Physics Exam  >  Physics Notes  >  Electricity & Magnetism  >  Dynamics of Charged Particles in Static and Uniform Electromagnetic Fields

Dynamics of Charged Particles in Static and Uniform Electromagnetic Fields | Electricity & Magnetism - Physics PDF Download

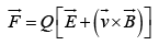
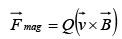
The Lorentz Force Law: 

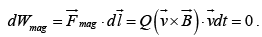
The magnetic force on a charge Q, moving with velocity v in a magnetic field
Dynamics of Charged Particles in Static and Uniform Electromagnetic Fields | Electricity & Magnetism - Physics is  

Dynamics of Charged Particles in Static and Uniform Electromagnetic Fields | Electricity & Magnetism - Physics

This is known as Lorentz force law.
In the presence of both electric and magnetic fields, the net force on Q would be:  

Dynamics of Charged Particles in Static and Uniform Electromagnetic Fields | Electricity & Magnetism - Physics

Charged Particle in Static Electric Field

Charged Particle enters in the direction of field (Linear motion)


Dynamics of Charged Particles in Static and Uniform Electromagnetic Fields | Electricity & Magnetism - Physics

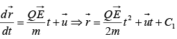
The force on the charge Q in electric field Dynamics of Charged Particles in Static and Uniform Electromagnetic Fields | Electricity & Magnetism - Physics
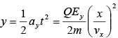
Acceleration of the charge particle in the direction of the electric field is

Dynamics of Charged Particles in Static and Uniform Electromagnetic Fields | Electricity & Magnetism - Physics

If Dynamics of Charged Particles in Static and Uniform Electromagnetic Fields | Electricity & Magnetism - Physics is the position vector at any time t then

Dynamics of Charged Particles in Static and Uniform Electromagnetic Fields | Electricity & Magnetism - Physics
where C is a constant.

Dynamics of Charged Particles in Static and Uniform Electromagnetic Fields | Electricity & Magnetism - Physics
Since
Dynamics of Charged Particles in Static and Uniform Electromagnetic Fields | Electricity & Magnetism - Physics
where C1 is a constant

Let at Dynamics of Charged Particles in Static and Uniform Electromagnetic Fields | Electricity & Magnetism - Physics

Dynamics of Charged Particles in Static and Uniform Electromagnetic Fields | Electricity & Magnetism - Physics

If initiallyDynamics of Charged Particles in Static and Uniform Electromagnetic Fields | Electricity & Magnetism - Physics
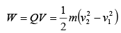
The energy acquired by the charged particle in moving from point 1 to 2 is  

Dynamics of Charged Particles in Static and Uniform Electromagnetic Fields | Electricity & Magnetism - Physics
If the potential difference between points 1 to 2 is V then  

Dynamics of Charged Particles in Static and Uniform Electromagnetic Fields | Electricity & Magnetism - Physics
If the particle starts from rest i.e (v1 = 0) and final velocity is v then

Dynamics of Charged Particles in Static and Uniform Electromagnetic Fields | Electricity & Magnetism - Physics
Kinetic energy of the particle
Dynamics of Charged Particles in Static and Uniform Electromagnetic Fields | Electricity & Magnetism - Physics

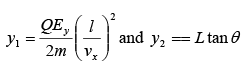
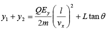
Charged Particle enters in the direction perpendicular to field (Parabolic motion)
Let us consider a charge particle enters in an electric field region with velocity vx at t = 0 . The electric field is in the y-direction and the field region has length l. After traversing a distance l it strikes a point P on a screen which is placed at a distance L from the field region.
Dynamics of Charged Particles in Static and Uniform Electromagnetic Fields | Electricity & Magnetism - Physics

Since electric field is in the y-direction, charge particle will experience force
Dynamics of Charged Particles in Static and Uniform Electromagnetic Fields | Electricity & Magnetism - Physics 
In time t, charge particle will traverse a distance Dynamics of Charged Particles in Static and Uniform Electromagnetic Fields | Electricity & Magnetism - Physics in y-direction and a distance x = vxt in x-direction.

Thus Dynamics of Charged Particles in Static and Uniform Electromagnetic Fields | Electricity & Magnetism - Physics and which represents parabolic path

Dynamics of Charged Particles in Static and Uniform Electromagnetic Fields | Electricity & Magnetism - Physics
Thus distance of point P from the center of the screen is,

Dynamics of Charged Particles in Static and Uniform Electromagnetic Fields | Electricity & Magnetism - Physics
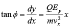
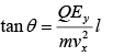
Angle of deviation in the field region

Dynamics of Charged Particles in Static and Uniform Electromagnetic Fields | Electricity & Magnetism - Physics
Angle of deviation in the field free region,

Dynamics of Charged Particles in Static and Uniform Electromagnetic Fields | Electricity & Magnetism - Physics

Charged Particle in Static Magnetic Field 

he magnetic force on a charge Q, moving with velocity Dynamics of Charged Particles in Static and Uniform Electromagnetic Fields | Electricity & Magnetism - Physics in a magnetic field Dynamics of Charged Particles in Static and Uniform Electromagnetic Fields | Electricity & Magnetism - Physics is,

Dynamics of Charged Particles in Static and Uniform Electromagnetic Fields | Electricity & Magnetism - Physics

This is known as Lorentz force law.  

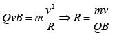
Charged Particle enters in the direction perpendicular to field (Circular motion)

If a charge particle enters in a magnetic field at angle of 90o, then motion will be circular with the magnetic force providing the centripetal acceleration. As shown in figure, a uniform magnetic field points into the page; if the charge Q moves counter clockwise, with speed v, around a circle of radius R, the magnetic force points inward, and has a fixed magnitude QvB, just right to sustain uniform circular motion:  

Dynamics of Charged Particles in Static and Uniform Electromagnetic Fields | Electricity & Magnetism - Physics

Dynamics of Charged Particles in Static and Uniform Electromagnetic Fields | Electricity & Magnetism - Physics

where R is the radius of the circle and m is the mass of the charge particle.
Momentum of the charged particle p = QBR 

Dynamics of Charged Particles in Static and Uniform Electromagnetic Fields | Electricity & Magnetism - Physics

Charged Particle enters in the direction making an angle with the field

(Helical motion)
Dynamics of Charged Particles in Static and Uniform Electromagnetic Fields | Electricity & Magnetism - Physics

If the charge particle enters in a magnetic field making an angle θ, then motion will be helical.
Dynamics of Charged Particles in Static and Uniform Electromagnetic Fields | Electricity & Magnetism - Physics and the radius of helix is Dynamics of Charged Particles in Static and Uniform Electromagnetic Fields | Electricity & Magnetism - Physics

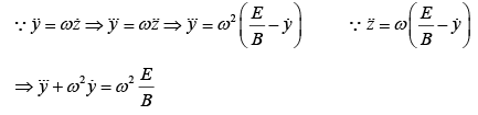
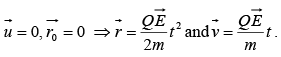
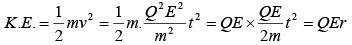
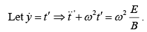
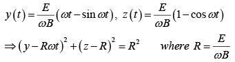
Charged Particle in Uniform Electric and Magnetic Field (Cycloid motion) 

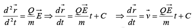
If Dynamics of Charged Particles in Static and Uniform Electromagnetic Fields | Electricity & Magnetism - Physics points in x-direction and Dynamics of Charged Particles in Static and Uniform Electromagnetic Fields | Electricity & Magnetism - Physics points in z-direction, and a particle at rest is released from origin, then particle will follow cycloid motion.  Initially, the particle is at rest, so the magnetic force is zero, and the electric field accelerates the charge in z-direction. As it speeds up, a magnetic force develops which pulls the charge to the right. The faster it goes stronger the magnetic force becomes and it curves the particle back around towards the y-axis. At this point the charge is moving against the electric force, so it begins to slow down-the magnetic force then decreases, and the electrical force takes over, bringing the charge to rest at point a and then process  repeats.

Dynamics of Charged Particles in Static and Uniform Electromagnetic Fields | Electricity & Magnetism - Physics

Dynamics of Charged Particles in Static and Uniform Electromagnetic Fields | Electricity & Magnetism - Physics

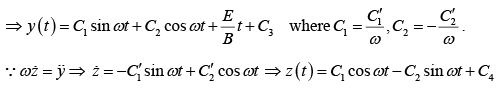
Let us solve the above differential equations,
Dynamics of Charged Particles in Static and Uniform Electromagnetic Fields | Electricity & Magnetism - Physics

Dynamics of Charged Particles in Static and Uniform Electromagnetic Fields | Electricity & Magnetism - Physics

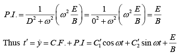
For C.F

Dynamics of Charged Particles in Static and Uniform Electromagnetic Fields | Electricity & Magnetism - Physics
For P.I.
Dynamics of Charged Particles in Static and Uniform Electromagnetic Fields | Electricity & Magnetism - Physics

Dynamics of Charged Particles in Static and Uniform Electromagnetic Fields | Electricity & Magnetism - Physics

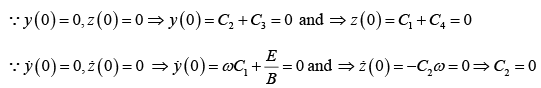
Initial Condition:
Dynamics of Charged Particles in Static and Uniform Electromagnetic Fields | Electricity & Magnetism - Physics
Dynamics of Charged Particles in Static and Uniform Electromagnetic Fields | Electricity & Magnetism - Physics

Thus
Dynamics of Charged Particles in Static and Uniform Electromagnetic Fields | Electricity & Magnetism - Physics

Dynamics of Charged Particles in Static and Uniform Electromagnetic Fields | Electricity & Magnetism - Physics

This is the formula for a circle, of radius R, whose center is  ( 0, Rω t ,R ) travels in the y-direction at constant speed, Dynamics of Charged Particles in Static and Uniform Electromagnetic Fields | Electricity & Magnetism - Physics

The curve generated in this way is called a cycloid.
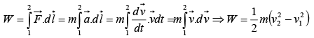
Magnetic forces do not work because Dynamics of Charged Particles in Static and Uniform Electromagnetic Fields | Electricity & Magnetism - Physics  is perpendicular to Dynamics of Charged Particles in Static and Uniform Electromagnetic Fields | Electricity & Magnetism - Physics 
so,

Dynamics of Charged Particles in Static and Uniform Electromagnetic Fields | Electricity & Magnetism - Physics

Magnetic forces may alter the direction in which a particle moves, but they can not speed up or slow down it. 


Example 1: A neutron, a proton, an electron and an α – particle enter a region of constant magnetic field with equal velocities. The magnetic field is along the inward normal to the plane of paper. Label the tracks of the particles.

Dynamics of Charged Particles in Static and Uniform Electromagnetic Fields | Electricity & Magnetism - Physics

Dynamics of Charged Particles in Static and Uniform Electromagnetic Fields | Electricity & Magnetism - Physics
Dynamics of Charged Particles in Static and Uniform Electromagnetic Fields | Electricity & Magnetism - Physics

A → Proton, B → α−particle, C → neutron (undeflected), D → electron. 


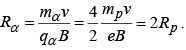
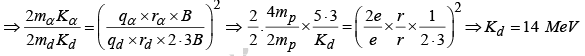
Example 2: A uniform magnetic field with a slit system, as shown in figure, is to be used as a momentum filter for high energy charged particles. With a field B tesla, it is found that the filter transmits α–particles each of energy 5.3 MeV. 
The magnetic field is increased to 2.3 B tesla and deuterons are  passed into the filter. Find the energy of each deuteron  transmitted by the filter.

Dynamics of Charged Particles in Static and Uniform Electromagnetic Fields | Electricity & Magnetism - Physics

Dynamics of Charged Particles in Static and Uniform Electromagnetic Fields | Electricity & Magnetism - Physics
Dynamics of Charged Particles in Static and Uniform Electromagnetic Fields | Electricity & Magnetism - Physics


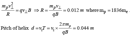
Example 3: A beam of protons with velocity 4 ×105 m / sec enters a uniform magnetic field of 0.3 Tesla at an angle of 600 to the magnetic field. Find the radius of the helical path taken by the proton beam. Also find the pitch of the helix.

 v = 4×105m / sec , v =v sin 60  and v|| =v cos 60

Dynamics of Charged Particles in Static and Uniform Electromagnetic Fields | Electricity & Magnetism - Physics 

The document Dynamics of Charged Particles in Static and Uniform Electromagnetic Fields | Electricity & Magnetism - Physics is a part of the Physics Course Electricity & Magnetism.
All you need of Physics at this link: Physics
82 videos|32 docs|22 tests

FAQs on Dynamics of Charged Particles in Static and Uniform Electromagnetic Fields - Electricity & Magnetism - Physics

1. What is the Lorentz Force Law?
Ans. The Lorentz Force Law describes the dynamics of charged particles in static and uniform electromagnetic fields. It states that a charged particle experiences a force when it moves through a magnetic field or an electric field. This force is given by the equation F = q(E + v x B), where F is the force, q is the charge of the particle, E is the electric field, v is the velocity of the particle, and B is the magnetic field.
2. What are the applications of the Lorentz Force Law?
Ans. The Lorentz Force Law has various applications in physics and engineering. It is used to understand the behavior of charged particles in particle accelerators, magnetic confinement fusion devices, and cyclotrons. It is also essential in the design and operation of electric motors, transformers, and generators. Additionally, the Lorentz Force Law is used in experiments involving charged particle beams, such as electron microscopy and mass spectrometry.
3. How does the Lorentz Force Law explain the motion of charged particles in electric and magnetic fields?
Ans. The Lorentz Force Law explains that when a charged particle moves through an electric field, it experiences a force in the direction of the field if it is positive and in the opposite direction if it is negative. On the other hand, when a charged particle moves through a magnetic field, it experiences a force perpendicular to both its velocity and the magnetic field direction. This force causes the charged particle to move in a curved path.
4. Can the Lorentz Force Law be applied to particles with mass but no charge?
Ans. No, the Lorentz Force Law specifically applies to charged particles. As the equation F = q(E + v x B) suggests, the force experienced by a particle depends on its charge (q). If a particle has no charge, then the Lorentz Force Law does not apply. However, the motion of particles with mass but no charge can still be described using Newton's laws of motion.
5. How does the Lorentz Force Law contribute to our understanding of electromagnetic fields?
Ans. The Lorentz Force Law provides a fundamental relationship between electric and magnetic fields and the forces experienced by charged particles. It helps us understand how electric and magnetic fields interact with charged particles and influence their motion. By studying the effects of these forces on charged particles, scientists and engineers can gain insights into the behavior of electromagnetic fields and develop practical applications in various fields of science and technology.
Related Searches

Sample Paper

,

Dynamics of Charged Particles in Static and Uniform Electromagnetic Fields | Electricity & Magnetism - Physics

,

Extra Questions

,

study material

,

past year papers

,

video lectures

,

practice quizzes

,

Summary

,

Dynamics of Charged Particles in Static and Uniform Electromagnetic Fields | Electricity & Magnetism - Physics

,

Free

,

Viva Questions

,

Dynamics of Charged Particles in Static and Uniform Electromagnetic Fields | Electricity & Magnetism - Physics

,

Semester Notes

,

Important questions

,

pdf

,

Previous Year Questions with Solutions

,

shortcuts and tricks

,

Objective type Questions

,

MCQs

,

ppt

,

Exam

,

mock tests for examination

;