Mechanical Engineering Exam  >  Mechanical Engineering Notes  >  Heat Transfer  >  Conduction: One Dimensional - 5

Conduction: One Dimensional - 5 | Heat Transfer - Mechanical Engineering PDF Download

 Conduction: One Dimensional, Heat Transfer

2.4 Heat conduction in bodies with heat sources
The cases considered so far have been those in which the heat conducting solid is free of internal heat generation. However, the situations where the internal heat is generated are very common cases in chemical industries for example, the exothermic reaction in the solid pallet of a catalyst.

We have learnt that how the Fourier equation is used for the steady-state heat conduction through the composites of three different geometries that were not having any heat source in it. However, the heat generation term would come into the picture for these geometries. It would not be always easier to remember and develop heat conduction relations for different standard and non-standard geometries. Therefore, at this point we should learn how to develop a general relation for the heat conduction that should be applicable to the entire situation such as steady-state, unsteady state, heat source, different geometry, heat conduction in different direction, etc. Again here we will consider that the solid is isotropic in nature, which means the thermal conductivity of the material is same in all the direction of heat flow.

To get such a general equation the differential form of the heat conduction equation is most important. For simplicity, we would consider an infinitesimal volume element in a Cartesian coordinate system. The dimensions of the infinitesimal volume element are d, d, and din the respective direction as shown in the fig.2.11.

Conduction: One Dimensional - 5 | Heat Transfer - Mechanical Engineering

Fig.2.11. Volume element for deriving general equation of heat conduction in cartesian coordinate

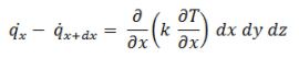
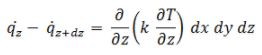
The fig.2.11 shows that the heat is entering into the volume element from three different faces of the volume element and leaving from the opposite face of the control element. The heat source within the volume element generates the volumetric energy at the rate of Conduction: One Dimensional - 5 | Heat Transfer - Mechanical Engineering
According to Fourier’s law of heat conduction, the heat flowing into the volume element from the left (in the x-direction) can be written as,

Conduction: One Dimensional - 5 | Heat Transfer - Mechanical Engineering

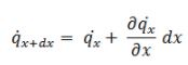
The heat flow out from the right surface (in the x-direction) of the volume element can be obtained by Taylor series expansion of the above equation. As the volume element is of infinitesimal volume, we may retain only first two element of the Taylor series expansion with a reasonable approximation (truncating the higher order terms). Thus,

Conduction: One Dimensional - 5 | Heat Transfer - Mechanical Engineering

or

Conduction: One Dimensional - 5 | Heat Transfer - Mechanical Engineering

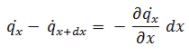
The left side of the above equation represent the net heat flow in the x-direction. If we put the value  Conduction: One Dimensional - 5 | Heat Transfer - Mechanical Engineering of  in the right side of the above equation,

Conduction: One Dimensional - 5 | Heat Transfer - Mechanical Engineering

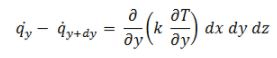
In a similar way we can get the net heat flow in the y and z-directions,

Conduction: One Dimensional - 5 | Heat Transfer - Mechanical Engineering

and

Conduction: One Dimensional - 5 | Heat Transfer - Mechanical Engineering

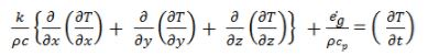
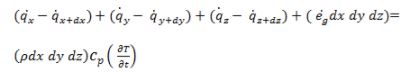
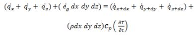
As we know some heat is entering, some heat is leaving and some heat in generating in the volume element and as we have not considered any steady state assumption till now, thus because of all these phenomena some of the heat will be absorbed by the element. Thus the rate of change of heat energy Conduction: One Dimensional - 5 | Heat Transfer - Mechanical Engineering within the volume element can be written as,

Conduction: One Dimensional - 5 | Heat Transfer - Mechanical Engineering
where, cp is the specific heat capacity at constant pressure (J/(kg·K)), ρ is the density (kg/m3) of the material, and t is the time (s).

We know all the energy term related to the above problem, and with the help of energy conservation,

Conduction: One Dimensional - 5 | Heat Transfer - Mechanical Engineering

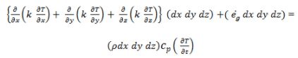
On putting all the values in the above equation,

Conduction: One Dimensional - 5 | Heat Transfer - Mechanical Engineering

or,

Conduction: One Dimensional - 5 | Heat Transfer - Mechanical Engineering

or

Conduction: One Dimensional - 5 | Heat Transfer - Mechanical Engineering

or

Conduction: One Dimensional - 5 | Heat Transfer - Mechanical Engineering

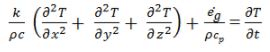
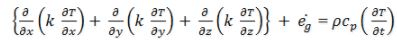
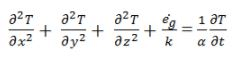
As we have considered that the thermal conductivity of the solid is isotropic in nature, the above relation reduces to,

Conduction: One Dimensional - 5 | Heat Transfer - Mechanical Engineering

or

Conduction: One Dimensional - 5 | Heat Transfer - Mechanical Engineering

or

Conduction: One Dimensional - 5 | Heat Transfer - Mechanical Engineering

or

Conduction: One Dimensional - 5 | Heat Transfer - Mechanical Engineering

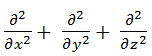
where Conduction: One Dimensional - 5 | Heat Transfer - Mechanical Engineering is the thermal diffusivity of the material and its unit m2/s signifies the rate at which heat diffuses in to the medium during change in temperature with time. Thus, the higher value of the thermal diffusivity gives the idea of how fast the heat is conducting into the medium, whereas the low value of the thermal diffusivity shown that the heat is mostly absorbed by the material and comparatively less amount is transferred for the conduction. The Conduction: One Dimensional - 5 | Heat Transfer - Mechanical Engineeringcalled the Laplacian operator, and in Cartesian coordinate it is defined as Conduction: One Dimensional - 5 | Heat Transfer - Mechanical Engineering

Equation 2.19 is known as general heat conduction relation. When there is no heat generation term the eq.2.19 will become,

 Conduction: One Dimensional - 5 | Heat Transfer - Mechanical Engineering (2.20)

and the equation is known as Fourier Field Equation.

The document Conduction: One Dimensional - 5 | Heat Transfer - Mechanical Engineering is a part of the Mechanical Engineering Course Heat Transfer.
All you need of Mechanical Engineering at this link: Mechanical Engineering
55 videos|100 docs|86 tests

FAQs on Conduction: One Dimensional - 5 - Heat Transfer - Mechanical Engineering

1. What is conduction in the context of chemical engineering?
Ans. Conduction in chemical engineering refers to the transfer of heat or electricity through a solid material without any movement of the material itself. It occurs due to the direct collision of particles within the material, resulting in the transfer of energy.
2. How does one-dimensional conduction differ from other types of conduction?
Ans. One-dimensional conduction refers to heat transfer that occurs in a single direction within a solid material. It differs from two-dimensional or three-dimensional conduction, where heat transfer occurs in multiple directions. In one-dimensional conduction, temperature gradients are established only in one direction, making the analysis simpler.
3. What factors affect the rate of conduction in chemical processes?
Ans. Several factors influence the rate of conduction in chemical processes. These include the thermal conductivity of the material, the thickness of the material, the temperature difference across the material, and the surface area through which heat transfer occurs. Additionally, the presence of any insulating layers or barriers can also impact conduction rates.
4. How can one calculate the rate of heat conduction in a one-dimensional system?
Ans. The rate of heat conduction in a one-dimensional system can be calculated using Fourier's Law of Heat Conduction. This law states that the rate of heat conduction is directly proportional to the product of the thermal conductivity, the temperature difference, and the surface area, while inversely proportional to the thickness of the material.
5. What are some practical applications of one-dimensional conduction in chemical engineering?
Ans. One-dimensional conduction finds various applications in chemical engineering processes. It is used in the design of heat exchangers, where heat is transferred between two fluids through a solid wall. It is also important in the design of insulation materials to minimize heat loss. Additionally, it is utilized in the analysis and design of catalytic reactors, where the temperature distribution within the catalyst bed plays a critical role in reaction kinetics.
Related Searches

Conduction: One Dimensional - 5 | Heat Transfer - Mechanical Engineering

,

ppt

,

Sample Paper

,

past year papers

,

video lectures

,

Conduction: One Dimensional - 5 | Heat Transfer - Mechanical Engineering

,

MCQs

,

shortcuts and tricks

,

Free

,

mock tests for examination

,

Summary

,

study material

,

Previous Year Questions with Solutions

,

Important questions

,

Extra Questions

,

Objective type Questions

,

practice quizzes

,

Viva Questions

,

Semester Notes

,

pdf

,

Exam

,

Conduction: One Dimensional - 5 | Heat Transfer - Mechanical Engineering

;