Mechanical Engineering Exam  >  Mechanical Engineering Notes  >  Design of Machine Elements  >  Design For Static Loading - 2

Design For Static Loading - 2 | Design of Machine Elements - Mechanical Engineering PDF Download

Yield criteria 

There are numerous yield criteria, going as far back as Coulomb (1773). Many of these were originally developed for brittle materials but were later applied to ductile materials. Some of the more common ones will be discussed briefly here.

Maximum principal stress theory

( Rankine theory) According to this, if one of the principal stresses σ1 (maximum principal stress), σ2 (minimum principal stress) or σ3 exceeds the yield stress, yielding would occur. In a two dimensional loading situation for a ductile material where tensile and compressive yield stress are nearly of same magnitude

σ1 = ± σ
σ2 = ±σy

Using this, a yield surface may be drawn, as shown in figure- 3.1.4.1.1. Yielding occurs when the state of stress is at the boundary of the rectangle. Consider, for example, the state of stress of a thin walled pressure vessel. Here σ1= 2σ2, σ1 being the circumferential or hoop stress and σthe axial stress. As the pressure in the vessel increases the stress follows the dotted line. At a point (say) a, the stresses are still within the elastic limit but at b, σ1 reaches σy although σ2 is still less than σy. Yielding will then begin at point b. This theory of yielding has very poor agreement with experiment. However, the theory has been used σ2 successfully for brittle materials.

Design For Static Loading - 2 | Design of Machine Elements - Mechanical Engineering
3.1.4.1.1F- Yield surface corresponding to maximum principal stress theory

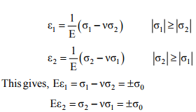
3.1.4.2 Maximum principal strain theory (St. Venant’s theory) 

According to this theory, yielding will occur when the maximum principal strain just exceeds the strain at the tensile yield point in either simple tension or compression. If ε1 and ε2 are maximum and minimum principal strains corresponding to σ1 and σ2, in the limiting case

Design For Static Loading - 2 | Design of Machine Elements - Mechanical Engineering

The boundary of a yield surface in this case is thus given as shown in figure3.1.4.2.1

Design For Static Loading - 2 | Design of Machine Elements - Mechanical Engineering

3.1.4.2.1- Yield surface corresponding to maximum principal strain theory

Maximum shear stress theory ( Tresca theory) 

According to this theory, yielding would occur when the maximum shear stress just exceeds the shear stress at the tensile yield point. At the tensile yield point σ2= σ3 = 0 and thus maximum shear stress is σy/2. This gives us six conditions for a three-dimensional stress situation:

Design For Static Loading - 2 | Design of Machine Elements - Mechanical Engineering

3.1.4.3.1F- Yield surface corresponding to maximum shear stress theory

In a biaxial stress situation ( figure-3.1.4.3.1) case, σ3 = 0 and this gives

 

Design For Static Loading - 2 | Design of Machine Elements - Mechanical Engineering

This criterion agrees well with experiment. In the case of pure shear, σ1 = - σ2 = k (say), σ3 = 0 and this gives σ1- σ2 = 2k= σy This indicates that yield stress in pure shear is half the tensile yield stress and this is also seen in the Mohr’s circle ( figure- 3.1.4.3.2) for pure shear.

Design For Static Loading - 2 | Design of Machine Elements - Mechanical Engineering

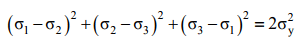
Maximum strain energy theory ( Beltrami’s theory)

According to this theory failure would occur when the total strain energy absorbed at a point per unit volume exceeds the strain energy absorbed per unit volume at the tensile yield point. This may be given  Design For Static Loading - 2 | Design of Machine Elements - Mechanical Engineeringby Design For Static Loading - 2 | Design of Machine Elements - Mechanical EngineeringSubstituting, ε1, ε2 , εand εy in terms of stresses we have

 

Design For Static Loading - 2 | Design of Machine Elements - Mechanical Engineering

This may be written as

Design For Static Loading - 2 | Design of Machine Elements - Mechanical Engineering

This is the equation of an ellipse and the yield surface is shown in figure3.1.4.4.1 .

Design For Static Loading - 2 | Design of Machine Elements - Mechanical Engineering

3.1.4.4.1F- Yield surface corresponding to Maximum strain energy theory.

 

It has been shown earlier that only distortion energy can cause yielding but in the above expression at sufficiently high hydrostatic pressure σ1 = σ2 = σ3 = σ (say), yielding may also occur. From the above we may write Design For Static Loading - 2 | Design of Machine Elements - Mechanical Engineering and if ν ~ 0.3, at stress level lower than yield stress, yielding would occur. This is in contrast to the experimental as well as analytical conclusion and the theory is not appropriate.

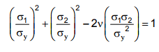
Distortion energy theory( von Mises yield criterion)

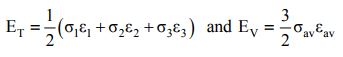
According to this theory yielding would occur when total distortion energy absorbed per unit volume due to applied loads exceeds the distortion energy absorbed per unit volume at the tensile yield point. Total strain energy ET and strain energy for volume change EV can be given as

Design For Static Loading - 2 | Design of Machine Elements - Mechanical Engineering

Substituting strains in terms of stresses the distortion energy can be given as 

Design For Static Loading - 2 | Design of Machine Elements - Mechanical Engineering

At the tensile yield point, σ1 = σy , σ23 = 0 which gives 

Design For Static Loading - 2 | Design of Machine Elements - Mechanical Engineering

The failure criterion is thus obtained by equating Ed and Edy , which gives

Design For Static Loading - 2 | Design of Machine Elements - Mechanical Engineering

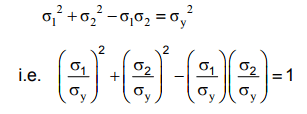
In a 2-D situation if σ3 = 0, the criterion reduces to

Design For Static Loading - 2 | Design of Machine Elements - Mechanical Engineering

This is an equation of ellipse and the yield surface is shown in figure-3.1.4.5.1 . This theory agrees very well with experimental results and is widely used for ductile materials.

Design For Static Loading - 2 | Design of Machine Elements - Mechanical Engineering

3.1.4.5.1F- Yield surface corresponding to von Mises yield criterion

 

Superposition of yield surface

A comparison among the different failure theories can be made by superposing the yield surfaces as shown in figure- 3.1.5.1.

Design For Static Loading - 2 | Design of Machine Elements - Mechanical Engineering

It is clear that an immediate assessment of failure probability can be made just by plotting any experimental in the combined yield surface. Failure of ductile materials is most accurately governed by the distortion energy theory where as the maximum principal strain theory is used for brittle materials.

 

 

The document Design For Static Loading - 2 | Design of Machine Elements - Mechanical Engineering is a part of the Mechanical Engineering Course Design of Machine Elements.
All you need of Mechanical Engineering at this link: Mechanical Engineering
49 videos|107 docs|77 tests

FAQs on Design For Static Loading - 2 - Design of Machine Elements - Mechanical Engineering

1. What is static loading in mechanical engineering?
Ans. Static loading refers to the application of a constant load or force to a structure or component without any significant changes in magnitude or direction over time. This type of loading is used to analyze the behavior and performance of structures under normal operating conditions.
2. What are the advantages of static loading in mechanical testing?
Ans. Static loading offers several advantages in mechanical testing. Firstly, it allows for accurate measurements of the structural response and deformation, as the load is applied steadily and remains constant. Secondly, it enables the determination of the strength, stiffness, and durability of materials or structures. Additionally, static loading provides a controlled environment for studying the long-term behavior and performance of components.
3. How is static loading different from dynamic loading in mechanical engineering?
Ans. Static loading involves the application of a constant load or force, while dynamic loading involves the application of varying loads or forces that change with time. In static loading, the load remains constant and does not produce any significant changes in the structure's behavior over time. On the other hand, dynamic loading introduces time-dependent effects, such as vibrations, oscillations, and impact forces, which can cause fatigue, resonance, or failure in the structure.
4. What are the common types of static loading tests in mechanical engineering?
Ans. Some common types of static loading tests in mechanical engineering include tensile testing, compression testing, bending testing, and shear testing. Tensile testing measures the material's response to stretching forces, compression testing measures its response to compressive forces, bending testing evaluates its response to bending moments, and shear testing examines its response to shear forces. These tests help determine the mechanical properties and behavior of materials or structures under static loading conditions.
5. How can static loading analysis aid in the design process of mechanical components?
Ans. Static loading analysis plays a crucial role in the design process of mechanical components. It helps engineers understand how different materials and structural configurations will behave under static loads, ensuring that the components can withstand the expected forces and deformations without failure. By analyzing stress and strain distributions, engineers can optimize the design, select appropriate materials, and make informed decisions to enhance the performance, reliability, and safety of the components.
Related Searches

study material

,

Design For Static Loading - 2 | Design of Machine Elements - Mechanical Engineering

,

Semester Notes

,

Extra Questions

,

mock tests for examination

,

pdf

,

video lectures

,

practice quizzes

,

Free

,

Design For Static Loading - 2 | Design of Machine Elements - Mechanical Engineering

,

past year papers

,

Objective type Questions

,

Exam

,

Sample Paper

,

shortcuts and tricks

,

Important questions

,

Viva Questions

,

Previous Year Questions with Solutions

,

ppt

,

Summary

,

Design For Static Loading - 2 | Design of Machine Elements - Mechanical Engineering

,

MCQs

;