of great engineering importance like hollow cylinder and hollow sphere. In these cases the heat transfer area varies in the radial direction of heat conduction. We will take up both the cases one by one in the following sections.

2.3.1 Cylinder
Consider a hollow cylinder as shown in the fig.2.9a. The inner and outer radius is represented by rand r, whereas Ti and To (Ti > T) represent the uniform temperature of the inner and outer wall, respectively.

Conduction: One Dimensional - 4 | Heat Transfer - Mechanical Engineering

Conduction: One Dimensional - 4 | Heat Transfer - Mechanical Engineering

Fig. 2.9. (a) Hollow cylinder, (b) equivalent electrical circuit

Consider a very thin hollow cylinder of thickness dr in the main geometry (fig.2.9a) at a radial distance r. If dr is small enough with respect to r, then the area of the inner and outer surface of the thin cylinder may be considered to be of same area. In other words, for very small dr with respect to r, the lines of heat flow may be considered parallel through the differential element in radial outward direction.  

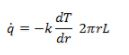
We may ignore the heat flow through the ends if the cylinder is sufficiently large. We may thus eliminate any dependence of the temperature on the axial coordinate and for one dimensional steady state heat conduction, the rate of heat transfer for the thin cylinder,

Conduction: One Dimensional - 4 | Heat Transfer - Mechanical Engineering 

Where dT is the temperature difference between the inner and outer surface of the thin cylinder considered above and k is the thermal conductivity of the cylinder.
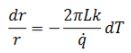
On rearranging,

Conduction: One Dimensional - 4 | Heat Transfer - Mechanical Engineering

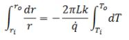
To get the heat flow through the thick wall cylinder, the above equation can be integrated between the limits,

Conduction: One Dimensional - 4 | Heat Transfer - Mechanical Engineering

On solving,

Conduction: One Dimensional - 4 | Heat Transfer - Mechanical Engineering

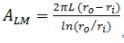
Conduction: One Dimensional - 4 | Heat Transfer - Mechanical Engineering

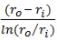
Where Conduction: One Dimensional - 4 | Heat Transfer - Mechanical Engineering, and the careful analysis of the above equation shows that the expression is same as for heat flow through the plane wall of thickness (ro–ri ) except the expression for the area. The ALM is known as log mean area of the cylinder, whose length is L and radius is rLM (= Conduction: One Dimensional - 4 | Heat Transfer - Mechanical Engineering). The fig.2.9b shows the equivalent electrical circuit of the fig.2.9b.

Now we have learnt that how to represent the analogous electrical circuit for the cylindrical case. It will provide the building block for the composite cylinders similar to the plane composite we have learnt earlier. The following fig.2.10a shows a composite cylinder with 4-layers of solid material of different inner and outer diameter as well as thermal conductivity. The equivalent electrical circuit is shown below in fig.2.10b.

Conduction: One Dimensional - 4 | Heat Transfer - Mechanical Engineering

(a)

 

Conduction: One Dimensional - 4 | Heat Transfer - Mechanical Engineering

Fig.2.10.(a) Four layer composite hollow cylinder, (a) equivalent electrical circuit

 

The total heat transfer at steady-state will be,

Conduction: One Dimensional - 4 | Heat Transfer - Mechanical Engineering

where R1 , R, R3 , and R4 are represented in the fig.2.10b.

2.3.2 Sphere 
The rate of heat transfer through a hollow sphere can be determined in a similar manner as for cylinder. The students are advised to derive the following expression shown below.

The final expression for the rate of heat flow is,

Conduction: One Dimensional - 4 | Heat Transfer - Mechanical Engineering

The document Conduction: One Dimensional - 4 | Heat Transfer - Mechanical Engineering is a part of the Mechanical Engineering Course Heat Transfer.
All you need of Mechanical Engineering at this link: Mechanical Engineering
55 videos|100 docs|86 tests

FAQs on Conduction: One Dimensional - 4 - Heat Transfer - Mechanical Engineering

1. What is one-dimensional conduction in chemical engineering?
Ans. One-dimensional conduction in chemical engineering refers to the heat transfer process that occurs in a single direction within a material or system. It occurs when there is a temperature difference along the length of the material, and heat is transferred from the higher temperature region to the lower temperature region through conduction.
2. How is one-dimensional conduction different from two-dimensional conduction?
Ans. One-dimensional conduction involves heat transfer in a single direction, typically along a straight line or a one-dimensional shape. In contrast, two-dimensional conduction involves heat transfer in two directions, typically within a plane or a two-dimensional shape. The temperature distribution and heat flow in two-dimensional conduction are more complex compared to one-dimensional conduction.
3. What are some applications of one-dimensional conduction in chemical engineering?
Ans. One-dimensional conduction finds applications in various areas of chemical engineering. Some examples include the design of heat exchangers, calculation of temperature profiles in reactors, analysis of heat transfer in catalytic converters, modeling of thermal insulation materials, and optimization of heat transfer in distillation columns.
4. How is thermal conductivity related to one-dimensional conduction?
Ans. Thermal conductivity is a property of materials that determines their ability to conduct heat. In one-dimensional conduction, thermal conductivity plays a crucial role as it governs the rate at which heat is transferred through the material in the direction of the temperature gradient. Materials with higher thermal conductivity allow for more efficient heat transfer in one-dimensional conduction.
5. What are the factors that affect one-dimensional conduction in chemical engineering systems?
Ans. Several factors influence one-dimensional conduction in chemical engineering systems. Some of these factors include the thermal conductivity of the material, the temperature difference across the system, the thickness or length of the material, the presence of any insulating layers, and the boundary conditions such as heat transfer coefficients at the material's surfaces. Understanding these factors is essential for designing and optimizing heat transfer processes in chemical engineering applications.
Related Searches

Exam

,

Objective type Questions

,

video lectures

,

Extra Questions

,

Free

,

practice quizzes

,

Semester Notes

,

Conduction: One Dimensional - 4 | Heat Transfer - Mechanical Engineering

,

Important questions

,

Conduction: One Dimensional - 4 | Heat Transfer - Mechanical Engineering

,

study material

,

Sample Paper

,

pdf

,

Conduction: One Dimensional - 4 | Heat Transfer - Mechanical Engineering

,

ppt

,

Summary

,

MCQs

,

shortcuts and tricks

,

Previous Year Questions with Solutions

,

mock tests for examination

,

Viva Questions

,

past year papers

;