Mechanical Engineering Exam  >  Mechanical Engineering Notes  >  Design of Machine Elements  >  Design of Flat Belt Drives

Design of Flat Belt Drives | Design of Machine Elements - Mechanical Engineering PDF Download

Flat belt drives 

Flat belts drives can be used for large amount of power transmission and there is no upper limit of distance between the two pulleys. Belt conveyer system is one such example. These drives are efficient at high speeds and they offer quite running. A typical flat belt drive with idler pulley is shown in Fig. 13.2.1. Idler pulleys are used to guide a flat belt in various manners, but do not contribute to power transmission. A view of the flat belt cross section is also shown in the figure.

Design of Flat Belt Drives | Design of Machine Elements - Mechanical Engineering

The flat belts are marketed in the form of coils. Flat belts are available for a wide range of width, thickness, weight and material. Depending upon the requirement one has to cut the required belt length from the coil and join the ends together. The fixing of the joint must be done properly because the belt normally gets snapped from the improper joints. The best way is to use a cemented belt from the factory itself or with care one can join these belts with various types of clips that are available in the market.

 

Belt Material


Leather
  
Oak tanned or chrome tanned.

Rubber
Canvas or cotton duck impregnated with rubber. For greater tensile strength, the rubber belts are reinforced with steel cords or nylon cords.

Plastics
Thin plastic sheets with rubber layers

Fabric 
Canvas or woven cotton ducks The belt thickness can be built up with a number of layers. The number of layers is known as ply.

The belt material is chosen depending on the use and application. Leather oak tanned belts and rubber belts are the most commonly used but the plastic belts have a very good strength almost twice the strength of leather belt. Fabric belts are used for temporary or short period operations.

Typical Belt drive specifications 

Belts are specified on the following parameters

Material 

The decision of the material to be used depends on the type of service.

No. of ply and Thickness 

Ply is the number of layers as indicated earlier. Therefore, the number of ply is decided depending upon the belt tensile strength required for a given power transmission.

Maximum belt stress per unit width 

The belts are subjected to tensile load only. Therefore, the allowable tensile load depends on the allowable stress on the belt and its cross sectional area. It is customary to provide the belt stress value for a given belt thickness and per unit belt width. Hence, a designer has to select a belt thickness and then calculate the required belt width. Otherwise, one can calculate the belt cross sectional area and then adjust the belt thickness and the width from the standards.The maximum belt stress is also dependent on the belt speed. Hence, the maximum belt stress (for a given belt thickness and per unit belt width) is provided either for different belt speeds or for a specified speed.

Density of Belt material 

Density of Belt material is provided as, per unit length per unit cross section. Density of Belt material is required to calculate the centrifugal force on the belt.

Coefficient of friction of the belt material 

Coefficient of friction for a pair of belt material and pulley material is provided in design data book.

 

 Modification of Belt stress

When Maximum belt stress/ unit width is given for a specified speed, a speed correction factor ( CSPD ) is required to modify the belt stress when the drive is operating at a speed other than the specified one. When angle of wrap is less than 1800 : The maximum stress values are given for an angle of wrap is 180ο for both the pulleys, ie, pulleys are of same diameter. Reduction of belt stress is to be considered for angle of wrap less than 180ο. . The belt stress is to be reduced by 3% for each ten degree lesser angle of wrap or as specified in a handbook. For e.g., if the angle of wrap is 160ο , then the belt stress is to be reduced by 6%. This factor is given as CW.

Design considerations for flat belt drives

Transmission ratio of flat belt drives is normally limited to 1:5

Centre distance is dependent on the available space. In the case of flat belt drives there is not much limitation of centre distance. Generally the centre distance is taken as more than twice the sum of the pulley diameters. If the centre distance is too small then rapid flexing of the belt takes place and some amount of belt life will be lost.

Depending on the driving and driven shaft speeds, pulley diameters are to be calculated and selected from available standard sizes.

Belt speed is recommended to be within 15-25 m/s.

A belt drive is designed based on the design power, which is the modified required power. The modification factor is called the service factor. The service factor depends on hours of running, type of shock load expected and nature of duty.

Hence,

Design Power (P dcs) = service factor (C sev )* Required Power (P)                                         (13.2.1)

Csev = 1.1 to 1.8 for light to heavy shock.

From the basic equations for belt drive, it can be shown that,

Design of Flat Belt Drives | Design of Machine Elements - Mechanical Engineering                                                                                     (13.2.2)

where,

Design of Flat Belt Drives | Design of Machine Elements - Mechanical Engineering

Finally, the calculated belt length is normally kept 1% short to account for correct initial tension.

 

Sample Problem 

Design a flat belt drive for the following data:

Drive: AC motor, operating speed is 1440 rpm and operates for over 10 hours. The equipment driven is a compressor, which runs at 900 rpm and the required power transmission is 20 kW.

Solution

Let us consider the belt speed to be 20 m/s, which is within the recommended range. The given speed ratio = 1440/900 =1.6

Let the belt material be leather, which is quite common.

Now,

Design of Flat Belt Drives | Design of Machine Elements - Mechanical Engineering

From the standard sizes available, dS=280 mm and dL= 450 mm.

Recalculated speed ratio.

Design of Flat Belt Drives | Design of Machine Elements - Mechanical Engineering

Therefore, the choice of both the pulley diameters is acceptable.

Center dis tan ce, Design of Flat Belt Drives | Design of Machine Elements - Mechanical Engineering

Design of Flat Belt Drives | Design of Machine Elements - Mechanical Engineering 1460mm

Hence, let C 1500 mm ( it is assumed that space is available )

Considering an open belt drive, the belt length,

Design of Flat Belt Drives | Design of Machine Elements - Mechanical Engineering

As a guideline, to take into consideration the initial tension, the belt length is shortened by 1%. Hence, the required belt length,

LO = 4110 mm.

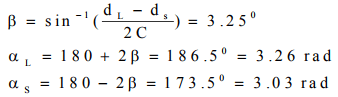
D eter m in atio n o f an g le o f w rap

Design of Flat Belt Drives | Design of Machine Elements - Mechanical Engineering

For the leather belt, the co-efficient of friction, μ may be taken as 0.4.

In this design, both the pulley materials are assumed to be the same, hence, angle of wrap for the smaller pulley being lower, smaller pulley governs the design and the angle of wrap is 3.03 radian.

Design of Flat Belt Drives | Design of Machine Elements - Mechanical Engineering

The value 1.3 is selected from design data book for the given service condition.

 

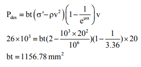
For the design stress in the belt,  Design of Flat Belt Drives | Design of Machine Elements - Mechanical Engineering

 

However, design stress, Design of Flat Belt Drives | Design of Machine Elements - Mechanical Engineering , for leather belt may be considered as 2 MPa. Similarly, density of leather belt is 1000 kg/m3 .

Design of Flat Belt Drives | Design of Machine Elements - Mechanical Engineering

Let us choose standard belt thickness, t =6.5 mm Therefore standard belt width, b = 180mm

A leather belt of 6.5 mm thickness, 180 mm width and 4110 mm length will satisfy the design condition

The document Design of Flat Belt Drives | Design of Machine Elements - Mechanical Engineering is a part of the Mechanical Engineering Course Design of Machine Elements.
All you need of Mechanical Engineering at this link: Mechanical Engineering
51 videos|102 docs|77 tests

FAQs on Design of Flat Belt Drives - Design of Machine Elements - Mechanical Engineering

1. What are the advantages of using flat belt drives in mechanical engineering?
Ans. Flat belt drives offer several advantages in mechanical engineering. Firstly, they are cost-effective and easy to manufacture. Secondly, they provide a high power transmission efficiency, enabling the transfer of large amounts of power. Additionally, flat belt drives are flexible, allowing for smooth operation and reduced belt wear. They also have the capability to transmit power over long distances. Lastly, flat belt drives have a wide range of speed ratios, making them suitable for various applications.
2. How do you calculate the length of a flat belt drive?
Ans. The length of a flat belt drive can be calculated using the following formula: Length of belt (L) = 2C + [(π/2) × (D₁ + D₂)] + [(D₂ - D₁)²/4C] Where: C = Center distance between the shafts D₁ = Diameter of the smaller pulley D₂ = Diameter of the larger pulley This formula takes into account the center distance, pulley diameters, and the difference in diameters to determine the length of the belt required for the flat belt drive.
3. What factors should be considered when selecting a flat belt drive for a specific application?
Ans. Several factors should be considered when selecting a flat belt drive for a specific application. Firstly, the power requirements of the application need to be determined to ensure that the flat belt drive can transmit the required amount of power. Secondly, the speed ratio and speed limitations of the flat belt drive should be evaluated to match the operational needs. Additionally, the space available for the drive system, the desired service life, and the cost of the drive system should also be taken into account during the selection process.
4. How can belt slippage be prevented in flat belt drives?
Ans. Belt slippage in flat belt drives can be prevented by ensuring proper tensioning of the belt. The belt should be tightened to a level where it has sufficient grip on the pulleys to prevent slipping. Over-tightening should be avoided as it can lead to increased wear and reduced belt life. Regular inspection and adjustment of the belt tension are necessary to maintain optimal performance and prevent slippage.
5. What are some common maintenance practices for flat belt drives?
Ans. Regular maintenance practices for flat belt drives include inspecting the belt for signs of wear, cracks, or damage. If any issues are found, the belt should be replaced promptly. Additionally, proper tensioning of the belt should be maintained to prevent slippage. Lubrication of the pulleys and sheaves should be carried out according to manufacturer recommendations. It is also important to periodically check the alignment of the pulleys to ensure smooth operation and minimize belt wear.
Related Searches

Objective type Questions

,

Design of Flat Belt Drives | Design of Machine Elements - Mechanical Engineering

,

pdf

,

Summary

,

Design of Flat Belt Drives | Design of Machine Elements - Mechanical Engineering

,

video lectures

,

Viva Questions

,

past year papers

,

Sample Paper

,

Design of Flat Belt Drives | Design of Machine Elements - Mechanical Engineering

,

Previous Year Questions with Solutions

,

MCQs

,

Extra Questions

,

Free

,

Exam

,

shortcuts and tricks

,

mock tests for examination

,

practice quizzes

,

study material

,

Semester Notes

,

ppt

,

Important questions

;