Divergence & Curl of a Vector Field | Electromagnetic Fields Theory (EMFT) - Electrical Engineering (EE) PDF Download

Introduction

  • We had defined divergence of a vector field and had obtained an expression for the divergence in the Cartesian coordinates. We also derived the divergence theorem which connects the flux of a vector field with the volume integral of the divergence of the field.
  • Physically, the divergence, as the name suggests is a measure of the amount of spread that the field has at a point.

Divergence & Curl of a Vector Field | Electromagnetic Fields Theory (EMFT) - Electrical Engineering (EE)

  • For instance, in the figure above, the vector field shown to the left has a positive divergence while that to the right has a negative divergence. In electrostatics, we will see that the field produced by a positive charge has positive divergence while a negative charge produces an electrostatic field with negative divergence.

Divergence and Curl of a Vector Field

  • Divergence, curl were extensively used in fluid dynamics from which a lot of nomenclatures have arisen. Let us consider a fluid flowing through an elemental volume of dimension Divergence & Curl of a Vector Field | Electromagnetic Fields Theory (EMFT) - Electrical Engineering (EE) with its sides oriented parallel to the Cartesian axes
  • In the figure below, we show only the y-component of the velocity of the fluid entering and leaving the elemental volume. Let the density of the fluid at Divergence & Curl of a Vector Field | Electromagnetic Fields Theory (EMFT) - Electrical Engineering (EE) and the y-component of the velocity be vy.  We define a vector  Divergence & Curl of a Vector Field | Electromagnetic Fields Theory (EMFT) - Electrical Engineering (EE) The mass of the fluid flowing into the volume per unit time through the left face which has an outward normal  Divergence & Curl of a Vector Field | Electromagnetic Fields Theory (EMFT) - Electrical Engineering (EE) is given by:
    Divergence & Curl of a Vector Field | Electromagnetic Fields Theory (EMFT) - Electrical Engineering (EE)
    Divergence & Curl of a Vector Field | Electromagnetic Fields Theory (EMFT) - Electrical Engineering (EE)
  • Mass of the fluid flowing out is  Divergence & Curl of a Vector Field | Electromagnetic Fields Theory (EMFT) - Electrical Engineering (EE) Retaining only the first order term in a Taylor series expansion, we have
    Divergence & Curl of a Vector Field | Electromagnetic Fields Theory (EMFT) - Electrical Engineering (EE)
  • Thus the net increase in mass is  Divergence & Curl of a Vector Field | Electromagnetic Fields Theory (EMFT) - Electrical Engineering (EE) This is the increase due to the y-component of the velocity. We can write similar expressions for the flow in the x and z directions. The net increase in mass per unit time is Divergence & Curl of a Vector Field | Electromagnetic Fields Theory (EMFT) - Electrical Engineering (EE) where we have put the volume element Divergence & Curl of a Vector Field | Electromagnetic Fields Theory (EMFT) - Electrical Engineering (EE) so as not to confuse with the vector  Divergence & Curl of a Vector Field | Electromagnetic Fields Theory (EMFT) - Electrical Engineering (EE) defined above.
  • Another of of talking about the net increase in mass is to realize that since the volume is fixed, the increase in mass is due to a change in the density alone. Thus the rate of increase of mass is Divergence & Curl of a Vector Field | Electromagnetic Fields Theory (EMFT) - Electrical Engineering (EE)
  • Equating these two expressions, we get what is known as the equation of continuity in fluid dynamics,Divergence & Curl of a Vector Field | Electromagnetic Fields Theory (EMFT) - Electrical Engineering (EE)
  • To see what this equation implies, consider, for example a vector field given by  Divergence & Curl of a Vector Field | Electromagnetic Fields Theory (EMFT) - Electrical Engineering (EE) The field has been plotted using Mathematica (see figure)

Divergence & Curl of a Vector Field | Electromagnetic Fields Theory (EMFT) - Electrical Engineering (EE)

  • To the left is plotted  Divergence & Curl of a Vector Field | Electromagnetic Fields Theory (EMFT) - Electrical Engineering (EE) Note that in the first and the third quadrants the divergence is positive while in the other two quadrants it is negative. The figure to the right is for the force field  Divergence & Curl of a Vector Field | Electromagnetic Fields Theory (EMFT) - Electrical Engineering (EE) which has zero divergence.
  • The size of the arrow roughly represents the magnitude of the vector. The divergence is given by 4xy. In the first and the third quadrants (x,y both positive or both negative) divergence is positive.
  • One can see that in these quadrants, if you take any closed region the size of the arrows which are entering the region are smaller than those leaving it. Thus the density decreases, divergence is positive. Reverse is true in the even quadrants.
  • In the figure to the right, the force field Divergence & Curl of a Vector Field | Electromagnetic Fields Theory (EMFT) - Electrical Engineering (EE) has zero divergence. If you take a closed region in this figure, you find as many vectors are getting in as are going out. The field is a solenoidal (zero divergence) field.

Divergence Theorem

  • Recall divergence theorem  Divergence & Curl of a Vector Field | Electromagnetic Fields Theory (EMFT) - Electrical Engineering (EE) where the surface integral is taken over a closed surface defining the enclosed volume. As an example consider the surface integral of the position Divergence & Curl of a Vector Field | Electromagnetic Fields Theory (EMFT) - Electrical Engineering (EE) over the surface of a cylinder of radius a and height h.
  • Evaluating the surface integral by use of the divergence theorem is fairly simple. Divergence of position vector has a value 3 because  Divergence & Curl of a Vector Field | Electromagnetic Fields Theory (EMFT) - Electrical Engineering (EE) Thus the volum integral of the divergence is simply three times the volume of the cylinder which gives Divergence & Curl of a Vector Field | Electromagnetic Fields Theory (EMFT) - Electrical Engineering (EE)
  • Direct calculation of the surface integral can be done as follows. For convenience, let the base of the cylinder be in the x-y plane with its centre at the origin.Divergence & Curl of a Vector Field | Electromagnetic Fields Theory (EMFT) - Electrical Engineering (EE)
  • There are three surface of the cylinder, a top cap, a bottom cap and the curved surface. For the top cap, the normal vector  Divergence & Curl of a Vector Field | Electromagnetic Fields Theory (EMFT) - Electrical Engineering (EE) direction, so that Divergence & Curl of a Vector Field | Electromagnetic Fields Theory (EMFT) - Electrical Engineering (EE) On the top surface z is constant and is given by z=h. Thus  Divergence & Curl of a Vector Field | Electromagnetic Fields Theory (EMFT) - Electrical Engineering (EE) For the bottom cap Divergence & Curl of a Vector Field | Electromagnetic Fields Theory (EMFT) - Electrical Engineering (EE) direction so that Divergence & Curl of a Vector Field | Electromagnetic Fields Theory (EMFT) - Electrical Engineering (EE) 
  • However, the value of z on this surface being zero, the flux vanishes. We are now left with the curved surface for which the outward normal is parallel to the x-y plane. The unit vector on this surface is Divergence & Curl of a Vector Field | Electromagnetic Fields Theory (EMFT) - Electrical Engineering (EE) However, on the surface Divergence & Curl of a Vector Field | Electromagnetic Fields Theory (EMFT) - Electrical Engineering (EE)Divergence & Curl of a Vector Field | Electromagnetic Fields Theory (EMFT) - Electrical Engineering (EE) 
  • Thus the surface integral is Divergence & Curl of a Vector Field | Electromagnetic Fields Theory (EMFT) - Electrical Engineering (EE) Adding to this the contribution from the top and the bottom face, the surface integral works out to Divergence & Curl of a Vector Field | Electromagnetic Fields Theory (EMFT) - Electrical Engineering (EE) as was obtained from the divergence theorem
  • As a second example, consider a rather nasty looking vector field Divergence & Curl of a Vector Field | Electromagnetic Fields Theory (EMFT) - Electrical Engineering (EE)Divergence & Curl of a Vector Field | Electromagnetic Fields Theory (EMFT) - Electrical Engineering (EE) over the surface of a cubical box  Divergence & Curl of a Vector Field | Electromagnetic Fields Theory (EMFT) - Electrical Engineering (EE) We will not attempt to calculate the surface integral directly. 
  • However, the divergence theorem gives a helping hand.
    Divergence & Curl of a Vector Field | Electromagnetic Fields Theory (EMFT) - Electrical Engineering (EE)
  • We need to calculate the triple integral  Divergence & Curl of a Vector Field | Electromagnetic Fields Theory (EMFT) - Electrical Engineering (EE) As the integrand has no z dependence, the z-integral evaluates to 1. The volume integral is Divergence & Curl of a Vector Field | Electromagnetic Fields Theory (EMFT) - Electrical Engineering (EE)

Question for Divergence & Curl of a Vector Field
Try yourself:Divergence & Curl of a Vector Field | Electromagnetic Fields Theory (EMFT) - Electrical Engineering (EE)
View Solution

Curl of a Vector Field

  • We have seen that the divergence of a vector field is a scalar field. For vector fields it is possible to define an operator which acting on a vector field yields another vector field. The name curl comes from “circulation” which measures how much does a vector field “curls” about a point.
  • Consider an open surface of the type shown – something like an inverted pot with a rim. We wish to calculate the surface integral of a vector field defined over this surface.
    Divergence & Curl of a Vector Field | Electromagnetic Fields Theory (EMFT) - Electrical Engineering (EE)

    •  
    • Let's divide the surface into many small parts and find the line integral along the edge of each small part. An example of such a small part with its edge is displayed. If we describe the edge of this surface in a counterclockwise direction, the normal to the surface will point outward.
    • If we look at each small part individually and compute the line integral along the edge ΔCi of each part, the contributions from neighboring areas will cancel out because the integrals along the edges are in opposite directions (observe the black and red arrows on the edges of two parts).
    • After considering all the small parts, we are left with the unbalanced line integral at the boundary. This is shown in the figure below.
    • The line integral around the boundary for ABCD is equal to the line integral around the boundary for ABEF because the integration is done along CD in the former and DC in the latter.
  • Divergence & Curl of a Vector Field | Electromagnetic Fields Theory (EMFT) - Electrical Engineering (EE)
  • Thus we have,
    Divergence & Curl of a Vector Field | Electromagnetic Fields Theory (EMFT) - Electrical Engineering (EE)    (1)
  • The quantity in the parenthesis in the last expression is defined as the curl of the vector field  Divergence & Curl of a Vector Field | Electromagnetic Fields Theory (EMFT) - Electrical Engineering (EE) limit of the elemental surface goes to zero. Curl being a vector, its direction is specified as the outgoing normal to the surface element.
    Divergence & Curl of a Vector Field | Electromagnetic Fields Theory (EMFT) - Electrical Engineering (EE)
  • It may be noted that because the definition is valid in the limit of the surface area going to zero, it is a point relationship. Using this definition, we can write the previous equation (1) as
    Divergence & Curl of a Vector Field | Electromagnetic Fields Theory (EMFT) - Electrical Engineering (EE)
  • This equation relates the surface integral of the curl of a vector field with the line integral of the vector field and is known as “Stoke’s Theorem”.

Solved Examples

Example.1. Calculate the flux of the vector field  Divergence & Curl of a Vector Field | Electromagnetic Fields Theory (EMFT) - Electrical Engineering (EE) over the surface of a unit cube whose edges are parallel to the axes and one of the corners is at the origin. Use this result to illustrate the divergence theorem.

  • The geometry of the cube along with the direction of surface normalsare shown in the figure. Consider the base of the cube which is the plane z=0. On this face  Divergence & Curl of a Vector Field | Electromagnetic Fields Theory (EMFT) - Electrical Engineering (EE) 
  • Since the normal is along the -z direction flux from this face is zero. Similarly, the flux from the other two faces which meet at the origin are also zero. Consider the top face where z=1. 
  • On this face Divergence & Curl of a Vector Field | Electromagnetic Fields Theory (EMFT) - Electrical Engineering (EE)Divergence & Curl of a Vector Field | Electromagnetic Fields Theory (EMFT) - Electrical Engineering (EE) The normal is in the +z direction, so that the flux is  Divergence & Curl of a Vector Field | Electromagnetic Fields Theory (EMFT) - Electrical Engineering (EE) Likewise, the flux from the other two faces are also ½ each. The total flux, therefore, is 3/2. The divergence of the field Divergence & Curl of a Vector Field | Electromagnetic Fields Theory (EMFT) - Electrical Engineering (EE)
    Divergence & Curl of a Vector Field | Electromagnetic Fields Theory (EMFT) - Electrical Engineering (EE)
    Divergence & Curl of a Vector Field | Electromagnetic Fields Theory (EMFT) - Electrical Engineering (EE)
  • The volume integral of the divergence is Divergence & Curl of a Vector Field | Electromagnetic Fields Theory (EMFT) - Electrical Engineering (EE)
  • By symmetry, this is 3 times  Divergence & Curl of a Vector Field | Electromagnetic Fields Theory (EMFT) - Electrical Engineering (EE) 1/2. Thus the volume integral of the divergence is 3/2.

Example.2. Calculate the flux of the vector field Divergence & Curl of a Vector Field | Electromagnetic Fields Theory (EMFT) - Electrical Engineering (EE) over the surface of a unit sphere. Use this result to illustrate the divergence theorem. (Use spherical coordinates).

  • Divergence of the field is Divergence & Curl of a Vector Field | Electromagnetic Fields Theory (EMFT) - Electrical Engineering (EE) Thus the volume integral of the divergence over the surface of a unit sphere is just   Divergence & Curl of a Vector Field | Electromagnetic Fields Theory (EMFT) - Electrical Engineering (EE) 
  • To calculate the surface integral we note that the normal on the surface of the sphere is along the radial direction and is given by Divergence & Curl of a Vector Field | Electromagnetic Fields Theory (EMFT) - Electrical Engineering (EE) where R=1 is the radius of the sphere. Thus Divergence & Curl of a Vector Field | Electromagnetic Fields Theory (EMFT) - Electrical Engineering (EE) 
  • Since the surface element on the sphere is Divergence & Curl of a Vector Field | Electromagnetic Fields Theory (EMFT) - Electrical Engineering (EE) we have , substituting (in spherical polar) Divergence & Curl of a Vector Field | Electromagnetic Fields Theory (EMFT) - Electrical Engineering (EE)Divergence & Curl of a Vector Field | Electromagnetic Fields Theory (EMFT) - Electrical Engineering (EE)
       Divergence & Curl of a Vector Field | Electromagnetic Fields Theory (EMFT) - Electrical Engineering (EE)
  • The first term gives zero because of vanishing of the integral over φ. We are left with Divergence & Curl of a Vector Field | Electromagnetic Fields Theory (EMFT) - Electrical Engineering (EE)

Example.3. Calculate the flux of the vector Divergence & Curl of a Vector Field | Electromagnetic Fields Theory (EMFT) - Electrical Engineering (EE) over the surface of a right circular cylinder of radius R bounded by the surfaces z=0 and z=h. Calculate it directly as well as by use of the divergence theorem.

  • Let the base of the cylinder be at z=0 and the top at z=h. The origin is at the centre of the base. The cylinder has three surfaces. For the bottom surface, the direction of the normal is along  Divergence & Curl of a Vector Field | Electromagnetic Fields Theory (EMFT) - Electrical Engineering (EE) and on this surface z=0. 
  • The surface integral for this surface is  Divergence & Curl of a Vector Field | Electromagnetic Fields Theory (EMFT) - Electrical Engineering (EE) For the top surface, the normal is along Divergence & Curl of a Vector Field | Electromagnetic Fields Theory (EMFT) - Electrical Engineering (EE) the surface integral is Divergence & Curl of a Vector Field | Electromagnetic Fields Theory (EMFT) - Electrical Engineering (EE) For the curved surface the direction of the normal is outward radial direction in the x-y plane which is Divergence & Curl of a Vector Field | Electromagnetic Fields Theory (EMFT) - Electrical Engineering (EE) so that the surface integral is Divergence & Curl of a Vector Field | Electromagnetic Fields Theory (EMFT) - Electrical Engineering (EE) 
  • The integral is done in the cylindrical coordinates by polar substitution Divergence & Curl of a Vector Field | Electromagnetic Fields Theory (EMFT) - Electrical Engineering (EE) The surface element is Divergence & Curl of a Vector Field | Electromagnetic Fields Theory (EMFT) - Electrical Engineering (EE) Thus the integral become The angle integral in both cases gives zero. Thus the total flux is only contributed by the top surface and is  Divergence & Curl of a Vector Field | Electromagnetic Fields Theory (EMFT) - Electrical Engineering (EE) The angle integral in both cases gives zero. Thus the total flux is only contributed by the top surface and is Divergence & Curl of a Vector Field | Electromagnetic Fields Theory (EMFT) - Electrical Engineering (EE) This can also be seen by the divergence theorem. Divergence & Curl of a Vector Field | Electromagnetic Fields Theory (EMFT) - Electrical Engineering (EE) The volume integral is Divergence & Curl of a Vector Field | Electromagnetic Fields Theory (EMFT) - Electrical Engineering (EE)

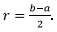
Example.4. Calculate the flux of the position vector Divergence & Curl of a Vector Field | Electromagnetic Fields Theory (EMFT) - Electrical Engineering (EE) through a torus of inner radius a and outer radius b. Use the result to illustrate divergence theorem. (* This is a hard problem).

  • Geometrically a torus is obtained by taking a circle, say in the x-z plane and rotating it about the z-axis to obtain a solid of revolution. Let us define the mean radius of the torus to be  Divergence & Curl of a Vector Field | Electromagnetic Fields Theory (EMFT) - Electrical Engineering (EE) and the radius of the circle which is being revolved about the z-axis to be Divergence & Curl of a Vector Field | Electromagnetic Fields Theory (EMFT) - Electrical Engineering (EE) 
  • The position vector of an arbitrary point on the torus is defined as follows:Divergence & Curl of a Vector Field | Electromagnetic Fields Theory (EMFT) - Electrical Engineering (EE)
  • Consider the coordinate of an arbitrary point on the circle which is in the x-z plane. Let the position of the point make an angle φ with the x-axis. The coordinate of this point is  Divergence & Curl of a Vector Field | Electromagnetic Fields Theory (EMFT) - Electrical Engineering (EE) When the circle is rotated about the z-axis by an angle θ, the z coordinate does not change. 
  • However, the x and y coordinates change and become
    Divergence & Curl of a Vector Field | Electromagnetic Fields Theory (EMFT) - Electrical Engineering (EE)
  • Thus an arbitrary point on the torus can be parameterized by  Divergence & Curl of a Vector Field | Electromagnetic Fields Theory (EMFT) - Electrical Engineering (EE) given by the above expressions. A surface element on the torus is then obtained by the area formed by an arc obtained by incrementing Divergence & Curl of a Vector Field | Electromagnetic Fields Theory (EMFT) - Electrical Engineering (EE) and the arc formed by incrementing  Divergence & Curl of a Vector Field | Electromagnetic Fields Theory (EMFT) - Electrical Engineering (EE) 
  • The area element is therefore given by the cross product Divergence & Curl of a Vector Field | Electromagnetic Fields Theory (EMFT) - Electrical Engineering (EE) (The unit vector on the surface is directed along the direction of the cross product.). The partial derivatives are given by
    Divergence & Curl of a Vector Field | Electromagnetic Fields Theory (EMFT) - Electrical Engineering (EE)
  • Thus Divergence & Curl of a Vector Field | Electromagnetic Fields Theory (EMFT) - Electrical Engineering (EE)Divergence & Curl of a Vector Field | Electromagnetic Fields Theory (EMFT) - Electrical Engineering (EE) (the order of the cross product determines the outward normal). 
  • Thus , substituting Divergence & Curl of a Vector Field | Electromagnetic Fields Theory (EMFT) - Electrical Engineering (EE)Divergence & Curl of a Vector Field | Electromagnetic Fields Theory (EMFT) - Electrical Engineering (EE)
    Divergence & Curl of a Vector Field | Electromagnetic Fields Theory (EMFT) - Electrical Engineering (EE)
    Divergence & Curl of a Vector Field | Electromagnetic Fields Theory (EMFT) - Electrical Engineering (EE)
    Divergence & Curl of a Vector Field | Electromagnetic Fields Theory (EMFT) - Electrical Engineering (EE)
  • Since the integrand is independent of θ the integral over it gives 2π. The integral over the remaining angle is straightforward. We can simplify the integrand as follows :
    Divergence & Curl of a Vector Field | Electromagnetic Fields Theory (EMFT) - Electrical Engineering (EE)
  • The second and the third term in the integral vanish, the remaining two terms give Divergence & Curl of a Vector Field | Electromagnetic Fields Theory (EMFT) - Electrical Engineering (EE) which makes the total contribution to the surface integral as Divergence & Curl of a Vector Field | Electromagnetic Fields Theory (EMFT) - Electrical Engineering (EE)
  • However, the problem is straightforward if we apply the divergence theorem. The divergence of the position vector is 3. Thus by divergence theorem, the surface integral is 3 times the volume of the toroid. 
  • The volume of the toroid is rather easy to calculate if we note that if we cut it along a section, the toroid becomes a cylinder of radius r and length 2πR. Thus the volume of the toroid is  Divergence & Curl of a Vector Field | Electromagnetic Fields Theory (EMFT) - Electrical Engineering (EE) Thus 3 times the volume is Divergence & Curl of a Vector Field | Electromagnetic Fields Theory (EMFT) - Electrical Engineering (EE) consistent with our direct evaluation of the surface integral.

Example.5. Calculate the flux of the vector field  Divergence & Curl of a Vector Field | Electromagnetic Fields Theory (EMFT) - Electrical Engineering (EE) over the surface defined by  Divergence & Curl of a Vector Field | Electromagnetic Fields Theory (EMFT) - Electrical Engineering (EE)Divergence & Curl of a Vector Field | Electromagnetic Fields Theory (EMFT) - Electrical Engineering (EE)

  • The surface is sketched below. Since  Divergence & Curl of a Vector Field | Electromagnetic Fields Theory (EMFT) - Electrical Engineering (EE) the region of interest is Divergence & Curl of a Vector Field | Electromagnetic Fields Theory (EMFT) - Electrical Engineering (EE) Notice that the divergence theorem is not directly applicable because the surface is not closed.
  • However, one can close the surface by adding a cap to the surface at z=3. We will calculate the flux by applying the divergence theorem to this closed surface and then explicitly subtract the surface integral over the cap.
  • The divergence of the field is given by  Divergence & Curl of a Vector Field | Electromagnetic Fields Theory (EMFT) - Electrical Engineering (EE)
  • Thus the surface integral over the closed surface is thus given by  Divergence & Curl of a Vector Field | Electromagnetic Fields Theory (EMFT) - Electrical Engineering (EE) To evaluate this, consider a disk lying between z and z+dz. The circular disk of width dz has a volume Divergence & Curl of a Vector Field | Electromagnetic Fields Theory (EMFT) - Electrical Engineering (EE) 
  • This gives the surface integral to be 4π. We have to now subtract from this the surface integral over the cap that was added by us, which is directed along Divergence & Curl of a Vector Field | Electromagnetic Fields Theory (EMFT) - Electrical Engineering (EE) direction. On this surface z=3 so that the radius of the disk is 1. This integral Divergence & Curl of a Vector Field | Electromagnetic Fields Theory (EMFT) - Electrical Engineering (EE) can be easily calculated and shown to have value zero. Thus the required surface integral has a value 4π.

Practice Questions

In the following questions(Q1-Q5) calculate the flux both by direct integration and also by application of the divergence theorem.

Q.1. Calculate the flux of the field Divergence & Curl of a Vector Field | Electromagnetic Fields Theory (EMFT) - Electrical Engineering (EE) over the surface of a right circular cylinder of radius R and height h in the first octant, i.e. in the region (x>0, y>0, z>0).

  • For the curved surface of the cylinder, the unit vector is  Divergence & Curl of a Vector Field | Electromagnetic Fields Theory (EMFT) - Electrical Engineering (EE) which gives Divergence & Curl of a Vector Field | Electromagnetic Fields Theory (EMFT) - Electrical Engineering (EE)
  •  Parameterize  Divergence & Curl of a Vector Field | Electromagnetic Fields Theory (EMFT) - Electrical Engineering (EE) Since we are confined to the first octant Divergence & Curl of a Vector Field | Electromagnetic Fields Theory (EMFT) - Electrical Engineering (EE)
  • The flux through the slant surface is  Divergence & Curl of a Vector Field | Electromagnetic Fields Theory (EMFT) - Electrical Engineering (EE) The top and the bottom caps are in the Divergence & Curl of a Vector Field | Electromagnetic Fields Theory (EMFT) - Electrical Engineering (EE) the contribution from these two give zero by symmetry. T
  • here are two more surfaces if we consider the first octant, they are the positive x-z plane and the positive y-z plane., the normal to the former being in the direction of  Divergence & Curl of a Vector Field | Electromagnetic Fields Theory (EMFT) - Electrical Engineering (EE) that for the latter is along Divergence & Curl of a Vector Field | Electromagnetic Fields Theory (EMFT) - Electrical Engineering (EE) 
  • The flux from the former is Divergence & Curl of a Vector Field | Electromagnetic Fields Theory (EMFT) - Electrical Engineering (EE) while that from the latter is  Divergence & Curl of a Vector Field | Electromagnetic Fields Theory (EMFT) - Electrical Engineering (EE)
  • Adding up all the contributions, the total flux from the closed surface is zero. This is consistent with the fact that the divergence of the field is zero.

Q.2. Evaluate the surface integral of the vector field  Divergence & Curl of a Vector Field | Electromagnetic Fields Theory (EMFT) - Electrical Engineering (EE) over the surface of a unit cube with the origin being at one of the corners.

  • There are six faces. For the face at x=0, since the surface is directed along  Divergence & Curl of a Vector Field | Electromagnetic Fields Theory (EMFT) - Electrical Engineering (EE) the surface integral is Divergence & Curl of a Vector Field | Electromagnetic Fields Theory (EMFT) - Electrical Engineering (EE) The face at x=1 gives +1/2. The faces at y=0 and that at z=0 gives zero because the field is proportional to y and z respectively. 
  • The contribution to flux from y=1 is 1 and that from z=1 is 3/2. Adding, the flux is 5/2 units. This can also be done by the divergence theorem. Divergence of the field is 2x+3y, so that the volume integral is Divergence & Curl of a Vector Field | Electromagnetic Fields Theory (EMFT) - Electrical Engineering (EE)

Q.3. Calculate the flux of  Divergence & Curl of a Vector Field | Electromagnetic Fields Theory (EMFT) - Electrical Engineering (EE) over the surface of a sphere of radius R with its centre at the origin.

  • The divergence of the given vector field is Divergence & Curl of a Vector Field | Electromagnetic Fields Theory (EMFT) - Electrical Engineering (EE) Thus, by divergence theorem, the flux is Divergence & Curl of a Vector Field | Electromagnetic Fields Theory (EMFT) - Electrical Engineering (EE) 
  • We can show this result by direct integration. The unit normal on the surface of the sphere is given by Divergence & Curl of a Vector Field | Electromagnetic Fields Theory (EMFT) - Electrical Engineering (EE) that the flux is Divergence & Curl of a Vector Field | Electromagnetic Fields Theory (EMFT) - Electrical Engineering (EE) This integral can be conveniently evaluated in a spherical polar coordinates with  Divergence & Curl of a Vector Field | Electromagnetic Fields Theory (EMFT) - Electrical Engineering (EE) The surface element on the sphere is Divergence & Curl of a Vector Field | Electromagnetic Fields Theory (EMFT) - Electrical Engineering (EE) 
  • By symmetry, the flux can be seen to be Divergence & Curl of a Vector Field | Electromagnetic Fields Theory (EMFT) - Electrical Engineering (EE). (Note that we decided to do the integral involving z4 rather than x4 or y4 because the azimuthal integral gives 2π in this case. The integral is easy to perform with the substitution Divergence & Curl of a Vector Field | Electromagnetic Fields Theory (EMFT) - Electrical Engineering (EE) which gives the flux to be Divergence & Curl of a Vector Field | Electromagnetic Fields Theory (EMFT) - Electrical Engineering (EE)

Q.4. Calculate the flux of Divergence & Curl of a Vector Field | Electromagnetic Fields Theory (EMFT) - Electrical Engineering (EE) through the surface defined by a cone Divergence & Curl of a Vector Field | Electromagnetic Fields Theory (EMFT) - Electrical Engineering (EE)

  • The divergence of the field is 3. The flux, therefore, is 3 times the volume of the cone which is Divergence & Curl of a Vector Field | Electromagnetic Fields Theory (EMFT) - Electrical Engineering (EE) The flux is thus π. The direct calculation of the flux involves two surfaces, the slant surface and the cap, as shown in the figure. 
  • The cap is in the xy plane and has an outward normal Divergence & Curl of a Vector Field | Electromagnetic Fields Theory (EMFT) - Electrical Engineering (EE) (because on the cap z=1 and the cap is a disk of unit radius). Thus it remains to be shown that the flux from the slanted surface vanishes. At any height z, the section parallel to the cap is a circle of radius z. Since, the height and the radius of the cap are 1 each, the semi angle of the cone is 450.
    Divergence & Curl of a Vector Field | Electromagnetic Fields Theory (EMFT) - Electrical Engineering (EE)
  • Thus the normal to the slanted surface has a component Divergence & Curl of a Vector Field | Electromagnetic Fields Theory (EMFT) - Electrical Engineering (EE) along the z direction and  Divergence & Curl of a Vector Field | Electromagnetic Fields Theory (EMFT) - Electrical Engineering (EE) in the x-y plane. The component in the xy plane can be parameterized by the azimuthal angle φ and we can write  Divergence & Curl of a Vector Field | Electromagnetic Fields Theory (EMFT) - Electrical Engineering (EE) The area element can be written as Divergence & Curl of a Vector Field | Electromagnetic Fields Theory (EMFT) - Electrical Engineering (EE) appears because the length element is along the slant. 
  • Thus the contribution from the slanted surface is  Divergence & Curl of a Vector Field | Electromagnetic Fields Theory (EMFT) - Electrical Engineering (EE)Divergence & Curl of a Vector Field | Electromagnetic Fields Theory (EMFT) - Electrical Engineering (EE) this integral can be evaluated and shown to be zero.

Q.5. Evaluate the flux through an open cone  Divergence & Curl of a Vector Field | Electromagnetic Fields Theory (EMFT) - Electrical Engineering (EE) for the field Divergence & Curl of a Vector Field | Electromagnetic Fields Theory (EMFT) - Electrical Engineering (EE)

  • This problem is to be attempted similar to the problem 5 of the tutorial, i.e., by closing the cap and subtracting the contribution due to the cap. The divergence being 3, the flux from the closed cone is 3 times the volume of the cone which gives 8π. 
  • The contribution from the top face (which is a disk of radius 2) is  Divergence & Curl of a Vector Field | Electromagnetic Fields Theory (EMFT) - Electrical Engineering (EE) the net flux is zero. (You can also try to get this result directly as done in problem 4, where we showed that the flux from the curved surface is zero).
The document Divergence & Curl of a Vector Field | Electromagnetic Fields Theory (EMFT) - Electrical Engineering (EE) is a part of the Electrical Engineering (EE) Course Electromagnetic Fields Theory (EMFT).
All you need of Electrical Engineering (EE) at this link: Electrical Engineering (EE)
10 videos|53 docs|56 tests

FAQs on Divergence & Curl of a Vector Field - Electromagnetic Fields Theory (EMFT) - Electrical Engineering (EE)

1. What is the mathematical definition of divergence of a vector field?
Ans. The divergence of a vector field is a scalar quantity that represents the rate at which the field's intensity is increasing at a given point. Mathematically, the divergence of a vector field F = <P, Q, R> is given by div(F) = ∂P/∂x + ∂Q/∂y + ∂R/∂z.
2. How is the curl of a vector field defined in mathematics?
Ans. The curl of a vector field is a vector quantity that represents the rotation and circulation of the field around a given point. Mathematically, the curl of a vector field F = <P, Q, R> is given by curl(F) = (∂R/∂y - ∂Q/∂z)i + (∂P/∂z - ∂R/∂x)j + (∂Q/∂x - ∂P/∂y)k.
3. What is the physical interpretation of the divergence of a vector field?
Ans. The divergence of a vector field represents the amount of flow emanating from or converging to a point in the field. Positive divergence indicates a source of flow, while negative divergence indicates a sink.
4. How can the divergence theorem be used in practical applications?
Ans. The divergence theorem relates the flux of a vector field through a closed surface to the volume integral of the field's divergence over the region enclosed by the surface. This theorem is commonly used in physics and engineering to calculate the total amount of flux passing through a closed surface.
5. Can you provide an example illustrating the calculation of curl of a vector field?
Ans. Sure. Let's consider a vector field F = <2y, x, z>, the curl of this vector field is given by curl(F) = (∂z/∂y - ∂x/∂z)i + (∂y/∂z - ∂z/∂x)j + (∂x/∂x - ∂y/∂y)k. Substituting the values, we get curl(F) = (-1)i + 1j + 0k, hence curl(F) = <-1, 1, 0>.
Related Searches

Summary

,

Important questions

,

Objective type Questions

,

Viva Questions

,

Extra Questions

,

Divergence & Curl of a Vector Field | Electromagnetic Fields Theory (EMFT) - Electrical Engineering (EE)

,

Previous Year Questions with Solutions

,

ppt

,

pdf

,

practice quizzes

,

Semester Notes

,

Free

,

video lectures

,

MCQs

,

Sample Paper

,

Divergence & Curl of a Vector Field | Electromagnetic Fields Theory (EMFT) - Electrical Engineering (EE)

,

shortcuts and tricks

,

Exam

,

mock tests for examination

,

study material

,

past year papers

,

Divergence & Curl of a Vector Field | Electromagnetic Fields Theory (EMFT) - Electrical Engineering (EE)

;