Chemistry Exam  >  Chemistry Notes  >  Organic Chemistry  >  Elimination Reactions and Molecular Rearrangement -Reaction Mechanism Chemistry

Elimination Reactions and Molecular Rearrangement -Reaction Mechanism Chemistry | Organic Chemistry PDF Download

Elimination Reactions

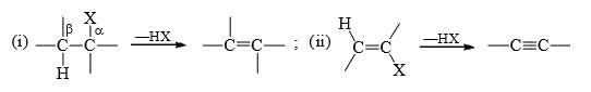
When two groups or atoms from adjacent carbons are eliminated with the formation of unsaturated compounds (alkene or alkyne), the reaction is called elimination reaction. Most commonly a nucleophile (from the α-carbon)  and a proton from the β-carbon are eliminated. Hence, the reaction is known as 1, 2- or -elimination αβ or simply -elimination.

Elimination Reactions and Molecular Rearrangement -Reaction Mechanism Chemistry | Organic Chemistry

Some familiar elimination reactions are:

(i) Dehydrohalogenation of alkyl halides by base.
Elimination Reactions and Molecular Rearrangement -Reaction Mechanism Chemistry | Organic Chemistry

(ii) Dehydration of alcohols by acids.

Elimination Reactions and Molecular Rearrangement -Reaction Mechanism Chemistry | Organic Chemistry

(iii) Hofmann’s degradation of quarterney bases by heat.

Elimination Reactions and Molecular Rearrangement -Reaction Mechanism Chemistry | Organic Chemistry


The presence of at least one hydrogen on the β-carbon is necessary for elimination. 
The driving forces for elimination are :
(a) stability of the olefin formed 
(b) the relief from steric strain due to crowding in the substrate.

Branching at the β-carbon  (as also at the α-carbon ) of the substrate produces substituted olefins stabilized by hypyper conjugation and hence favours elimination. Thus, Me3CCl gives only 16% olefin while Me2CH—CMe2Cl gives 62% olefin.

Strain in the substrate due to crowding the substituents can be relieved on the formation of olefin since the bond angles increase from 109.5° in the substrate (sp3-hydridized) to 120° in the product (sp2-hybridized). Hence 3° halides favour elimination most and 1° halides the least, i.e., the order of elimination in halides is 3° > 2° > 1°.

The elimination reactions like SN reactions may proceed by either unimolecular. These elimination reactions have been designated E1 and E2 on their resemblance to SN1 mechanism and SN2 mechanism respectively.

E1 Mechanism

The elimination reaction in which the rate of reaction is dependent on the concentration of the substrate only, i.e., kinetically of the first order, is designated E1. Since the rate of reaction is independent of the concentration of the reagent, it is interpreted, as in SN1, that the first step of the reaction is the slowest step involving ionization of the substrate. This is followed by the rapid removal of a proton from the β-carbon  by the reagent in the second step. Elimination Reactions and Molecular Rearrangement -Reaction Mechanism Chemistry | Organic Chemistry

This is illustrated below. 
(i) Dehydrahalogenation of alkyl halides: The rate of elimination of a halacid from t-butyl bromide in basic medium is found to be proportional to [Me3CBr]. Therefore, the halide undergoes slow ionization in the first step. This is followed by a rapid extraction of a proton from the carbocation by the base or solvent in the second step.

Elimination Reactions and Molecular Rearrangement -Reaction Mechanism Chemistry | Organic Chemistry

it is seen that a carbocation is formed in the first step in both E1 and SN1 reactions. Hence, the reagent can attack the carbon to given substitution product and also can accept a proton to give elimination product. In practice both alcohol (substitution product) and alkene (elimination product) are obtained on hydrolysis of Me3CBr.

Elimination Reactions and Molecular Rearrangement -Reaction Mechanism Chemistry | Organic Chemistry

When more than one alkene can be formed, that alkene will predominate which has larger number of alkyl groups on the double-bonded carbons-this is Saytzev’s rule. This is understandable since the substituted alkyl group will stabilize the alkene by hyperconjugation.

Elimination Reactions and Molecular Rearrangement -Reaction Mechanism Chemistry | Organic Chemistry

(ii) Dehydration of alcohols—Acid-catalysed dehydration of alcohols follows E1 mechanism. The dehydration is carried out at elevated temperature with sulphuric acid.              Alcohol  is first protonated which weakens the C—O bond. Hence, water is eliminated from the protonated alcohol with generation of a carbocation. The latter then expels a proton to form a stable alkene.

Elimination Reactions and Molecular Rearrangement -Reaction Mechanism Chemistry | Organic Chemistry

The concentration of acid depends upon how fast the carbocation is formed, i.e., on the stability of the carbocation. primary alcohols generate unstable carbocations and hence require high temperature and high concentration of acid while 3° alcohols require lower temperature and lower concentration of acid for dehydration. Thus,

Elimination Reactions and Molecular Rearrangement -Reaction Mechanism Chemistry | Organic Chemistry

E1 reaction is facilitated by 
(i) Branching at the α and β -carbons of the substate-for stability of the olefin. 
(ii) Strong polar solvent-to aid ionisationi,
 (iii) Low concentration of base-the greater stability of the alkene over the carbocation makes the extraction of proton easy.

Question for Elimination Reactions and Molecular Rearrangement -Reaction Mechanism Chemistry
Try yourself:
Which factor favors elimination reactions in organic chemistry?
View Solution

E2 Mechanism 

When the rate of elimination reaction is dependent on both the substrate and the reagent, i.e., rate ∝ [Substrate][reagent], the reaction is kinetically of the second order or bimolecular. Such bimolecular elimination reaction is designated E2 on its similarity with SN2. 

Since the reaction involves both the reactants in the rate-determining step, it is interpreted as in SN2, that the reaction occurs in one step in which both the groups (proton and the leaving group) depart simultaneously through the intermediate transition state. It is visualized that as the base abstracts a proton from the β-carbon, simultaneous departure of the nucleophile takes place from the α-carbon.  In the transition state the βC — H and αC — X  bonds are stretched on the attack of the reagent with the incipient π-bond formation.

Elimination Reactions and Molecular Rearrangement -Reaction Mechanism Chemistry | Organic Chemistry

The energy of the transition state will be least when the two leaving groups, the α-and  β-carbons  and the attacking base are coplanar in the transition state. Also, the two leaving groups (H and X) should be trans to each other to effect π bond.

The two leaving groups orient themselves in the trans position when a σ bond exists between the α-and β-carbons . When, however, free rotation is not allowed as in the case of double bond, elimination is difficult when the leaving groups are cis to each other. Thus, acetylene dicarboxylic acid is more easily formed from chlorofumaric acid (25) than from chloromaleic acid (26).

Elimination Reactions and Molecular Rearrangement -Reaction Mechanism Chemistry | Organic Chemistry

E2 reaction is facilitated by

(i) Branching at α-and β-carbons —since more stable olefin is formed.

(ii) Strong base of high concentration—since a strong C—H bond has to break,

(iii) Solvant of low polarity—polar solvents form a strong solvent wall around the base restricting the attack. Hence DMF or DMSO are usually used as solvents.

E1 cB Mechanism 

It may be argued that a second-order elimination reaction may as well proceed in two steps as in E1 reaction. The first step involves a fast and reversible removal of a proton from the β-carbon with the formation of a carbanion which then loses the leaving group in the second slow rate-determinig step.

Elimination Reactions and Molecular Rearrangement -Reaction Mechanism Chemistry | Organic Chemistry

The overall rate of this reaction is thus dependent on the concentration of the conjugate base of the substrate (carbanion). Hence, this mechanism has been designated as E1 cB (Elilmination, Unimolecular from conjugate base).

To distinguish between E2 and E1cB mechanisms, deuterium exchange experiment was perfomed. for this 2-phenylethyl bromide was treated with sodium ethoxide in EtOD. This substrate was selected because the Ph group is expected to increase the acidity of the β-hydrogen and also to stabilize the carbanion to exist long enough for incorporation of deuterium in the starting material from the solvent EtOD.

Elimination Reactions and Molecular Rearrangement -Reaction Mechanism Chemistry | Organic Chemistry

The reaction was interrupted before completion and analysed for deuterium content. No deuterium incorporation was found either in the substrate or in the styrene. Hence, no reversible carbanion was formed. The reaction followed E2 path. However, the E1cD mechanism does operate in substrates having strong electron-withdrawing groups, e.g., chlorine on β-carbon, and poor leaving groups, e.g., fluorine as in Cl2CH—CF3.

Orientation in elimination reactions: Substrates having alternative β-hydrogen give a mixture of olefins on elimination.

Elimination Reactions and Molecular Rearrangement -Reaction Mechanism Chemistry | Organic Chemistry

To help in forecasting the major product of elimination (alkene), there are two empirical rules:

(i) Saytzev Rule: The rule states that neutral substrates (alkyl halides, alkyl toluenesulphonates) lead predominantly depends wholly on the relative stabilities of the olefins. Therefore, Saytzev rule governs the orientation of E1 reaction.

Elimination Reactions and Molecular Rearrangement -Reaction Mechanism Chemistry | Organic Chemistry

In suitable substrates the rearrangement of the carbocation before elimination may give different alkenes. For steric reasons the non-Saytzev product may be the major product in suitable substrates.


Elimination Reactions and Molecular Rearrangement -Reaction Mechanism Chemistry | Organic Chemistry

The olefin obtained through path (b) is minor due to steric hindrance. In E2, it is suggested that the incipient olefinic bond formation in the transition state is being stabilized by the inductive effect of the alkyl groups, thereby lowering the energy of the transition state. Therefore, with the increasing number of alkyl groups there will be increasing stability of the transition state with progressive lowering of energy of the transition state.


Elimination Reactions and Molecular Rearrangement -Reaction Mechanism Chemistry | Organic Chemistry

(ii) Hofmann Rule: When a quanternary ammonium hydroxide is strongly heated (<125°C) it decomposes to yield a tertiary amine, water and alkene.

Elimination Reactions and Molecular Rearrangement -Reaction Mechanism Chemistry | Organic Chemistry

This is known as Hofmann elimination or β-elimination. The reaction involves abstraction of a proton from β-carbon with the simultaneous expulsion of the leaving group.

Elimination Reactions and Molecular Rearrangement -Reaction Mechanism Chemistry | Organic Chemistry

When there are alternative β-hydrogens  inthe quaternary ammonium salts, a mixture of alkenes is formed. Hofmann rule states that in case of alternative β-hydrogens  in the charged substrates (quaternary ammonium and sulphonium salts), the least substituted alkene is predominantly formed.

Thus, 2-butylquaternary ammonium hydroxide undergoes Hofmann elimination to give 1-butene as the major product.

Elimination Reactions and Molecular Rearrangement -Reaction Mechanism Chemistry | Organic Chemistry

To explain, it has been suggested that the strong electron-withdrawing effect of Me3N+  group makes the hydrogens of the β-carbons  more acidic for facile abstraction by the base and stabilizes the incipient carbanion formation in the transition state on gradual stretching of the βC — H  bond. In this particular compound with alternative β-hydrogens,and "β-hydrogens are less acidic due to +1 effect of the adjacent methyl group. 

Hence, 'β-hydrogen which is relatively more acidic is removed to give predominantly I-butene.

Hofmann product increases on increasing in the base. The steric effect due to crowding in the leaving group or in the substrate promotes Hofmann elimination.

In general the proton acidity and for that matter the inductive effect is the more important factor for Hofmann elimination. Whatever be the conditions, that alkine is formed in which its double bond is conjugated with Ph or C=C groups, e.g.,


Elimination Reactions and Molecular Rearrangement -Reaction Mechanism Chemistry | Organic Chemistry

Question for Elimination Reactions and Molecular Rearrangement -Reaction Mechanism Chemistry
Try yourself:
Which empirical rule governs the orientation of E1 reactions?
View Solution

Molecular Rearrangements

In most organic reactions the functional group of the substrate undergoes structural change without affecting the carbon skeleton of the molecule. There are however many other organic reactions in which atoms, groups (alkyl or aryl), double bonds or dunctional groups migrate within the molecule. The latter types of reactions are known as rearrangement reactions or molecular rearrangement. 

Thus, molecular rearrangement involves modification in the sequence of atoms or groups in a molecule resulting in a new structure. Migration of atoms or groups occurs from one atom to another (usually adjacent) within the same molecule by Whitmore, 1, 2-shift.


Elimination Reactions and Molecular Rearrangement -Reaction Mechanism Chemistry | Organic Chemistry

The atom A is called the migration origin and the atom B is called the migration terminus. The shift of M from A to B is called 1, 2-shift. When M is hydrogen, alkyl or aryl group, it is called 1, 2-hydride shift, 1, 2-hydride shift, 1, 2 alkyl shift or 1, 2-aryl shift respectively. The migration group may move with its bonding pair of electrons (anionotropic), without the bonding pair (cationotropic) or with a single electron (free radical). This means that rearrangement may take place through intermediates that are cations, anions or free radicals. A large number of molecular rearrangements involve anionotropic migration of a group to an adjacent atom with incomplete octet (i.e., electron-deficient). The rearrangement involving electron-deficient species are more common.

Rearrangement due to migration to electron-deficient atom (C, N, O)

During a reaction an electronegative group may depart with its bonding pair of electrons leaving behind an electrondeficient atom with six electrons. This results in the migration (1, 2-shift) of a group with its bonding pair from the adjacent atom tot he electron-deficient atom. The migrating group may be hydrogen, carbon, nitrogen, oxygen, sulphur or halogens.

The migrating group may either 
(i) detach from the migration origin and then form bond with the migration terminus (electron-deficient atom) 
(ii) may remain partly bonded to both migration origin and terminus to form a bridged ion intermediate or transition state. The general mechanistic possibilities by 1, 2-shift are given below.

Elimination Reactions and Molecular Rearrangement -Reaction Mechanism Chemistry | Organic Chemistry

When M is a hetero atom, besides crossover experiments there is stereochemical evidence that (29) is formed. The nonbonding electrons of the hetero atom are said to be involved in the neighbouring group participation in forming (29) since that of reaction is increased by anchimeric* assistance. 

Alkyl group or hydrogen has no non-bonding electrons. It is quite possible that those first leave the migration origin to form open ion and then form the bridged ion becuase the rearrangemennt do not show the increased rate expected from anchimeric assistance.

The corresponding rearrangements with radical and anion intermediates are seldom encountered because of unfavourable distribution of electrons in the molceular orbital encompassing the three atoms in the bridged ion. Rearrangements to electron-deficient carbon, nitrogen and oxygen will be separately studies.

Question for Elimination Reactions and Molecular Rearrangement -Reaction Mechanism Chemistry
Try yourself:
Which type of molecular rearrangement involves the migration of a group to an adjacent atom with an incomplete octet?
View Solution

The document Elimination Reactions and Molecular Rearrangement -Reaction Mechanism Chemistry | Organic Chemistry is a part of the Chemistry Course Organic Chemistry.
All you need of Chemistry at this link: Chemistry
44 videos|102 docs|52 tests

FAQs on Elimination Reactions and Molecular Rearrangement -Reaction Mechanism Chemistry - Organic Chemistry

1. What is the E2 mechanism in elimination reactions?
Ans. The E2 mechanism is a bimolecular elimination reaction where a substrate undergoes deprotonation by a base while simultaneously losing a leaving group. This concerted process results in the formation of a double bond. It typically requires a strong base and occurs in a single step, making it a fast reaction. The E2 mechanism is characterized by the anti-periplanar arrangement of the leaving group and the hydrogen being eliminated.
2. How does the E1cb mechanism differ from the E2 mechanism?
Ans. The E1cb (unimolecular elimination conjugate base) mechanism involves two distinct steps. First, a base abstracts a proton to form a carbanion intermediate, followed by the elimination of the leaving group to form a double bond. This mechanism typically occurs with substrates that can stabilize the carbanion, such as those with electron-withdrawing groups. In contrast, the E2 mechanism is a concerted process occurring in a single step.
3. What factors influence the rate of elimination reactions?
Ans. The rate of elimination reactions is influenced by several factors, including the strength of the base, the structure of the substrate (primary, secondary, tertiary), the leaving group ability, and the solvent used. Strong bases favor E2 mechanisms, while weak bases and polar protic solvents can favor E1 mechanisms. The steric hindrance around the substrate also plays a crucial role, with less hindered substrates favoring E2 reactions.
4. What are molecular rearrangements in the context of elimination reactions?
Ans. Molecular rearrangements are processes where a molecule undergoes a structural change, often resulting in the migration of atoms or groups within the molecule. In elimination reactions, rearrangements can occur when a carbocation intermediate is formed, allowing for shifts in hydrogen or alkyl groups to achieve a more stable configuration before elimination occurs. These rearrangements can lead to different products than initially expected.
5. How do stereochemistry and regioselectivity play a role in elimination reactions?
Ans. Stereochemistry and regioselectivity are crucial in elimination reactions, as the formation of double bonds can lead to different isomers. In E2 reactions, the stereochemistry of the substrate influences which hydrogen is eliminated, leading to specific stereoisomers (cis or trans) of the product. Regioselectivity refers to the preference for the formation of one alkene product over another, often dictated by the stability of the resulting double bond (more substituted alkenes are generally favored).
Related Searches

ppt

,

Semester Notes

,

Extra Questions

,

Elimination Reactions and Molecular Rearrangement -Reaction Mechanism Chemistry | Organic Chemistry

,

practice quizzes

,

Viva Questions

,

Summary

,

Elimination Reactions and Molecular Rearrangement -Reaction Mechanism Chemistry | Organic Chemistry

,

Sample Paper

,

Previous Year Questions with Solutions

,

shortcuts and tricks

,

past year papers

,

MCQs

,

Free

,

Important questions

,

video lectures

,

study material

,

Elimination Reactions and Molecular Rearrangement -Reaction Mechanism Chemistry | Organic Chemistry

,

mock tests for examination

,

Exam

,

pdf

,

Objective type Questions

;