Physics Exam  >  Physics Notes  >  Electricity & Magnetism  >  Electromagnetic Waves

Electromagnetic Waves | Electricity & Magnetism - Physics PDF Download

Poynting Theorem (“Work Energy Theorem of Electrodynamics”)

The work necessary to assemble a static charge distribution is Electromagnetic Waves | Electricity & Magnetism - Physics where E is the resulting electric field.
The work required to get currents going (against the back emf) is Electromagnetic Waves | Electricity & Magnetism - Physics where B is the resulting magnetic field.
This suggests that the total energy in the electromagnetic field is

Electromagnetic Waves | Electricity & Magnetism - Physics

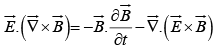
Suppose we have some charge and current configuration which at time t, produces fields 

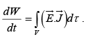
Electromagnetic Waves | Electricity & Magnetism - Physics In next instant dt the charges moves around a bit. The work is done by electromagnetic forces acting on these charges in the interval dt .
According to Lorentz Force Law, the work done on a charge ‘q’ is
Electromagnetic Waves | Electricity & Magnetism - Physics
Now Electromagnetic Waves | Electricity & Magnetism - Physics so the rate at which work is done on all the charges in a 

volume V is Electromagnetic Waves | Electricity & Magnetism - Physics
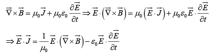
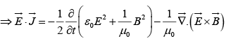
Electromagnetic Waves | Electricity & Magnetism - Physics is the work done per unit time, per unit volume- which is the power delivered per unit volume. Use Ampere’s–Maxwell law to eliminate Electromagnetic Waves | Electricity & Magnetism - Physics 

Electromagnetic Waves | Electricity & Magnetism - Physics

Since

Electromagnetic Waves | Electricity & Magnetism - Physics
It follows that
Electromagnetic Waves | Electricity & Magnetism - Physics
Electromagnetic Waves | Electricity & Magnetism - Physics
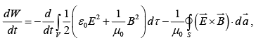
Thus
Electromagnetic Waves | Electricity & Magnetism - Physics
where S is the surface bounding V.
This is Poynting's theorem; it is the “work energy theorem” of electrodynamics.  The first integral on the right is the total energy stored in the fields, Uem .
The second term evidently, represents the rate at which energy is carries out of V, across its boundary surface, by the electromagnetic fields.
Poynting's theorem says, that, “the work done on the charges by the electromagnetic force is equal to the decrease in energy stored in the field, less the energy that flowed out through the surface”.
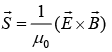
The energy per unit time, per unit area, transported by the fields is called the Poynting vector  

Electromagnetic Waves | Electricity & Magnetism - Physics
Electromagnetic Waves | Electricity & Magnetism - Physics is the energy per unit time crossing the infinitesimal surface Electromagnetic Waves | Electricity & Magnetism - Physics the energy or energy flux density.  

Waves in One Dimension (Sinusoidal waves)

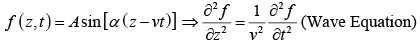
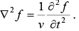
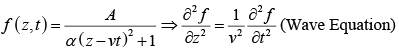
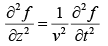
The Wave Equation
A wave propagating with speed v in z-direction can be expressed as: 

Electromagnetic Waves | Electricity & Magnetism - Physics
It admits as solutions all functions of the form

Electromagnetic Waves | Electricity & Magnetism - Physics 
But functions of the form g (z − vt) are not the only solutions. The wave equation involves the square of v, so we can generate another class of solutions by simply changing the sign of the velocity: f(z,t) = h(z+ vt ) .
This, of course, represents a wave propagating in the negative z-direction. The most general solution to the wave equation is the sum of a wave to the right and a wave to the left: f(z,t) = g(z−vt)+ h(z +vt) .

(Notice that the wave equation is linear: the sum of any two solutions is itself a solution.) Every solution to the wave equation can be expressed in this form.


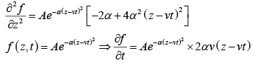
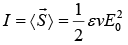
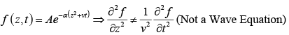
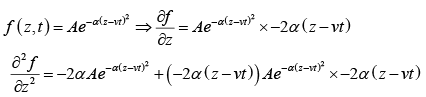
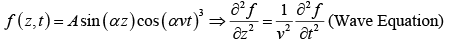
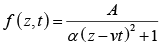
Example 1: Check which of the following functions satisfy the wave equation (where symbols have their usual meaning and A,α are constants of suitable dimensions)  
(a) Electromagnetic Waves | Electricity & Magnetism - Physics
(b) Electromagnetic Waves | Electricity & Magnetism - Physics 
(c) Electromagnetic Waves | Electricity & Magnetism - Physics
(d) Electromagnetic Waves | Electricity & Magnetism - Physics
(e) Electromagnetic Waves | Electricity & Magnetism - Physics 

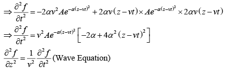
(a) Electromagnetic Waves | Electricity & Magnetism - Physics

Electromagnetic Waves | Electricity & Magnetism - Physics

Electromagnetic Waves | Electricity & Magnetism - Physics

(b) Electromagnetic Waves | Electricity & Magnetism - Physics
(c) Electromagnetic Waves | Electricity & Magnetism - Physics
(d) Electromagnetic Waves | Electricity & Magnetism - Physics
(e) Electromagnetic Waves | Electricity & Magnetism - Physics


Terminology 

Let us consider a functionElectromagnetic Waves | Electricity & Magnetism - Physics where A is the amplitude of the wave (it is positive, and represents the maximum displacement from equilibrium). The argument of the cosine is called the phase, and δ is the phase constant (normally, we use a value in the range 0 ≤ δ<2π ).

Figure given below shows this function at time t = 0 . Notice that at Electromagnetic Waves | Electricity & Magnetism - Physics the phase is zero; let's call this the “central maximum.” If δ = 0 , central maximum passes the origin at time t = 0 ; more generally δ/k is the distance by which the central maximum (and therefore the entire wave) is “delayed.”
Electromagnetic Waves | Electricity & Magnetism - Physics

Finally k is the wave number; it is related to the wavelength λ as λ = 2π/k, 

for when z advances by 2π/k, the cosine executes one complete cycle.

As time passes, the entire wave train proceeds to the right, at speed v . Time period of one complete cycle is T = 2π/kv.
The frequency ν (number of oscillations per unit time) is Electromagnetic Waves | Electricity & Magnetism - Physics

The angular frequency ω = 2πν= kv

In terms of angular frequency ω , the sinusoidal wave can be represented as f(z, t) = A cos ( kz−ω t + δ).
A sinusoidal oscillation of wave number k and angular frequencyω traveling to the left would be written f(z, t) = A cos( kz+ ω t −δ ).

Comparing this with the wave traveling to the right reveals that, in effect, we could simply switch the sign of k to produce a wave with the same amplitude, phase constant, frequency, and wavelength, traveling in the opposite direction. 

Electromagnetic Waves | Electricity & Magnetism - Physics

Complex notation
In view of Euler's formula Electromagnetic Waves | Electricity & Magnetism - Physics
the sinusoidal wave f(z, t) = Acos (kz−ω t + δ) can be written asElectromagnetic Waves | Electricity & Magnetism - Physics
where Re (η) denotes the real part of the complex number η . This invites us to introduce the complex wave function
Electromagnetic Waves | Electricity & Magnetism - Physics
with the complex amplitudeElectromagnetic Waves | Electricity & Magnetism - Physics absorbing the phase constant. The actual wave function is the real part of Electromagnetic Waves | Electricity & Magnetism - Physics 
Electromagnetic Waves | Electricity & Magnetism - Physics
The advantage of the complex notation is that exponentials are much easier to manipulate than sines and cosines. 

Polarization
In longitudinal wave, the displacement from the equilibrium is along the direction of propagation. Sound waves, which are nothing but compression waves in air, are longitudinal.
Electromagnetic waves are transverse in nature. In a transverse wave displacement is perpendicular to the direction of propagation.
There are two dimensions perpendicular to any given line of propagation. Accordingly, transverse waves occur in two independent state of polarization:
“Vertical” polarization Electromagnetic Waves | Electricity & Magnetism - Physics
“Horizontal” polarization Electromagnetic Waves | Electricity & Magnetism - Physics 
or along any other direction in the xy plane
Electromagnetic Waves | Electricity & Magnetism - Physics
The polarization vector Electromagnetic Waves | Electricity & Magnetism - Physics defines the plane of vibration. Because the waves are transverse, Electromagnetic Waves | Electricity & Magnetism - Physics is perpendicular to the direction of propagation:Electromagnetic Waves | Electricity & Magnetism - Physics
In terms of polarization angleθ ,
Electromagnetic Waves | Electricity & Magnetism - Physics 
Thus wave in figure(c) can be considered a superposition of two waves-one horizontally polarized, the other vertically:
Electromagnetic Waves | Electricity & Magnetism - Physics
Electromagnetic Waves | Electricity & Magnetism - Physics

Electromagnetic Waves | Electricity & Magnetism - Physics
Electromagnetic Waves | Electricity & Magnetism - Physics

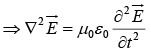
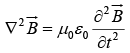
Electromagnetic Waves in Vacuum

The Wave Equation for Electromagnetic Waves | Electricity & Magnetism - Physics
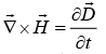
Maxwell’s equations in free space Electromagnetic Waves | Electricity & Magnetism - Physics can be written as,
Electromagnetic Waves | Electricity & Magnetism - Physics
Electromagnetic Waves | Electricity & Magnetism - Physics
Electromagnetic Waves | Electricity & Magnetism - Physics
Electromagnetic Waves | Electricity & Magnetism - Physics
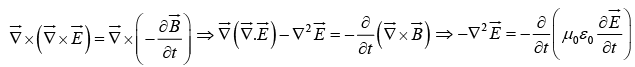
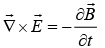
Taking curl of equation (iii) and using equation (i) & (ii) we get,
Electromagnetic Waves | Electricity & Magnetism - Physics
Electromagnetic Waves | Electricity & Magnetism - Physics
Similarly,
Electromagnetic Waves | Electricity & Magnetism - Physics
Thus Electromagnetic Waves | Electricity & Magnetism - Physics satisfy the wave equationElectromagnetic Waves | Electricity & Magnetism - Physics
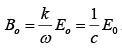
So, EM waves travels with a speed
Electromagnetic Waves | Electricity & Magnetism - Physics
where
Electromagnetic Waves | Electricity & Magnetism - Physics

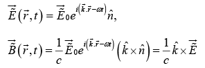
Monochromatic Plane Waves

Suppose waves are traveling in the z-direction and have no x or y dependence; these are called plane waves because the fields are uniform over every plane perpendicular to the direction of propagation.
Electromagnetic Waves | Electricity & Magnetism - Physics
The plane waves can be represented as:  

Electromagnetic Waves | Electricity & Magnetism - Physics
where Electromagnetic Waves | Electricity & Magnetism - Physics are the (complex) amplitudes (the physical fields, of course are the real part of Electromagnetic Waves | Electricity & Magnetism - Physics 
Since Electromagnetic Waves | Electricity & Magnetism - Physics it follows that
Electromagnetic Waves | Electricity & Magnetism - Physics
That is, electromagnetic waves are transverse: the electric and magnetic fields are perpendicular to the direction of propagation.

Also,
Electromagnetic Waves | Electricity & Magnetism - Physics
Electromagnetic Waves | Electricity & Magnetism - Physics
In compact form
Electromagnetic Waves | Electricity & Magnetism - Physics
Evidently Electromagnetic Waves | Electricity & Magnetism - Physics are in phase and mutually perpendicular; their (real) amplitudes are 

related by,
Electromagnetic Waves | Electricity & Magnetism - Physics

There is nothing special about the z direction; we can generalize the monochromatic plane waves traveling in an arbitrary direction. The propagation vector or wave vector Electromagnetic Waves | Electricity & Magnetism - Physics points in the direction of propagation, whose magnitude is the wave number k. The scalar product Electromagnetic Waves | Electricity & Magnetism - Physics  is the appropriate generalization of kz, so
Electromagnetic Waves | Electricity & Magnetism - Physics
Electromagnetic Waves | Electricity & Magnetism - Physics

 where Electromagnetic Waves | Electricity & Magnetism - Physics is polarization vector.
Also,
Electromagnetic Waves | Electricity & Magnetism - Physics
Because Electromagnetic Waves | Electricity & Magnetism - Physics is transverse, (Electromagnetic Waves | Electricity & Magnetism - Physics  is also transverse):  
Electromagnetic Waves | Electricity & Magnetism - Physics

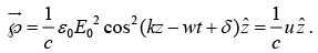
The actual (real) electric and magnetic fields in a monochromatic plane wave with propagation vector Electromagnetic Waves | Electricity & Magnetism - Physics  and polarization Electromagnetic Waves | Electricity & Magnetism - Physics are
Electromagnetic Waves | Electricity & Magnetism - Physics
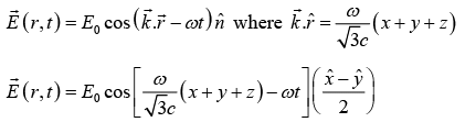
Example 2: Write down the electric and magnetic fields for a plane monochromatic wave of amplitude E0 , frequency ω and phase angle zero that is
(a)  Traveling in the y-direction and polarized in the x-direction.
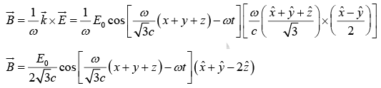
(b)  Traveling in the direction from the origin to the point (1,1,1) with polarization  parallel to xy plane.

(a) Electromagnetic Waves | Electricity & Magnetism - Physics 
(b) Electromagnetic Waves | Electricity & Magnetism - Physics
Electromagnetic Waves | Electricity & Magnetism - Physics
Electromagnetic Waves | Electricity & Magnetism - Physics


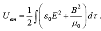
Energy and Momentum in Electromagnetic Wave
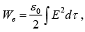
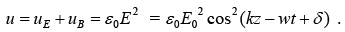
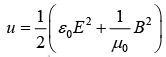
The energy per unit volume stored in electromagnetic field is
Electromagnetic Waves | Electricity & Magnetism - Physics 
In case of monochromatic plane wave
Electromagnetic Waves | Electricity & Magnetism - Physics
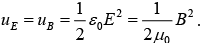
So the electric and magnetic contributions are equal i.e.
Electromagnetic Waves | Electricity & Magnetism - Physics
Electromagnetic Waves | Electricity & Magnetism - Physics
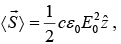
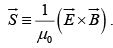
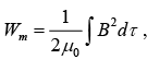
As the wave travels, it carries this energy along with it. The energy flux density (energy per unit area, per unit time) transported by the fields is given by the Pointing vector
Electromagnetic Waves | Electricity & Magnetism - Physics
For monochromatic plane wave propagating in the z-direction,
Electromagnetic Waves | Electricity & Magnetism - Physics
The energy per unit time, per unit area, transported by the wave is therefore uc . Electromagnetic fields not only carry energy, they also carry momentum. The momentum density stored in the field is  
Electromagnetic Waves | Electricity & Magnetism - Physics
For monochromatic plane wave,
Electromagnetic Waves | Electricity & Magnetism - Physics
Average energy density
Electromagnetic Waves | Electricity & Magnetism - Physics
Average of Poynting vector
Electromagnetic Waves | Electricity & Magnetism - Physics
Average momentum density
Electromagnetic Waves | Electricity & Magnetism - Physics

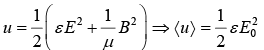
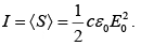
The average power per unit area transported by an electromagnetic wave is called the intensity 
Electromagnetic Waves | Electricity & Magnetism - Physics
Note:
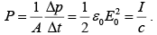
(a) When light falls on perfect absorber it delivers its momentum to the surface. In a time Δt the momentum transfer is Electromagnetic Waves | Electricity & Magnetism - Physics
Electromagnetic Waves | Electricity & Magnetism - Physicsso the radiation pressure (average force per unit area) is  
Electromagnetic Waves | Electricity & Magnetism - Physics
(b) When light falls on perfect reflector, the radiation pressure P = 2I/c because the momentum changes direction, instead of being absorbed.


Example 3: The electric and magnetic fields of an electromagnetic waves in the free space are Electromagnetic Waves | Electricity & Magnetism - Physics being unit vectors in x and y directions respectively. Then find the intensity of electromagnetic wave.

Electromagnetic Waves | Electricity & Magnetism - Physics


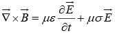
Electromagnetic Waves in Matter 

Inside matter, but in regions where there is no free charge or free current Electromagnetic Waves | Electricity & Magnetism - Physics Maxwell’s Equation becomes,
(i)Electromagnetic Waves | Electricity & Magnetism - Physics
(ii)Electromagnetic Waves | Electricity & Magnetism - Physics
(iii)Electromagnetic Waves | Electricity & Magnetism - Physics
(iv)Electromagnetic Waves | Electricity & Magnetism - Physics
If the medium is linear and homogeneous,
Electromagnetic Waves | Electricity & Magnetism - Physics
Now the wave equation inside matter is
Electromagnetic Waves | Electricity & Magnetism - Physics
Thus EM waves propagate through a linear homogenous medium at a speed
Electromagnetic Waves | Electricity & Magnetism - Physics
Thus Electromagnetic Waves | Electricity & Magnetism - Physics is the index of refraction (since μr = 1 for non-magnetic material).
The energy density
Electromagnetic Waves | Electricity & Magnetism - Physics
The Poynting vector
Electromagnetic Waves | Electricity & Magnetism - Physics
Intensity
Electromagnetic Waves | Electricity & Magnetism - Physics
Thus in a medium c →v , ε → ε0 and μ→ μ

Electromagnetic Waves in Conductors 

Any initial free charge density ρf(0) given to conductor dissipate in a characteristic time τ ≡ ε /σ where σ is conductivity and
Electromagnetic Waves | Electricity & Magnetism - Physics
This reflects the familiar fact that if we put some free charge on conductor, it will flow out to the edges.
Free current density in a conductor is Electromagnetic Waves | Electricity & Magnetism - Physics
Thus Maxwell’s equations inside conductor are
(i)Electromagnetic Waves | Electricity & Magnetism - Physics
(ii)Electromagnetic Waves | Electricity & Magnetism - Physics
(iii)Electromagnetic Waves | Electricity & Magnetism - Physics
(iv)Electromagnetic Waves | Electricity & Magnetism - Physics
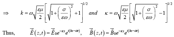
We get modified wave equation for Electromagnetic Waves | Electricity & Magnetism - Physics
Electromagnetic Waves | Electricity & Magnetism - Physics
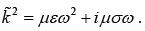
The admissible plane wave solution is
Electromagnetic Waves | Electricity & Magnetism - Physics where “wave number” Electromagnetic Waves | Electricity & Magnetism - Physics is complex If we put the solution in wave equation, we get Electromagnetic Waves | Electricity & Magnetism - Physics
Electromagnetic Waves | Electricity & Magnetism - Physics

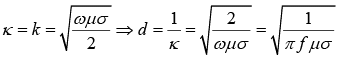
The distance it takes to reduce the amplitude by a factor of 1/e is called the skin depth (d)
d = 1/k;
it is a measure of how far the wave penetrates into the conductor.
The real part of Electromagnetic Waves | Electricity & Magnetism - Physics determines the wavelength, the propagation speed, and the index of refraction:
Electromagnetic Waves | Electricity & Magnetism - Physics
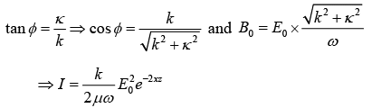
Like any complex number, Electromagnetic Waves | Electricity & Magnetism - Physics can be expressed in terms of its modulus and phase:
Electromagnetic Waves | Electricity & Magnetism - Physics
where
Electromagnetic Waves | Electricity & Magnetism - Physics
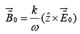
The complex amplitudes Electromagnetic Waves | Electricity & Magnetism - Physics are related by
Electromagnetic Waves | Electricity & Magnetism - Physics
Evidently the electric and magnetic fields are no longer in phase; in fact δB −δE=φ , the magnetic field lags behind the electric fields.
Electromagnetic Waves | Electricity & Magnetism - Physics 
Thus,
Electromagnetic Waves | Electricity & Magnetism - Physics
Note:
(a) In a poor conductor (σ << ωε)
Electromagnetic Waves | Electricity & Magnetism - Physics
(b) In a very good conductor (σ >> ωε)
Electromagnetic Waves | Electricity & Magnetism - Physics
(c) When an electromagnetic wave strikes a perfect conductor (σ →∞ ) then all waves are reflected back i.e. Electromagnetic Waves | Electricity & Magnetism - Physics


Example 4: An electromagnetic wave of frequency 10 GHz is propagating through a conductor having conductivity 6 ×107 (Ωm)−1 and σ >> ωε . Then find the skin depth of the conductor.

Electromagnetic Waves | Electricity & Magnetism - Physics


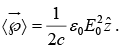
Example 5: An electromagnetic plane wave is propagating inside a conductor with electric field Electromagnetic Waves | Electricity & Magnetism - Physics Then calculate the intensity of the wave inside the conductor.

Electromagnetic Waves | Electricity & Magnetism - Physics 
Electromagnetic Waves | Electricity & Magnetism - Physics
Electromagnetic Waves | Electricity & Magnetism - Physics

The document Electromagnetic Waves | Electricity & Magnetism - Physics is a part of the Physics Course Electricity & Magnetism.
All you need of Physics at this link: Physics
82 videos|32 docs|22 tests

FAQs on Electromagnetic Waves - Electricity & Magnetism - Physics

1. What are electromagnetic waves?
Electromagnetic waves are a form of energy that is transmitted through space in the form of oscillating electric and magnetic fields. They can travel through a vacuum or a medium and include various types such as radio waves, microwaves, infrared, visible light, ultraviolet, X-rays, and gamma rays.
2. How are electromagnetic waves produced?
Electromagnetic waves are produced by the acceleration of charged particles. This can occur when an electric current flows through a conductor or when an electron jumps from a higher energy level to a lower energy level within an atom. These actions generate changing electric and magnetic fields, leading to the emission of electromagnetic waves.
3. What is the speed of electromagnetic waves?
The speed of electromagnetic waves in a vacuum is constant and is approximately 299,792,458 meters per second, often rounded to 3 x 10^8 m/s. This speed is commonly referred to as the speed of light and serves as a fundamental constant in physics.
4. How do electromagnetic waves interact with matter?
Electromagnetic waves can interact with matter in various ways depending on their frequency and the properties of the material. When electromagnetic waves encounter matter, they can be reflected, transmitted, or absorbed. The behavior of waves at the interface between two different media follows the laws of reflection and refraction.
5. What are some practical applications of electromagnetic waves?
Electromagnetic waves have numerous practical applications in our daily lives. Some examples include: - Radio waves are used for broadcasting and communication. - Microwaves are utilized in cooking and wireless communication technologies. - Infrared waves are employed in remote controls, night vision technology, and heat sensing. - Visible light allows us to see and is used in photography, displays, and fiber optics. - X-rays are used in medical imaging and airport security. - Gamma rays have applications in cancer treatment and sterilization processes.
Related Searches

Semester Notes

,

ppt

,

Viva Questions

,

video lectures

,

MCQs

,

Summary

,

Electromagnetic Waves | Electricity & Magnetism - Physics

,

shortcuts and tricks

,

Exam

,

practice quizzes

,

Free

,

Electromagnetic Waves | Electricity & Magnetism - Physics

,

pdf

,

study material

,

mock tests for examination

,

Objective type Questions

,

past year papers

,

Previous Year Questions with Solutions

,

Electromagnetic Waves | Electricity & Magnetism - Physics

,

Extra Questions

,

Important questions

,

Sample Paper

;